低温球囊、圆形和五线脉冲场消融导管在肺静脉隔离和顶线消融联合中的急性结果

IF 2.6
Joerg Yogarajah, Julie Hutter, Patrick Kahle, Philipp Beaujean, Marko Tomic, Andreas Hain, Samuel Sossalla, Thomas Neumann, Malte Kuniss
{"title":"低温球囊、圆形和五线脉冲场消融导管在肺静脉隔离和顶线消融联合中的急性结果","authors":"Joerg Yogarajah, Julie Hutter, Patrick Kahle, Philipp Beaujean, Marko Tomic, Andreas Hain, Samuel Sossalla, Thomas Neumann, Malte Kuniss","doi":"10.1007/s10840-025-02078-9","DOIUrl":null,"url":null,"abstract":"<p><strong>Background: </strong>Single-shot ablation systems are widely used for pulmonary vein isolation (PVI) in atrial fibrillation (AF). The use of novel pulsed-field ablation (PFA) systems enables ablation beyond PVI, such as left atrial roof ablation (LARA), which may improve outcomes in persistent AF.</p><p><strong>Objective: </strong>This study aimed to compare the acute efficacy, feasibility, and safety of PVI combined with LARA using three different single-shot ablation systems in patients with persistent AF and left atrial enlargement undergoing their first AF ablation.</p><p><strong>Methods: </strong>Consecutive patients undergoing PVI with LARA using cryoballoon or PFA systems were included. Baseline characteristics, procedural parameters, and complication rates were assessed.</p><p><strong>Results: </strong>We included 125 patients with persistent AF and left atrial dilation, divided into cryoballoon (n = 65), pentaspline PFA (n = 30), and circular PFA (n = 30) groups. Acute PVI was achieved in 100% of veins. Fewer applications were required for LARA with cryoballoon vs. PFA (4 vs. 8 vs. 10, P < 0.001). Conduction block was confirmed in 95%, 100%, and 100% of patients (P = 0.421). Procedural times were longer with cryoballoon (87.0 vs. 64.0 vs. 68.0 min, P < 0.001), but fluoroscopy times were shorter (12.2 vs. 15.3 vs. 15.1 min, P = 0.002). Contrast medium use was higher in the cryoballoon group (P < 0.001). Adverse events were rare and predominantly minor, with three complications in the cryoballoon group and one in the PFA groups (P = 0.493).</p><p><strong>Conclusion: </strong>All single-shot ablation systems demonstrated comparable efficacy and safety for PVI and LARA, with differences in procedural feasibility. Further and larger studies are needed.</p>","PeriodicalId":520675,"journal":{"name":"Journal of interventional cardiac electrophysiology : an international journal of arrhythmias and pacing","volume":" ","pages":"1637-1646"},"PeriodicalIF":2.6000,"publicationDate":"2025-11-01","publicationTypes":"Journal Article","fieldsOfStudy":null,"isOpenAccess":false,"openAccessPdf":"https://www.ncbi.nlm.nih.gov/pmc/articles/PMC12476406/pdf/","citationCount":"0","resultStr":"{\"title\":\"Acute outcomes of cryoballoon vs. circular vs. pentaspline pulsed-field ablation catheters in combined pulmonary vein isolation and roof line ablation.\",\"authors\":\"Joerg Yogarajah, Julie Hutter, Patrick Kahle, Philipp Beaujean, Marko Tomic, Andreas Hain, Samuel Sossalla, Thomas Neumann, Malte Kuniss\",\"doi\":\"10.1007/s10840-025-02078-9\",\"DOIUrl\":null,\"url\":null,\"abstract\":\"<p><strong>Background: </strong>Single-shot ablation systems are widely used for pulmonary vein isolation (PVI) in atrial fibrillation (AF). The use of novel pulsed-field ablation (PFA) systems enables ablation beyond PVI, such as left atrial roof ablation (LARA), which may improve outcomes in persistent AF.</p><p><strong>Objective: </strong>This study aimed to compare the acute efficacy, feasibility, and safety of PVI combined with LARA using three different single-shot ablation systems in patients with persistent AF and left atrial enlargement undergoing their first AF ablation.</p><p><strong>Methods: </strong>Consecutive patients undergoing PVI with LARA using cryoballoon or PFA systems were included. Baseline characteristics, procedural parameters, and complication rates were assessed.</p><p><strong>Results: </strong>We included 125 patients with persistent AF and left atrial dilation, divided into cryoballoon (n = 65), pentaspline PFA (n = 30), and circular PFA (n = 30) groups. Acute PVI was achieved in 100% of veins. Fewer applications were required for LARA with cryoballoon vs. PFA (4 vs. 8 vs. 10, P < 0.001). Conduction block was confirmed in 95%, 100%, and 100% of patients (P = 0.421). Procedural times were longer with cryoballoon (87.0 vs. 64.0 vs. 68.0 min, P < 0.001), but fluoroscopy times were shorter (12.2 vs. 15.3 vs. 15.1 min, P = 0.002). Contrast medium use was higher in the cryoballoon group (P < 0.001). Adverse events were rare and predominantly minor, with three complications in the cryoballoon group and one in the PFA groups (P = 0.493).</p><p><strong>Conclusion: </strong>All single-shot ablation systems demonstrated comparable efficacy and safety for PVI and LARA, with differences in procedural feasibility. Further and larger studies are needed.</p>\",\"PeriodicalId\":520675,\"journal\":{\"name\":\"Journal of interventional cardiac electrophysiology : an international journal of arrhythmias and pacing\",\"volume\":\" \",\"pages\":\"1637-1646\"},\"PeriodicalIF\":2.6000,\"publicationDate\":\"2025-11-01\",\"publicationTypes\":\"Journal Article\",\"fieldsOfStudy\":null,\"isOpenAccess\":false,\"openAccessPdf\":\"https://www.ncbi.nlm.nih.gov/pmc/articles/PMC12476406/pdf/\",\"citationCount\":\"0\",\"resultStr\":null,\"platform\":\"Semanticscholar\",\"paperid\":null,\"PeriodicalName\":\"Journal of interventional cardiac electrophysiology : an international journal of arrhythmias and pacing\",\"FirstCategoryId\":\"1085\",\"ListUrlMain\":\"https://doi.org/10.1007/s10840-025-02078-9\",\"RegionNum\":0,\"RegionCategory\":null,\"ArticlePicture\":[],\"TitleCN\":null,\"AbstractTextCN\":null,\"PMCID\":null,\"EPubDate\":\"2025/5/29 0:00:00\",\"PubModel\":\"Epub\",\"JCR\":\"\",\"JCRName\":\"\",\"Score\":null,\"Total\":0}","platform":"Semanticscholar","paperid":null,"PeriodicalName":"Journal of interventional cardiac electrophysiology : an international journal of arrhythmias and pacing","FirstCategoryId":"1085","ListUrlMain":"https://doi.org/10.1007/s10840-025-02078-9","RegionNum":0,"RegionCategory":null,"ArticlePicture":[],"TitleCN":null,"AbstractTextCN":null,"PMCID":null,"EPubDate":"2025/5/29 0:00:00","PubModel":"Epub","JCR":"","JCRName":"","Score":null,"Total":0}
引用次数: 0

摘要

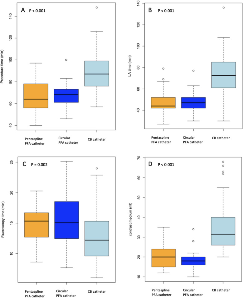
背景:单次消融系统被广泛用于房颤(AF)的肺静脉隔离(PVI)。新型脉冲场消融术(PFA)系统的使用可以实现PVI以外的消融术,如左房顶消融术(LARA),可以改善持续性房颤的预后。目的:本研究旨在比较三种不同的单次消融术在持续性房颤合并左房扩大患者首次房颤消融术中的急性疗效、可行性和安全性。方法:纳入连续使用低温球囊或PFA系统进行PVI的LARA患者。评估基线特征、程序参数和并发症发生率。结果:纳入125例持续性房颤合并左房扩张患者,分为低温球囊组(n = 65)、pentaspline PFA组(n = 30)和圆形PFA组(n = 30)。所有静脉均达到急性PVI。低温球囊与PFA相比,LARA所需的应用较少(4 vs. 8 vs. 10, P)。结论:所有单次消融系统对PVI和LARA的疗效和安全性相当,只是在操作可行性上存在差异。需要进一步和更大规模的研究。
本文章由计算机程序翻译,如有差异,请以英文原文为准。

Acute outcomes of cryoballoon vs. circular vs. pentaspline pulsed-field ablation catheters in combined pulmonary vein isolation and roof line ablation.

Acute outcomes of cryoballoon vs. circular vs. pentaspline pulsed-field ablation catheters in combined pulmonary vein isolation and roof line ablation.

Acute outcomes of cryoballoon vs. circular vs. pentaspline pulsed-field ablation catheters in combined pulmonary vein isolation and roof line ablation.

Acute outcomes of cryoballoon vs. circular vs. pentaspline pulsed-field ablation catheters in combined pulmonary vein isolation and roof line ablation.

Background: Single-shot ablation systems are widely used for pulmonary vein isolation (PVI) in atrial fibrillation (AF). The use of novel pulsed-field ablation (PFA) systems enables ablation beyond PVI, such as left atrial roof ablation (LARA), which may improve outcomes in persistent AF.

Objective: This study aimed to compare the acute efficacy, feasibility, and safety of PVI combined with LARA using three different single-shot ablation systems in patients with persistent AF and left atrial enlargement undergoing their first AF ablation.

Methods: Consecutive patients undergoing PVI with LARA using cryoballoon or PFA systems were included. Baseline characteristics, procedural parameters, and complication rates were assessed.

Results: We included 125 patients with persistent AF and left atrial dilation, divided into cryoballoon (n = 65), pentaspline PFA (n = 30), and circular PFA (n = 30) groups. Acute PVI was achieved in 100% of veins. Fewer applications were required for LARA with cryoballoon vs. PFA (4 vs. 8 vs. 10, P < 0.001). Conduction block was confirmed in 95%, 100%, and 100% of patients (P = 0.421). Procedural times were longer with cryoballoon (87.0 vs. 64.0 vs. 68.0 min, P < 0.001), but fluoroscopy times were shorter (12.2 vs. 15.3 vs. 15.1 min, P = 0.002). Contrast medium use was higher in the cryoballoon group (P < 0.001). Adverse events were rare and predominantly minor, with three complications in the cryoballoon group and one in the PFA groups (P = 0.493).

Conclusion: All single-shot ablation systems demonstrated comparable efficacy and safety for PVI and LARA, with differences in procedural feasibility. Further and larger studies are needed.

求助全文
通过发布文献求助,成功后即可免费获取论文全文。 去求助
来源期刊
自引率
0.00%
发文量
0
×
引用
GB/T 7714-2015
复制
MLA
复制
APA
复制
导出至
BibTeX EndNote RefMan NoteFirst NoteExpress
×
提示
您的信息不完整,为了账户安全,请先补充。
现在去补充
×
提示
您因"违规操作"
具体请查看互助需知
我知道了
×
提示
确定
请完成安全验证×
copy
已复制链接
快去分享给好友吧!
我知道了
右上角分享
点击右上角分享
0
联系我们:info@booksci.cn Book学术提供免费学术资源搜索服务,方便国内外学者检索中英文文献。致力于提供最便捷和优质的服务体验。 Copyright © 2023 布克学术 All rights reserved.
京ICP备2023020795号-1
ghs 京公网安备 11010802042870号
Book学术文献互助
Book学术文献互助群
群 号:604180095
Book学术官方微信