Guselkumab和Secukinumab治疗银屑病关节炎超过52周的间接比较

IF 2.9 3区 医学 Q2 RHEUMATOLOGY
Rheumatology and Therapy Pub Date : 2025-08-01 Epub Date: 2025-06-01 DOI:10.1007/s40744-025-00771-9
Suzy van Sanden, Agata Schubert, Barkha P Patel, Miriam Zimmermann, Fareen Hassan
{"title":"Guselkumab和Secukinumab治疗银屑病关节炎超过52周的间接比较","authors":"Suzy van Sanden, Agata Schubert, Barkha P Patel, Miriam Zimmermann, Fareen Hassan","doi":"10.1007/s40744-025-00771-9","DOIUrl":null,"url":null,"abstract":"<p><strong>Introduction: </strong>Studies evaluating the long-term comparative efficacy between biologic therapies for psoriatic arthritis (PsA) are scarce. Two biologic therapies, guselkumab and secukinumab, were evaluated up to 52 weeks in a mixed patient population (biologic-naïve and biologic-experienced patients).</p><p><strong>Methods: </strong>An unanchored matching-adjusted indirect comparison (MAIC) was conducted to compare guselkumab 100 mg every 8 weeks (Q8W) and every 4 weeks (Q4W) versus secukinumab 150 mg Q4W and 300 mg Q4W on American College of Rheumatology (ACR) and Psoriasis Area and Severity Index (PASI) responses from weeks 4 through 52 using pooled individual patient-level data from guselkumab trials (COSMOS, DISCOVER-1 and -2) and pooled summary-level data from secukinumab trials (FUTURE 2, 3, 4, and 5). For the primary analysis, patients from the guselkumab trials were re-weighted on six clinically relevant baseline characteristics to match those in the secukinumab trials. Additional characteristics were included as a sensitivity analysis. A scenario analysis was conducted in a biologic-naïve patient population only.</p><p><strong>Results: </strong>For the mixed population, both guselkumab doses initially had numerically or significantly lower ACR 20 responses than both secukinumab doses prior to weeks 12-20; however, from weeks 12-24 onward, ACR 20 responses became numerically or significantly higher for guselkumab. For PASI 90 responses, both guselkumab doses showed significantly higher responses than both secukinumab doses at weeks 24 and 52. Notably, at 52 weeks, ACR 20 and PASI 90 responses for both doses of guselkumab were numerically or significantly higher than both doses of secukinumab. Results from the sensitivity and scenario analyses were similar to the primary analysis.</p><p><strong>Conclusions: </strong>While the IL-17A inhibitor secukinumab may demonstrate more rapid and greater efficacy before weeks 12-20, both doses of guselkumab provide similar or greater efficacy on joint and skin outcomes compared to both doses of secukinumab from week 24 onward. This study provides valuable insights for treatment decisions when considering the chronic nature of PsA.</p>","PeriodicalId":21267,"journal":{"name":"Rheumatology and Therapy","volume":" ","pages":"663-677"},"PeriodicalIF":2.9000,"publicationDate":"2025-08-01","publicationTypes":"Journal Article","fieldsOfStudy":null,"isOpenAccess":false,"openAccessPdf":"https://www.ncbi.nlm.nih.gov/pmc/articles/PMC12246347/pdf/","citationCount":"0","resultStr":"{\"title\":\"A Matching-Adjusted Indirect Comparison of Guselkumab and Secukinumab in Patients with Psoriatic Arthritis Over 52 Weeks.\",\"authors\":\"Suzy van Sanden, Agata Schubert, Barkha P Patel, Miriam Zimmermann, Fareen Hassan\",\"doi\":\"10.1007/s40744-025-00771-9\",\"DOIUrl\":null,\"url\":null,\"abstract\":\"<p><strong>Introduction: </strong>Studies evaluating the long-term comparative efficacy between biologic therapies for psoriatic arthritis (PsA) are scarce. Two biologic therapies, guselkumab and secukinumab, were evaluated up to 52 weeks in a mixed patient population (biologic-naïve and biologic-experienced patients).</p><p><strong>Methods: </strong>An unanchored matching-adjusted indirect comparison (MAIC) was conducted to compare guselkumab 100 mg every 8 weeks (Q8W) and every 4 weeks (Q4W) versus secukinumab 150 mg Q4W and 300 mg Q4W on American College of Rheumatology (ACR) and Psoriasis Area and Severity Index (PASI) responses from weeks 4 through 52 using pooled individual patient-level data from guselkumab trials (COSMOS, DISCOVER-1 and -2) and pooled summary-level data from secukinumab trials (FUTURE 2, 3, 4, and 5). For the primary analysis, patients from the guselkumab trials were re-weighted on six clinically relevant baseline characteristics to match those in the secukinumab trials. Additional characteristics were included as a sensitivity analysis. A scenario analysis was conducted in a biologic-naïve patient population only.</p><p><strong>Results: </strong>For the mixed population, both guselkumab doses initially had numerically or significantly lower ACR 20 responses than both secukinumab doses prior to weeks 12-20; however, from weeks 12-24 onward, ACR 20 responses became numerically or significantly higher for guselkumab. For PASI 90 responses, both guselkumab doses showed significantly higher responses than both secukinumab doses at weeks 24 and 52. Notably, at 52 weeks, ACR 20 and PASI 90 responses for both doses of guselkumab were numerically or significantly higher than both doses of secukinumab. Results from the sensitivity and scenario analyses were similar to the primary analysis.</p><p><strong>Conclusions: </strong>While the IL-17A inhibitor secukinumab may demonstrate more rapid and greater efficacy before weeks 12-20, both doses of guselkumab provide similar or greater efficacy on joint and skin outcomes compared to both doses of secukinumab from week 24 onward. This study provides valuable insights for treatment decisions when considering the chronic nature of PsA.</p>\",\"PeriodicalId\":21267,\"journal\":{\"name\":\"Rheumatology and Therapy\",\"volume\":\" \",\"pages\":\"663-677\"},\"PeriodicalIF\":2.9000,\"publicationDate\":\"2025-08-01\",\"publicationTypes\":\"Journal Article\",\"fieldsOfStudy\":null,\"isOpenAccess\":false,\"openAccessPdf\":\"https://www.ncbi.nlm.nih.gov/pmc/articles/PMC12246347/pdf/\",\"citationCount\":\"0\",\"resultStr\":null,\"platform\":\"Semanticscholar\",\"paperid\":null,\"PeriodicalName\":\"Rheumatology and Therapy\",\"FirstCategoryId\":\"3\",\"ListUrlMain\":\"https://doi.org/10.1007/s40744-025-00771-9\",\"RegionNum\":3,\"RegionCategory\":\"医学\",\"ArticlePicture\":[],\"TitleCN\":null,\"AbstractTextCN\":null,\"PMCID\":null,\"EPubDate\":\"2025/6/1 0:00:00\",\"PubModel\":\"Epub\",\"JCR\":\"Q2\",\"JCRName\":\"RHEUMATOLOGY\",\"Score\":null,\"Total\":0}","platform":"Semanticscholar","paperid":null,"PeriodicalName":"Rheumatology and Therapy","FirstCategoryId":"3","ListUrlMain":"https://doi.org/10.1007/s40744-025-00771-9","RegionNum":3,"RegionCategory":"医学","ArticlePicture":[],"TitleCN":null,"AbstractTextCN":null,"PMCID":null,"EPubDate":"2025/6/1 0:00:00","PubModel":"Epub","JCR":"Q2","JCRName":"RHEUMATOLOGY","Score":null,"Total":0}
引用次数: 0

摘要

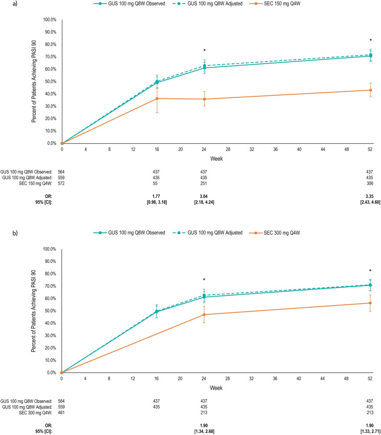
引言:评价银屑病关节炎(PsA)生物疗法之间长期比较疗效的研究很少。两种生物疗法,guselkumab和secukinumab,在混合患者群体(biologic-naïve和有生物经验的患者)中进行了长达52周的评估。方法:进行非锚定匹配调整间接比较(MAIC),比较guselkumab 100 mg每8周(Q8W)和每4周(Q4W)与secukinumab 150 mg Q4W和300 mg Q4W对美国风湿病学会(ACR)和银屑病面积和严重程度指数(PASI)的反应,从第4周到第52周,使用来自guselkumab试验(COSMOS, DISCOVER-1和-2)的个体患者水平数据和来自secukinumab试验(FUTURE 2, 3, 4和5)的汇总汇总数据。在初步分析中,来自guselkumab试验的患者根据6个临床相关基线特征重新加权,以匹配secukinumab试验中的基线特征。纳入其他特征作为敏感性分析。情景分析仅在biologic-naïve患者人群中进行。结果:对于混合人群,在12-20周之前,两种guselkumab剂量最初的ACR 20反应均低于两种secukinumab剂量;然而,从第12-24周开始,guelkumab的acr20反应在数值上或显着提高。对于PASI 90反应,在第24周和第52周,两种guselkumab剂量均显示出明显高于两种secukinumab剂量的反应。值得注意的是,在52周时,两种剂量的guselkumab的ACR 20和PASI 90反应在数值上或显著高于两种剂量的secukinumab。敏感性分析和情景分析的结果与初步分析相似。结论:虽然IL-17A抑制剂secukinumab可能在12-20周之前表现出更快和更好的疗效,但与两种剂量的secukinumab相比,两种剂量的guselkumab在第24周以后的关节和皮肤结局方面提供相似或更高的疗效。当考虑到PsA的慢性性质时,这项研究为治疗决策提供了有价值的见解。
本文章由计算机程序翻译,如有差异,请以英文原文为准。

A Matching-Adjusted Indirect Comparison of Guselkumab and Secukinumab in Patients with Psoriatic Arthritis Over 52 Weeks.

A Matching-Adjusted Indirect Comparison of Guselkumab and Secukinumab in Patients with Psoriatic Arthritis Over 52 Weeks.

A Matching-Adjusted Indirect Comparison of Guselkumab and Secukinumab in Patients with Psoriatic Arthritis Over 52 Weeks.

A Matching-Adjusted Indirect Comparison of Guselkumab and Secukinumab in Patients with Psoriatic Arthritis Over 52 Weeks.

Introduction: Studies evaluating the long-term comparative efficacy between biologic therapies for psoriatic arthritis (PsA) are scarce. Two biologic therapies, guselkumab and secukinumab, were evaluated up to 52 weeks in a mixed patient population (biologic-naïve and biologic-experienced patients).

Methods: An unanchored matching-adjusted indirect comparison (MAIC) was conducted to compare guselkumab 100 mg every 8 weeks (Q8W) and every 4 weeks (Q4W) versus secukinumab 150 mg Q4W and 300 mg Q4W on American College of Rheumatology (ACR) and Psoriasis Area and Severity Index (PASI) responses from weeks 4 through 52 using pooled individual patient-level data from guselkumab trials (COSMOS, DISCOVER-1 and -2) and pooled summary-level data from secukinumab trials (FUTURE 2, 3, 4, and 5). For the primary analysis, patients from the guselkumab trials were re-weighted on six clinically relevant baseline characteristics to match those in the secukinumab trials. Additional characteristics were included as a sensitivity analysis. A scenario analysis was conducted in a biologic-naïve patient population only.

Results: For the mixed population, both guselkumab doses initially had numerically or significantly lower ACR 20 responses than both secukinumab doses prior to weeks 12-20; however, from weeks 12-24 onward, ACR 20 responses became numerically or significantly higher for guselkumab. For PASI 90 responses, both guselkumab doses showed significantly higher responses than both secukinumab doses at weeks 24 and 52. Notably, at 52 weeks, ACR 20 and PASI 90 responses for both doses of guselkumab were numerically or significantly higher than both doses of secukinumab. Results from the sensitivity and scenario analyses were similar to the primary analysis.

Conclusions: While the IL-17A inhibitor secukinumab may demonstrate more rapid and greater efficacy before weeks 12-20, both doses of guselkumab provide similar or greater efficacy on joint and skin outcomes compared to both doses of secukinumab from week 24 onward. This study provides valuable insights for treatment decisions when considering the chronic nature of PsA.

求助全文
通过发布文献求助,成功后即可免费获取论文全文。 去求助
来源期刊
Rheumatology and Therapy
Rheumatology and Therapy RHEUMATOLOGY-
CiteScore
6.00
自引率
5.30%
发文量
91
审稿时长
6 weeks
期刊介绍: Aims and Scope Rheumatology and Therapy is an international, open access, peer reviewed, rapid publication journal dedicated to the publication of high-quality clinical (all phases), observational, real-world and health outcomes research around the discovery, development, and use of rheumatologic therapies. Studies relating to diagnosis, pharmacoeconomics, public health, quality of life, and patient care, management, and education are also welcomed. Areas of focus include, but are not limited to, rheumatoid arthritis, gout, gouty arthritis, psoriatic arthritis, osteoarthritis, juvenile idiopathic/rheumatoid arthritis, systemic lupus erythematosus, axial spondyloarthritis, Pompe’s disease, inflammatory joint conditions, musculoskeletal conditions, systemic sclerosis, and fibromyalgia. The journal is of interest to a broad audience of healthcare professionals and publishes original research, reviews, case reports, trial protocols, communications and letters. The journal is read by a global audience and receives submissions from all over the world. Rheumatology and Therapy will consider all scientifically sound research be it positive, confirmatory or negative data. Submissions are welcomed whether they relate to an international and/or a country-specific audience, something that is crucially important when researchers are trying to target more specific patient populations. This inclusive approach allows the journal to assist in the dissemination of all scientifically and ethically sound research. Ethics and Disclosures The journal is a member of the Committee on Publication Ethics (COPE) and subscribes to its principles on how to deal with acts of misconduct thereby committing to investigate allegations of misconduct in order to ensure the integrity of research. Content in this journal is peer-reviewed (Single-blind). For more information on our publishing ethics policies, please see here: https://www.springer.com/gp/editorial-policies Rapid Publication The journal’s rapid publication timelines aim for a peer review decision within 2 weeks of submission. If an article is accepted it will be published online 3-4 weeks from acceptance. These rapid timelines are achieved through the combination of a dedicated in-house editorial team, who closely manage article workflow, and an extensive Editorial and Advisory Board who assist with rapid peer review. This allows the journal to support the rapid dissemination of research, whilst still providing robust peer review. Combined with the journal’s open access model this allows for the rapid and efficient communication of the latest research and reviews, allowing the advancement of rheumatologic therapies. Personal Service The journal’s dedicated in-house editorial team offer a personal “concierge service” meaning that authors will always have a personal point of contact able to update them on the status of their manuscript. The editorial team check all manuscripts to ensure that articles conform to the most recent COPE, GPP and ICMJE publishing guidelines. This supports the publication of ethically sound and transparent research. We also encourage pre-submission enquiries and are always happy to provide a confidential assessment of manuscripts. Digital Features Rheumatology and Therapy offers a range of additional features designed to increase the visibility, readership and educational value of the journal’s content. Each article is accompanied by key summary points, giving a time-efficient overview of the content to a wide readership. Articles may be accompanied by plain language summaries to assist readers who have some knowledge of, but not in-depth expertise in, the area to understand the scientific content and overall implications of the article. The journal also provides the option to include various types of digital features including animated abstracts, video abstracts, slide decks, audio slides, instructional videos, infographics, podcasts and animations. All additional features are peer reviewed to the same high standard as the article itself. If you consider that your paper would benefit from the inclusion of a digital feature, please let us know. Our editorial team are able to create high-quality slide decks and infographics in-house, and video abstracts through our partner Research Square, and would be happy to assist in any way we can. For further information about digital features, please contact the journal editor (see ‘Contact the Journal’ for email address), and see the ‘Guidelines for digital features and plain language summaries’ document under ‘Submission guidelines’. For examples of digital features please visit: https://springerhealthcare.com/expertise/publishing-digital-features/ Preprints We encourage posting of preprints of primary research manuscripts on preprint servers, authors'' or institutional websites, and open communications between researchers whether on community preprint servers or preprint commenting platforms. Posting of preprints is not considered prior publication and will not jeopardize consideration in our journals. Authors should disclose details of preprint posting during the submission process or at any other point during consideration in the journal. Once the manuscript is published, it is the author''s responsibility to ensure that the preprint record is updated with a publication reference, including the DOI and a URL link to the published version of the article on the journal website. Please see here for further information on preprint sharing: https://www.springer.com/gp/authors-editors/journal-author/journal-author-helpdesk/submission/1302#c16721550 Peer Review Process Upon submission, manuscripts are assessed by the editorial team to ensure they fit within the aims and scope of the journal and are also checked for plagiarism. All suitable submissions are then subject to a comprehensive single-blind peer review. Reviewers are selected based on their relevant expertise and publication history in the subject area. The journal has an extensive pool of editorial and advisory board members who have been selected to assist with peer review based on the afore-mentioned criteria. At least two extensive reviews are required to make the editorial decision. Where reviewer recommendations are conflicted, the editorial board will be contacted for further advice and a presiding decision. Manuscripts are then either accepted, rejected or authors are required to make major or minor revisions (both reviewer comments and editorial comments may need to be addressed). Once a revised manuscript is re-submitted, it is assessed along with the responses to reviewer comments and if it has been adequately revised it will be accepted for publication. Accepted manuscripts are then copyedited and typeset by the production team before online publication. Appeals against decisions following peer review are considered on a case-by-case basis and should be sent to the journal editor, and authors are welcome to make rebuttals against individual reviewer comments if appropriate. Considering the time and effort required for a detailed peer review we reward our regular reviewers with the opportunity to publish without publication fees (pending peer review) for every three reviews completed per calendar year. Copyright Rheumatology and Therapy is published under the Creative Commons Attribution-Noncommercial License, which allows users to read, copy, distribute, and make derivative works for non-commercial purposes from the material, as long as the author of the original work is cited. The author assigns the exclusive right to any commercial use of the article to Springer. For more information about the Creative Commons Attribution-Noncommercial License, click here: http://creativecommons.org/licenses/by-nc/4.0. Publication Fees Upon acceptance of an article, authors will be required to pay the mandatory Rapid Service Fee of €5,250/$6,000/£4,300. The journal will consider fee discounts and waivers for developing countries and this is decided on a case-by-case basis. Open Access All articles published by Rheumatology and Therapy are published open access. Contact For more information about the journal, including pre-submission enquiries, please contact charlotte.maddocks@springernature.com.
×
引用
GB/T 7714-2015
复制
MLA
复制
APA
复制
导出至
BibTeX EndNote RefMan NoteFirst NoteExpress
×
提示
您的信息不完整,为了账户安全,请先补充。
现在去补充
×
提示
您因"违规操作"
具体请查看互助需知
我知道了
×
提示
确定
请完成安全验证×
copy
已复制链接
快去分享给好友吧!
我知道了
右上角分享
点击右上角分享
0
联系我们:info@booksci.cn Book学术提供免费学术资源搜索服务,方便国内外学者检索中英文文献。致力于提供最便捷和优质的服务体验。 Copyright © 2023 布克学术 All rights reserved.
京ICP备2023020795号-1
ghs 京公网安备 11010802042870号
Book学术文献互助
Book学术文献互助群
群 号:604180095
Book学术官方微信