IgG n -糖基化有助于不同程度的胰岛素抵抗:对3P医疗方法的影响

IF 5.9 Q1 MEDICINE, RESEARCH & EXPERIMENTAL
The EPMA journal Pub Date : 2025-04-15 eCollection Date: 2025-06-01 DOI:10.1007/s13167-025-00410-x
Xiaohong Chen, Lois Balmer, Kun Lin, Weijie Cao, Ziyu Huang, Xiang Chen, Manshu Song, Yongsong Chen
{"title":"IgG n -糖基化有助于不同程度的胰岛素抵抗:对3P医疗方法的影响","authors":"Xiaohong Chen, Lois Balmer, Kun Lin, Weijie Cao, Ziyu Huang, Xiang Chen, Manshu Song, Yongsong Chen","doi":"10.1007/s13167-025-00410-x","DOIUrl":null,"url":null,"abstract":"<p><strong>Background: </strong>Reliable biomarkers capturing immunometabolic processes in insulin resistance (IR) remain limited. IgG N-glycosylation modulates immune responses and reflects metabolic disorders, yet its role in IR remains unclear. This study investigated its potential for early detection, risk stratification, and targeted prevention within the framework of predictive, preventive, and personalised medicine (PPPM/3PM).</p><p><strong>Methods: </strong>A total of 313 participants were categorized into three groups based on the homeostatic model assessment for insulin resistance (HOMA-IR): insulin-sensitive (HOMA-IR < 2.69 without diabetes, n = 75), mild IR (HOMA-IR ≥ 2.69 without diabetes, n = 155), and severe IR (HOMA-IR ≥ 2.69 with type 2 diabetes, n = 83). Canonical correlation analysis was conducted to explore the overall relationship between IgG N-glycosylation and IR-related inflammation, indicated by tumour necrosis factor-α, interleukin- 6, C-reactive protein, and adiponectin. Mediation analysis was performed to evaluate the effect of IgG N-glycans on IR. Ordinal logistic regression was used to assess the association between IgG N-glycans and IR severity, with discriminative power evaluated using receiver operating characteristic curves.</p><p><strong>Results: </strong>Pro-inflammatory IgG N-glycoforms, characterized by reduced sialylation and galactosylation, along with increased bisecting N-acetylglucosamine, were observed as IR severity increased. IgG N-glycosylation significantly correlated with inflammatory markers in the insulin-sensitive (<i>r</i> = 0.599, <i>p</i> < 0.05), mild (<i>r</i> = 0.461, <i>p</i> < 0.05), and severe (<i>r</i> = 0.666, <i>p</i> < 0.01) IR groups. IgG N-glycosylation significantly influenced IR (<i>β</i> = 0.406) partially via modulation of inflammation. Increased glycoforms FA2[6]G1 (OR: 0.86, 95% CI: 0.78-0.96) and A2G2S2 (OR: 0.88, 95% CI: 0.82-0.94) were associated with a lower IR risk, with respective area under the curves (AUCs) of 0.752, 0.683, and 0.764 for the insulin sensitive, mild, and severe IR groups.</p><p><strong>Conclusions: </strong>IgG N-glycosylation contributes to IR by modulating inflammatory responses. Glycoforms FA2[6]G1 and A2G2S2 emerge as protective biomarkers, offering potential for predicting and preventing IR through primary prevention strategies within the PPPM framework.</p><p><strong>Supplementary information: </strong>The online version contains supplementary material available at 10.1007/s13167-025-00410-x.</p>","PeriodicalId":94358,"journal":{"name":"The EPMA journal","volume":"16 2","pages":"419-435"},"PeriodicalIF":5.9000,"publicationDate":"2025-04-15","publicationTypes":"Journal Article","fieldsOfStudy":null,"isOpenAccess":false,"openAccessPdf":"https://www.ncbi.nlm.nih.gov/pmc/articles/PMC12106251/pdf/","citationCount":"0","resultStr":"{\"title\":\"IgG N-glycosylation contributes to different severities of insulin resistance: implications for 3P medical approaches.\",\"authors\":\"Xiaohong Chen, Lois Balmer, Kun Lin, Weijie Cao, Ziyu Huang, Xiang Chen, Manshu Song, Yongsong Chen\",\"doi\":\"10.1007/s13167-025-00410-x\",\"DOIUrl\":null,\"url\":null,\"abstract\":\"<p><strong>Background: </strong>Reliable biomarkers capturing immunometabolic processes in insulin resistance (IR) remain limited. IgG N-glycosylation modulates immune responses and reflects metabolic disorders, yet its role in IR remains unclear. This study investigated its potential for early detection, risk stratification, and targeted prevention within the framework of predictive, preventive, and personalised medicine (PPPM/3PM).</p><p><strong>Methods: </strong>A total of 313 participants were categorized into three groups based on the homeostatic model assessment for insulin resistance (HOMA-IR): insulin-sensitive (HOMA-IR < 2.69 without diabetes, n = 75), mild IR (HOMA-IR ≥ 2.69 without diabetes, n = 155), and severe IR (HOMA-IR ≥ 2.69 with type 2 diabetes, n = 83). Canonical correlation analysis was conducted to explore the overall relationship between IgG N-glycosylation and IR-related inflammation, indicated by tumour necrosis factor-α, interleukin- 6, C-reactive protein, and adiponectin. Mediation analysis was performed to evaluate the effect of IgG N-glycans on IR. Ordinal logistic regression was used to assess the association between IgG N-glycans and IR severity, with discriminative power evaluated using receiver operating characteristic curves.</p><p><strong>Results: </strong>Pro-inflammatory IgG N-glycoforms, characterized by reduced sialylation and galactosylation, along with increased bisecting N-acetylglucosamine, were observed as IR severity increased. IgG N-glycosylation significantly correlated with inflammatory markers in the insulin-sensitive (<i>r</i> = 0.599, <i>p</i> < 0.05), mild (<i>r</i> = 0.461, <i>p</i> < 0.05), and severe (<i>r</i> = 0.666, <i>p</i> < 0.01) IR groups. IgG N-glycosylation significantly influenced IR (<i>β</i> = 0.406) partially via modulation of inflammation. Increased glycoforms FA2[6]G1 (OR: 0.86, 95% CI: 0.78-0.96) and A2G2S2 (OR: 0.88, 95% CI: 0.82-0.94) were associated with a lower IR risk, with respective area under the curves (AUCs) of 0.752, 0.683, and 0.764 for the insulin sensitive, mild, and severe IR groups.</p><p><strong>Conclusions: </strong>IgG N-glycosylation contributes to IR by modulating inflammatory responses. Glycoforms FA2[6]G1 and A2G2S2 emerge as protective biomarkers, offering potential for predicting and preventing IR through primary prevention strategies within the PPPM framework.</p><p><strong>Supplementary information: </strong>The online version contains supplementary material available at 10.1007/s13167-025-00410-x.</p>\",\"PeriodicalId\":94358,\"journal\":{\"name\":\"The EPMA journal\",\"volume\":\"16 2\",\"pages\":\"419-435\"},\"PeriodicalIF\":5.9000,\"publicationDate\":\"2025-04-15\",\"publicationTypes\":\"Journal Article\",\"fieldsOfStudy\":null,\"isOpenAccess\":false,\"openAccessPdf\":\"https://www.ncbi.nlm.nih.gov/pmc/articles/PMC12106251/pdf/\",\"citationCount\":\"0\",\"resultStr\":null,\"platform\":\"Semanticscholar\",\"paperid\":null,\"PeriodicalName\":\"The EPMA journal\",\"FirstCategoryId\":\"1085\",\"ListUrlMain\":\"https://doi.org/10.1007/s13167-025-00410-x\",\"RegionNum\":0,\"RegionCategory\":null,\"ArticlePicture\":[],\"TitleCN\":null,\"AbstractTextCN\":null,\"PMCID\":null,\"EPubDate\":\"2025/6/1 0:00:00\",\"PubModel\":\"eCollection\",\"JCR\":\"Q1\",\"JCRName\":\"MEDICINE, RESEARCH & EXPERIMENTAL\",\"Score\":null,\"Total\":0}","platform":"Semanticscholar","paperid":null,"PeriodicalName":"The EPMA journal","FirstCategoryId":"1085","ListUrlMain":"https://doi.org/10.1007/s13167-025-00410-x","RegionNum":0,"RegionCategory":null,"ArticlePicture":[],"TitleCN":null,"AbstractTextCN":null,"PMCID":null,"EPubDate":"2025/6/1 0:00:00","PubModel":"eCollection","JCR":"Q1","JCRName":"MEDICINE, RESEARCH & EXPERIMENTAL","Score":null,"Total":0}
引用次数: 0

摘要

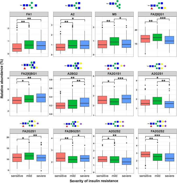
背景:在胰岛素抵抗(IR)中捕获免疫代谢过程的可靠生物标志物仍然有限。IgG n -糖基化调节免疫反应并反映代谢紊乱,但其在IR中的作用尚不清楚。本研究调查了其在预测、预防和个性化医疗(PPPM/3PM)框架内的早期发现、风险分层和有针对性预防的潜力。方法:根据胰岛素抵抗(HOMA-IR)的稳态模型评估,共有313名参与者被分为三组:胰岛素敏感(HOMA-IR)结果:随着胰岛素抵抗严重程度的增加,观察到促炎IgG n-糖型,其特征是唾液酰化和半乳糖基化减少,以及分割n-乙酰氨基葡萄糖增加。胰岛素敏感组(r = 0.599, p < 0.05)、轻度组(r = 0.461, p < 0.05)、重度组(r = 0.666, p < 0.01) IgG n-糖基化与炎症标志物显著相关。IgG n -糖基化通过调节炎症部分影响IR (β = 0.406)。胰岛素敏感组、轻度和重度IR组的糖型FA2[6]G1 (OR: 0.86, 95% CI: 0.78-0.96)和A2G2S2 (OR: 0.88, 95% CI: 0.82-0.94)升高与较低的IR风险相关,曲线下面积(auc)分别为0.752、0.683和0.764。结论:IgG n -糖基化通过调节炎症反应参与IR。糖型FA2[6]G1和A2G2S2作为保护性生物标志物出现,在PPPM框架内通过一级预防策略提供预测和预防IR的潜力。补充信息:在线版本包含补充资料,提供地址为10.1007/s13167-025-00410-x。
本文章由计算机程序翻译,如有差异,请以英文原文为准。

IgG N-glycosylation contributes to different severities of insulin resistance: implications for 3P medical approaches.

IgG N-glycosylation contributes to different severities of insulin resistance: implications for 3P medical approaches.

IgG N-glycosylation contributes to different severities of insulin resistance: implications for 3P medical approaches.

IgG N-glycosylation contributes to different severities of insulin resistance: implications for 3P medical approaches.

Background: Reliable biomarkers capturing immunometabolic processes in insulin resistance (IR) remain limited. IgG N-glycosylation modulates immune responses and reflects metabolic disorders, yet its role in IR remains unclear. This study investigated its potential for early detection, risk stratification, and targeted prevention within the framework of predictive, preventive, and personalised medicine (PPPM/3PM).

Methods: A total of 313 participants were categorized into three groups based on the homeostatic model assessment for insulin resistance (HOMA-IR): insulin-sensitive (HOMA-IR < 2.69 without diabetes, n = 75), mild IR (HOMA-IR ≥ 2.69 without diabetes, n = 155), and severe IR (HOMA-IR ≥ 2.69 with type 2 diabetes, n = 83). Canonical correlation analysis was conducted to explore the overall relationship between IgG N-glycosylation and IR-related inflammation, indicated by tumour necrosis factor-α, interleukin- 6, C-reactive protein, and adiponectin. Mediation analysis was performed to evaluate the effect of IgG N-glycans on IR. Ordinal logistic regression was used to assess the association between IgG N-glycans and IR severity, with discriminative power evaluated using receiver operating characteristic curves.

Results: Pro-inflammatory IgG N-glycoforms, characterized by reduced sialylation and galactosylation, along with increased bisecting N-acetylglucosamine, were observed as IR severity increased. IgG N-glycosylation significantly correlated with inflammatory markers in the insulin-sensitive (r = 0.599, p < 0.05), mild (r = 0.461, p < 0.05), and severe (r = 0.666, p < 0.01) IR groups. IgG N-glycosylation significantly influenced IR (β = 0.406) partially via modulation of inflammation. Increased glycoforms FA2[6]G1 (OR: 0.86, 95% CI: 0.78-0.96) and A2G2S2 (OR: 0.88, 95% CI: 0.82-0.94) were associated with a lower IR risk, with respective area under the curves (AUCs) of 0.752, 0.683, and 0.764 for the insulin sensitive, mild, and severe IR groups.

Conclusions: IgG N-glycosylation contributes to IR by modulating inflammatory responses. Glycoforms FA2[6]G1 and A2G2S2 emerge as protective biomarkers, offering potential for predicting and preventing IR through primary prevention strategies within the PPPM framework.

Supplementary information: The online version contains supplementary material available at 10.1007/s13167-025-00410-x.

求助全文
通过发布文献求助,成功后即可免费获取论文全文。 去求助
来源期刊
CiteScore
12.50
自引率
0.00%
发文量
0
×
引用
GB/T 7714-2015
复制
MLA
复制
APA
复制
导出至
BibTeX EndNote RefMan NoteFirst NoteExpress
×
提示
您的信息不完整,为了账户安全,请先补充。
现在去补充
×
提示
您因"违规操作"
具体请查看互助需知
我知道了
×
提示
确定
请完成安全验证×
copy
已复制链接
快去分享给好友吧!
我知道了
右上角分享
点击右上角分享
0
联系我们:info@booksci.cn Book学术提供免费学术资源搜索服务,方便国内外学者检索中英文文献。致力于提供最便捷和优质的服务体验。 Copyright © 2023 布克学术 All rights reserved.
京ICP备2023020795号-1
ghs 京公网安备 11010802042870号
Book学术文献互助
Book学术文献互助群
群 号:604180095
Book学术官方微信