衰老过程中的血清磷脂:横断面和病例对照研究的全面系统回顾。

IF 2.8 Q2 PUBLIC, ENVIRONMENTAL & OCCUPATIONAL HEALTH
Health Promotion Perspectives Pub Date : 2025-05-06 eCollection Date: 2025-05-01 DOI:10.34172/hpp.025.42914
Meysam Zarezadeh, Mahsa Mahmoudinezhad, Amir Hossein Faghfouri, Nima Radkhah, Mehrdad Jamali, Parsa Jamilian, Zohreh Ghoreyshi, Alireza Ostadrahimi
{"title":"衰老过程中的血清磷脂:横断面和病例对照研究的全面系统回顾。","authors":"Meysam Zarezadeh, Mahsa Mahmoudinezhad, Amir Hossein Faghfouri, Nima Radkhah, Mehrdad Jamali, Parsa Jamilian, Zohreh Ghoreyshi, Alireza Ostadrahimi","doi":"10.34172/hpp.025.42914","DOIUrl":null,"url":null,"abstract":"<p><strong>Background: </strong>The lipidome, as a subset of metabolomics, can undergo significant variations due to several factors, including the aging process. Therefore, this study aims to summarize the relationship between aging and alterations in plasma phospholipids.</p><p><strong>Methods: </strong>A comprehensive search was conducted in MEDLINE (PubMed), Scopus, Embase, Web of Science, and Google Scholar databases up to September 2023. The PRISMA guidelines were adhered to throughout all stages of the review process. Cross-sectional and case-control studies that investigated the relationship between aging and phosphatidylcholine (PC), lysophosphatidylcholine (LPC), sphingomyelins (SM), ceramides, phosphatidylethanolamines (PE), and phosphatidylinositol (PI) were included.</p><p><strong>Results: </strong>A total of 8486 studies were identified, of which 32 met the predefined inclusion criteria. The systematic review included data from 70,499 participants. The findings revealed that four studies reported a positive association between PCs and aging in both sexes, while one study reported an inverse relationship. Additionally, two studies found that PCs were positively associated with aging in men and negatively associated in women. Furthermore, four studies indicated a negative association between PC metabolites and the aging process. With regard to LPCs, two studies demonstrated a positive correlation, and two studies showed an inverse correlation with aging in both sexes. For SMs, five studies reported a positive association, whereas two studies identified an inverse association with aging trends. Similarly, five studies reported a positive correlation between PE levels and aging, while two studies showed a negative correlation.</p><p><strong>Conclusion: </strong>Phospholipids play a critical role in the aging process, aging-related diseases, and the regulation of lifespan. A reduction in the levels of PCs and LPCs has been identified as a characteristic feature of aging.</p>","PeriodicalId":46588,"journal":{"name":"Health Promotion Perspectives","volume":"15 1","pages":"23-36"},"PeriodicalIF":2.8000,"publicationDate":"2025-05-06","publicationTypes":"Journal Article","fieldsOfStudy":null,"isOpenAccess":false,"openAccessPdf":"https://www.ncbi.nlm.nih.gov/pmc/articles/PMC12125509/pdf/","citationCount":"0","resultStr":"{\"title\":\"Serum phospholipids during aging: A comprehensive systematic review of cross-sectional and case-control studies.\",\"authors\":\"Meysam Zarezadeh, Mahsa Mahmoudinezhad, Amir Hossein Faghfouri, Nima Radkhah, Mehrdad Jamali, Parsa Jamilian, Zohreh Ghoreyshi, Alireza Ostadrahimi\",\"doi\":\"10.34172/hpp.025.42914\",\"DOIUrl\":null,\"url\":null,\"abstract\":\"<p><strong>Background: </strong>The lipidome, as a subset of metabolomics, can undergo significant variations due to several factors, including the aging process. Therefore, this study aims to summarize the relationship between aging and alterations in plasma phospholipids.</p><p><strong>Methods: </strong>A comprehensive search was conducted in MEDLINE (PubMed), Scopus, Embase, Web of Science, and Google Scholar databases up to September 2023. The PRISMA guidelines were adhered to throughout all stages of the review process. Cross-sectional and case-control studies that investigated the relationship between aging and phosphatidylcholine (PC), lysophosphatidylcholine (LPC), sphingomyelins (SM), ceramides, phosphatidylethanolamines (PE), and phosphatidylinositol (PI) were included.</p><p><strong>Results: </strong>A total of 8486 studies were identified, of which 32 met the predefined inclusion criteria. The systematic review included data from 70,499 participants. The findings revealed that four studies reported a positive association between PCs and aging in both sexes, while one study reported an inverse relationship. Additionally, two studies found that PCs were positively associated with aging in men and negatively associated in women. Furthermore, four studies indicated a negative association between PC metabolites and the aging process. With regard to LPCs, two studies demonstrated a positive correlation, and two studies showed an inverse correlation with aging in both sexes. For SMs, five studies reported a positive association, whereas two studies identified an inverse association with aging trends. Similarly, five studies reported a positive correlation between PE levels and aging, while two studies showed a negative correlation.</p><p><strong>Conclusion: </strong>Phospholipids play a critical role in the aging process, aging-related diseases, and the regulation of lifespan. A reduction in the levels of PCs and LPCs has been identified as a characteristic feature of aging.</p>\",\"PeriodicalId\":46588,\"journal\":{\"name\":\"Health Promotion Perspectives\",\"volume\":\"15 1\",\"pages\":\"23-36\"},\"PeriodicalIF\":2.8000,\"publicationDate\":\"2025-05-06\",\"publicationTypes\":\"Journal Article\",\"fieldsOfStudy\":null,\"isOpenAccess\":false,\"openAccessPdf\":\"https://www.ncbi.nlm.nih.gov/pmc/articles/PMC12125509/pdf/\",\"citationCount\":\"0\",\"resultStr\":null,\"platform\":\"Semanticscholar\",\"paperid\":null,\"PeriodicalName\":\"Health Promotion Perspectives\",\"FirstCategoryId\":\"1085\",\"ListUrlMain\":\"https://doi.org/10.34172/hpp.025.42914\",\"RegionNum\":0,\"RegionCategory\":null,\"ArticlePicture\":[],\"TitleCN\":null,\"AbstractTextCN\":null,\"PMCID\":null,\"EPubDate\":\"2025/5/1 0:00:00\",\"PubModel\":\"eCollection\",\"JCR\":\"Q2\",\"JCRName\":\"PUBLIC, ENVIRONMENTAL & OCCUPATIONAL HEALTH\",\"Score\":null,\"Total\":0}","platform":"Semanticscholar","paperid":null,"PeriodicalName":"Health Promotion Perspectives","FirstCategoryId":"1085","ListUrlMain":"https://doi.org/10.34172/hpp.025.42914","RegionNum":0,"RegionCategory":null,"ArticlePicture":[],"TitleCN":null,"AbstractTextCN":null,"PMCID":null,"EPubDate":"2025/5/1 0:00:00","PubModel":"eCollection","JCR":"Q2","JCRName":"PUBLIC, ENVIRONMENTAL & OCCUPATIONAL HEALTH","Score":null,"Total":0}
引用次数: 0

摘要

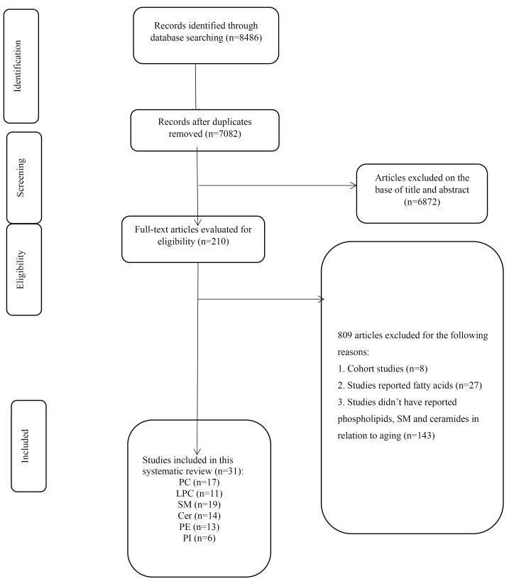
背景:脂质组,作为代谢组学的一个子集,由于几个因素,包括衰老过程,可以经历显著的变化。因此,本研究旨在总结衰老与血浆磷脂变化的关系。方法:综合检索截至2023年9月的MEDLINE (PubMed)、Scopus、Embase、Web of Science和谷歌Scholar数据库。在审查过程的所有阶段都遵守了PRISMA准则。包括调查衰老与磷脂酰胆碱(PC)、溶血磷脂酰胆碱(LPC)、鞘磷脂(SM)、神经酰胺、磷脂酰乙醇胺(PE)和磷脂酰肌醇(PI)之间关系的横断面和病例对照研究。结果:共纳入8486项研究,其中32项符合预定纳入标准。系统评价包括70499名参与者的数据。研究结果显示,四项研究报告了两性pc与衰老之间的正相关关系,而一项研究报告了相反的关系。此外,两项研究发现,pc与男性衰老呈正相关,与女性衰老负相关。此外,四项研究表明PC代谢物与衰老过程呈负相关。两项研究显示LPCs与两性衰老呈正相关,两项研究显示LPCs与两性衰老呈负相关。对于SMs,五项研究报告了正相关,而两项研究确定了与衰老趋势的负相关。同样,五项研究报告PE水平与衰老呈正相关,而两项研究显示负相关。结论:磷脂在衰老过程、衰老相关疾病和寿命调节中起重要作用。PCs和LPCs水平的降低已被确定为衰老的一个特征。
本文章由计算机程序翻译,如有差异,请以英文原文为准。

Serum phospholipids during aging: A comprehensive systematic review of cross-sectional and case-control studies.

Serum phospholipids during aging: A comprehensive systematic review of cross-sectional and case-control studies.

Background: The lipidome, as a subset of metabolomics, can undergo significant variations due to several factors, including the aging process. Therefore, this study aims to summarize the relationship between aging and alterations in plasma phospholipids.

Methods: A comprehensive search was conducted in MEDLINE (PubMed), Scopus, Embase, Web of Science, and Google Scholar databases up to September 2023. The PRISMA guidelines were adhered to throughout all stages of the review process. Cross-sectional and case-control studies that investigated the relationship between aging and phosphatidylcholine (PC), lysophosphatidylcholine (LPC), sphingomyelins (SM), ceramides, phosphatidylethanolamines (PE), and phosphatidylinositol (PI) were included.

Results: A total of 8486 studies were identified, of which 32 met the predefined inclusion criteria. The systematic review included data from 70,499 participants. The findings revealed that four studies reported a positive association between PCs and aging in both sexes, while one study reported an inverse relationship. Additionally, two studies found that PCs were positively associated with aging in men and negatively associated in women. Furthermore, four studies indicated a negative association between PC metabolites and the aging process. With regard to LPCs, two studies demonstrated a positive correlation, and two studies showed an inverse correlation with aging in both sexes. For SMs, five studies reported a positive association, whereas two studies identified an inverse association with aging trends. Similarly, five studies reported a positive correlation between PE levels and aging, while two studies showed a negative correlation.

Conclusion: Phospholipids play a critical role in the aging process, aging-related diseases, and the regulation of lifespan. A reduction in the levels of PCs and LPCs has been identified as a characteristic feature of aging.

求助全文
通过发布文献求助,成功后即可免费获取论文全文。 去求助
来源期刊
Health Promotion Perspectives
Health Promotion Perspectives PUBLIC, ENVIRONMENTAL & OCCUPATIONAL HEALTH-
CiteScore
7.10
自引率
2.30%
发文量
27
审稿时长
13 weeks
×
引用
GB/T 7714-2015
复制
MLA
复制
APA
复制
导出至
BibTeX EndNote RefMan NoteFirst NoteExpress
×
提示
您的信息不完整,为了账户安全,请先补充。
现在去补充
×
提示
您因"违规操作"
具体请查看互助需知
我知道了
×
提示
确定
请完成安全验证×
copy
已复制链接
快去分享给好友吧!
我知道了
右上角分享
点击右上角分享
0
联系我们:info@booksci.cn Book学术提供免费学术资源搜索服务,方便国内外学者检索中英文文献。致力于提供最便捷和优质的服务体验。 Copyright © 2023 布克学术 All rights reserved.
京ICP备2023020795号-1
ghs 京公网安备 11010802042870号
Book学术文献互助
Book学术文献互助群
群 号:604180095
Book学术官方微信