使用可穿戴传感器技术增强住院姑息病人的支持性护理(支持试验):一项前瞻性初步试点研究。

IF 2.5 2区 医学 Q2 HEALTH CARE SCIENCES & SERVICES
Philipp Helmer, Jessica Glück, Anastasios Anastasiadis, Florian Rumpf, Sebastian Hottenrott, Bernd E Winkler, Patrick Meybohm, Peter Kranke, Carmen Roch, Michael Sammeth
{"title":"使用可穿戴传感器技术增强住院姑息病人的支持性护理(支持试验):一项前瞻性初步试点研究。","authors":"Philipp Helmer, Jessica Glück, Anastasios Anastasiadis, Florian Rumpf, Sebastian Hottenrott, Bernd E Winkler, Patrick Meybohm, Peter Kranke, Carmen Roch, Michael Sammeth","doi":"10.1186/s12904-025-01794-3","DOIUrl":null,"url":null,"abstract":"<p><strong>Background: </strong>Continuous monitoring of vital parameters using wearable devices offers potential benefits in palliative care, such as early detection of clinical deterioration and improving symptom management. However, evidence supporting their feasibility and utility in hospitalized palliative care patients remains scarce.</p><p><strong>Methods: </strong>This prospective pilot study aimed to evaluate the feasibility of continuous vital sign monitoring in hospitalized palliative care patients using wrist-worn and chest-wall devices. The study was conducted from October 2023 to November 2024 and included hospitalized patients at a university hospital. Eligible participants were required to provide written informed consent. Patients were monitored for up to 30 days or until discharge or death. Data acquisition focused on the quantity and quality of recorded parameters, including heart rate, respiratory rate, and oxygen saturation, as well as advanced hemodynamic variables. Challenges in recruitment, device performance, and data reliability were assessed.</p><p><strong>Results: </strong>A total of 275 patients were screened, with 263 excluded for not meeting eligibility criteria. Of the nine patients who provided written informed consent, two withdrew consent before study interventions, leaving seven participants. Among these, one patient completed the maximum study duration, three were discharged to outpatient care, and three died during hospitalization. Wrist-worn devices yielded valid data for 61.5% of the monitored time (median: 57.6%; range: 20.1-78.3%), while chest-wall devices achieved 55.2% (median: 62.3%; range: 3.6-100%). Heart rate and respiratory rate showed excellent reliability (> 99% data availability), whereas oxygen saturation exhibited poor performance (45.1%). The interval between the last recorded device measurement and time of death ranged from 0 to 25 min. Recruitment challenges, including strict consent requirements, resulted in premature study termination, as achieving the target sample size of 25 patients was deemed unfeasible.</p><p><strong>Conclusion: </strong>This pilot study demonstrates the potential of continuous monitoring technologies in palliative care, but inconsistent data availability limits the ability to recommend their routine use at this stage. Despite these challenges, the promising results highlight the need for further studies to improve device reliability and explore the broader applicability of this technology in palliative care settings.</p>","PeriodicalId":48945,"journal":{"name":"BMC Palliative Care","volume":"24 1","pages":"154"},"PeriodicalIF":2.5000,"publicationDate":"2025-05-31","publicationTypes":"Journal Article","fieldsOfStudy":null,"isOpenAccess":false,"openAccessPdf":"https://www.ncbi.nlm.nih.gov/pmc/articles/PMC12126900/pdf/","citationCount":"0","resultStr":"{\"title\":\"The use of wearable sensor technology to enhance supportive care in hospitalized palliative patients (Support trial): a prospective preliminary pilot study.\",\"authors\":\"Philipp Helmer, Jessica Glück, Anastasios Anastasiadis, Florian Rumpf, Sebastian Hottenrott, Bernd E Winkler, Patrick Meybohm, Peter Kranke, Carmen Roch, Michael Sammeth\",\"doi\":\"10.1186/s12904-025-01794-3\",\"DOIUrl\":null,\"url\":null,\"abstract\":\"<p><strong>Background: </strong>Continuous monitoring of vital parameters using wearable devices offers potential benefits in palliative care, such as early detection of clinical deterioration and improving symptom management. However, evidence supporting their feasibility and utility in hospitalized palliative care patients remains scarce.</p><p><strong>Methods: </strong>This prospective pilot study aimed to evaluate the feasibility of continuous vital sign monitoring in hospitalized palliative care patients using wrist-worn and chest-wall devices. The study was conducted from October 2023 to November 2024 and included hospitalized patients at a university hospital. Eligible participants were required to provide written informed consent. Patients were monitored for up to 30 days or until discharge or death. Data acquisition focused on the quantity and quality of recorded parameters, including heart rate, respiratory rate, and oxygen saturation, as well as advanced hemodynamic variables. Challenges in recruitment, device performance, and data reliability were assessed.</p><p><strong>Results: </strong>A total of 275 patients were screened, with 263 excluded for not meeting eligibility criteria. Of the nine patients who provided written informed consent, two withdrew consent before study interventions, leaving seven participants. Among these, one patient completed the maximum study duration, three were discharged to outpatient care, and three died during hospitalization. Wrist-worn devices yielded valid data for 61.5% of the monitored time (median: 57.6%; range: 20.1-78.3%), while chest-wall devices achieved 55.2% (median: 62.3%; range: 3.6-100%). Heart rate and respiratory rate showed excellent reliability (> 99% data availability), whereas oxygen saturation exhibited poor performance (45.1%). The interval between the last recorded device measurement and time of death ranged from 0 to 25 min. Recruitment challenges, including strict consent requirements, resulted in premature study termination, as achieving the target sample size of 25 patients was deemed unfeasible.</p><p><strong>Conclusion: </strong>This pilot study demonstrates the potential of continuous monitoring technologies in palliative care, but inconsistent data availability limits the ability to recommend their routine use at this stage. Despite these challenges, the promising results highlight the need for further studies to improve device reliability and explore the broader applicability of this technology in palliative care settings.</p>\",\"PeriodicalId\":48945,\"journal\":{\"name\":\"BMC Palliative Care\",\"volume\":\"24 1\",\"pages\":\"154\"},\"PeriodicalIF\":2.5000,\"publicationDate\":\"2025-05-31\",\"publicationTypes\":\"Journal Article\",\"fieldsOfStudy\":null,\"isOpenAccess\":false,\"openAccessPdf\":\"https://www.ncbi.nlm.nih.gov/pmc/articles/PMC12126900/pdf/\",\"citationCount\":\"0\",\"resultStr\":null,\"platform\":\"Semanticscholar\",\"paperid\":null,\"PeriodicalName\":\"BMC Palliative Care\",\"FirstCategoryId\":\"3\",\"ListUrlMain\":\"https://doi.org/10.1186/s12904-025-01794-3\",\"RegionNum\":2,\"RegionCategory\":\"医学\",\"ArticlePicture\":[],\"TitleCN\":null,\"AbstractTextCN\":null,\"PMCID\":null,\"EPubDate\":\"\",\"PubModel\":\"\",\"JCR\":\"Q2\",\"JCRName\":\"HEALTH CARE SCIENCES & SERVICES\",\"Score\":null,\"Total\":0}","platform":"Semanticscholar","paperid":null,"PeriodicalName":"BMC Palliative Care","FirstCategoryId":"3","ListUrlMain":"https://doi.org/10.1186/s12904-025-01794-3","RegionNum":2,"RegionCategory":"医学","ArticlePicture":[],"TitleCN":null,"AbstractTextCN":null,"PMCID":null,"EPubDate":"","PubModel":"","JCR":"Q2","JCRName":"HEALTH CARE SCIENCES & SERVICES","Score":null,"Total":0}
引用次数: 0

摘要

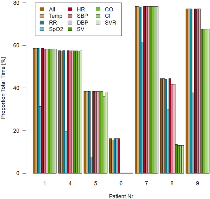
背景:使用可穿戴设备持续监测生命参数在姑息治疗中提供了潜在的好处,如早期发现临床恶化和改善症状管理。然而,支持其在住院姑息治疗患者中的可行性和效用的证据仍然很少。方法:本前瞻性试点研究旨在评估使用腕带和胸壁装置对住院姑息治疗患者进行持续生命体征监测的可行性。该研究于2023年10月至2024年11月进行,研究对象包括一所大学医院的住院患者。符合条件的参与者需要提供书面知情同意书。对患者进行长达30天的监测,直至出院或死亡。数据采集的重点是记录参数的数量和质量,包括心率、呼吸频率、血氧饱和度以及高级血流动力学变量。评估了招聘、设备性能和数据可靠性方面的挑战。结果:共筛选了275例患者,其中263例因不符合资格标准而被排除。在提供书面知情同意书的9名患者中,有2名在研究干预前撤回了同意书,剩下7名参与者。其中,1例患者完成了最长的研究时间,3例患者出院,3例患者在住院期间死亡。腕带设备在61.5%的监测时间内产生有效数据(中位数:57.6%;范围:20.1-78.3%),而胸壁装置达到55.2%(中位数:62.3%;范围:3.6 - -100%)。心率和呼吸率的可靠性很好(bbb99 %的数据可用性),而氧饱和度的可靠性很差(45.1%)。最后一次记录的装置测量和死亡时间之间的间隔为0至25分钟。招募方面的挑战,包括严格的同意要求,导致研究过早终止,因为达到25名患者的目标样本量被认为是不可行的。结论:这项试点研究证明了连续监测技术在姑息治疗中的潜力,但不一致的数据可用性限制了现阶段推荐常规使用的能力。尽管存在这些挑战,但有希望的结果强调了进一步研究以提高设备可靠性和探索该技术在姑息治疗环境中的更广泛适用性的必要性。
本文章由计算机程序翻译,如有差异,请以英文原文为准。

The use of wearable sensor technology to enhance supportive care in hospitalized palliative patients (Support trial): a prospective preliminary pilot study.

The use of wearable sensor technology to enhance supportive care in hospitalized palliative patients (Support trial): a prospective preliminary pilot study.

The use of wearable sensor technology to enhance supportive care in hospitalized palliative patients (Support trial): a prospective preliminary pilot study.

The use of wearable sensor technology to enhance supportive care in hospitalized palliative patients (Support trial): a prospective preliminary pilot study.

Background: Continuous monitoring of vital parameters using wearable devices offers potential benefits in palliative care, such as early detection of clinical deterioration and improving symptom management. However, evidence supporting their feasibility and utility in hospitalized palliative care patients remains scarce.

Methods: This prospective pilot study aimed to evaluate the feasibility of continuous vital sign monitoring in hospitalized palliative care patients using wrist-worn and chest-wall devices. The study was conducted from October 2023 to November 2024 and included hospitalized patients at a university hospital. Eligible participants were required to provide written informed consent. Patients were monitored for up to 30 days or until discharge or death. Data acquisition focused on the quantity and quality of recorded parameters, including heart rate, respiratory rate, and oxygen saturation, as well as advanced hemodynamic variables. Challenges in recruitment, device performance, and data reliability were assessed.

Results: A total of 275 patients were screened, with 263 excluded for not meeting eligibility criteria. Of the nine patients who provided written informed consent, two withdrew consent before study interventions, leaving seven participants. Among these, one patient completed the maximum study duration, three were discharged to outpatient care, and three died during hospitalization. Wrist-worn devices yielded valid data for 61.5% of the monitored time (median: 57.6%; range: 20.1-78.3%), while chest-wall devices achieved 55.2% (median: 62.3%; range: 3.6-100%). Heart rate and respiratory rate showed excellent reliability (> 99% data availability), whereas oxygen saturation exhibited poor performance (45.1%). The interval between the last recorded device measurement and time of death ranged from 0 to 25 min. Recruitment challenges, including strict consent requirements, resulted in premature study termination, as achieving the target sample size of 25 patients was deemed unfeasible.

Conclusion: This pilot study demonstrates the potential of continuous monitoring technologies in palliative care, but inconsistent data availability limits the ability to recommend their routine use at this stage. Despite these challenges, the promising results highlight the need for further studies to improve device reliability and explore the broader applicability of this technology in palliative care settings.

求助全文
通过发布文献求助,成功后即可免费获取论文全文。 去求助
来源期刊
BMC Palliative Care
BMC Palliative Care HEALTH CARE SCIENCES & SERVICES-
CiteScore
4.60
自引率
9.70%
发文量
201
审稿时长
21 weeks
期刊介绍: BMC Palliative Care is an open access journal publishing original peer-reviewed research articles in the clinical, scientific, ethical and policy issues, local and international, regarding all aspects of hospice and palliative care for the dying and for those with profound suffering related to chronic illness.
×
引用
GB/T 7714-2015
复制
MLA
复制
APA
复制
导出至
BibTeX EndNote RefMan NoteFirst NoteExpress
×
提示
您的信息不完整,为了账户安全,请先补充。
现在去补充
×
提示
您因"违规操作"
具体请查看互助需知
我知道了
×
提示
确定
请完成安全验证×
copy
已复制链接
快去分享给好友吧!
我知道了
右上角分享
点击右上角分享
0
联系我们:info@booksci.cn Book学术提供免费学术资源搜索服务,方便国内外学者检索中英文文献。致力于提供最便捷和优质的服务体验。 Copyright © 2023 布克学术 All rights reserved.
京ICP备2023020795号-1
ghs 京公网安备 11010802042870号
Book学术文献互助
Book学术文献互助群
群 号:604180095
Book学术官方微信