空气污染和健康生活方式对肾功能下降的共同影响:来自全国队列研究的见解

IF 3 3区 医学 Q1 UROLOGY & NEPHROLOGY
Renal Failure Pub Date : 2025-12-01 Epub Date: 2025-05-29 DOI:10.1080/0886022X.2025.2508295
Leying Zhao, Cong Zhao, Zhen Wang, Zhenjie Chen, Huijuan Zheng, Sinan Ai, Jiayin Tao, Danting Li, Weiwei Sun, Yaoxian Wang
{"title":"空气污染和健康生活方式对肾功能下降的共同影响:来自全国队列研究的见解","authors":"Leying Zhao, Cong Zhao, Zhen Wang, Zhenjie Chen, Huijuan Zheng, Sinan Ai, Jiayin Tao, Danting Li, Weiwei Sun, Yaoxian Wang","doi":"10.1080/0886022X.2025.2508295","DOIUrl":null,"url":null,"abstract":"<p><p>Long-term exposure to ambient air pollution is a recognized environmental risk factor for chronic kidney disease (CKD), but its dynamic effects on kidney function remain incompletely understood. This nationwide longitudinal study included 5,306 participants from the China Health and Retirement Longitudinal Study (CHARLS) to examine associations between five major air pollutants (PM<sub>1</sub>, PM<sub>2.5</sub>, PM<sub>10</sub>, NO<sub>2</sub>, and O<sub>3</sub>) and kidney function decline, measured by the annual slope of estimated glomerular filtration rate (eGFR). Air pollutant exposures were assessed both as continuous variables and dichotomized by median levels. Higher exposure to PM<sub>1</sub>, PM<sub>2.5</sub>, PM<sub>10</sub>, and NO<sub>2</sub> was consistently associated with faster eGFR decline. In fully adjusted models, each 1 μg/m<sup>3</sup> increase in PM<sub>2.5</sub> corresponded to a steeper decline in eGFR (<i>β</i> = -0.02; 95% CI: -0.03 to -0.02), while participants in high PM<sub>2.5</sub> areas had an annual decline of -0.51 mL/min/1.73 m<sup>2</sup> (95% CI: -0.72 to -0.31). O<sub>3</sub> showed a significant association only in binary models. Weighted quantile sum regression identified PM<sub>2.5</sub> and PM<sub>1</sub> as dominant contributors. A favorable lifestyle markedly mitigated pollution-related decline; under high PM<sub>1</sub> exposure, eGFR declined by -0.69 (95% CI: -1.06 to -0.33) in those with favorable lifestyles versus -2.20 (95% CI: -2.65 to -1.75) in those with unfavorable lifestyles. These findings were robust across multiple sensitivity analyses. These findings emphasize the adverse impact of long-term air pollution exposure on kidney function and suggest that healthy lifestyle behaviors may offer significant protective benefits.</p>","PeriodicalId":20839,"journal":{"name":"Renal Failure","volume":"47 1","pages":"2508295"},"PeriodicalIF":3.0000,"publicationDate":"2025-12-01","publicationTypes":"Journal Article","fieldsOfStudy":null,"isOpenAccess":false,"openAccessPdf":"https://www.ncbi.nlm.nih.gov/pmc/articles/PMC12123944/pdf/","citationCount":"0","resultStr":"{\"title\":\"Joint impacts of air pollution and healthy lifestyles on kidney function decline: insights from a nationwide cohort study.\",\"authors\":\"Leying Zhao, Cong Zhao, Zhen Wang, Zhenjie Chen, Huijuan Zheng, Sinan Ai, Jiayin Tao, Danting Li, Weiwei Sun, Yaoxian Wang\",\"doi\":\"10.1080/0886022X.2025.2508295\",\"DOIUrl\":null,\"url\":null,\"abstract\":\"<p><p>Long-term exposure to ambient air pollution is a recognized environmental risk factor for chronic kidney disease (CKD), but its dynamic effects on kidney function remain incompletely understood. This nationwide longitudinal study included 5,306 participants from the China Health and Retirement Longitudinal Study (CHARLS) to examine associations between five major air pollutants (PM<sub>1</sub>, PM<sub>2.5</sub>, PM<sub>10</sub>, NO<sub>2</sub>, and O<sub>3</sub>) and kidney function decline, measured by the annual slope of estimated glomerular filtration rate (eGFR). Air pollutant exposures were assessed both as continuous variables and dichotomized by median levels. Higher exposure to PM<sub>1</sub>, PM<sub>2.5</sub>, PM<sub>10</sub>, and NO<sub>2</sub> was consistently associated with faster eGFR decline. In fully adjusted models, each 1 μg/m<sup>3</sup> increase in PM<sub>2.5</sub> corresponded to a steeper decline in eGFR (<i>β</i> = -0.02; 95% CI: -0.03 to -0.02), while participants in high PM<sub>2.5</sub> areas had an annual decline of -0.51 mL/min/1.73 m<sup>2</sup> (95% CI: -0.72 to -0.31). O<sub>3</sub> showed a significant association only in binary models. Weighted quantile sum regression identified PM<sub>2.5</sub> and PM<sub>1</sub> as dominant contributors. A favorable lifestyle markedly mitigated pollution-related decline; under high PM<sub>1</sub> exposure, eGFR declined by -0.69 (95% CI: -1.06 to -0.33) in those with favorable lifestyles versus -2.20 (95% CI: -2.65 to -1.75) in those with unfavorable lifestyles. These findings were robust across multiple sensitivity analyses. These findings emphasize the adverse impact of long-term air pollution exposure on kidney function and suggest that healthy lifestyle behaviors may offer significant protective benefits.</p>\",\"PeriodicalId\":20839,\"journal\":{\"name\":\"Renal Failure\",\"volume\":\"47 1\",\"pages\":\"2508295\"},\"PeriodicalIF\":3.0000,\"publicationDate\":\"2025-12-01\",\"publicationTypes\":\"Journal Article\",\"fieldsOfStudy\":null,\"isOpenAccess\":false,\"openAccessPdf\":\"https://www.ncbi.nlm.nih.gov/pmc/articles/PMC12123944/pdf/\",\"citationCount\":\"0\",\"resultStr\":null,\"platform\":\"Semanticscholar\",\"paperid\":null,\"PeriodicalName\":\"Renal Failure\",\"FirstCategoryId\":\"3\",\"ListUrlMain\":\"https://doi.org/10.1080/0886022X.2025.2508295\",\"RegionNum\":3,\"RegionCategory\":\"医学\",\"ArticlePicture\":[],\"TitleCN\":null,\"AbstractTextCN\":null,\"PMCID\":null,\"EPubDate\":\"2025/5/29 0:00:00\",\"PubModel\":\"Epub\",\"JCR\":\"Q1\",\"JCRName\":\"UROLOGY & NEPHROLOGY\",\"Score\":null,\"Total\":0}","platform":"Semanticscholar","paperid":null,"PeriodicalName":"Renal Failure","FirstCategoryId":"3","ListUrlMain":"https://doi.org/10.1080/0886022X.2025.2508295","RegionNum":3,"RegionCategory":"医学","ArticlePicture":[],"TitleCN":null,"AbstractTextCN":null,"PMCID":null,"EPubDate":"2025/5/29 0:00:00","PubModel":"Epub","JCR":"Q1","JCRName":"UROLOGY & NEPHROLOGY","Score":null,"Total":0}
引用次数: 0

摘要

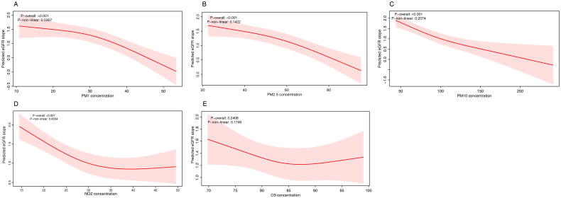
长期暴露于环境空气污染是公认的慢性肾脏疾病(CKD)的环境危险因素,但其对肾功能的动态影响尚不完全清楚。这项全国性的纵向研究包括来自中国健康与退休纵向研究(CHARLS)的5306名参与者,通过估计肾小球滤过率(eGFR)的年斜率来检测五种主要空气污染物(PM1、PM2.5、PM10、NO2和O3)与肾功能下降之间的关系。空气污染物暴露被评估为连续变量和中位数水平的二分类。较高的PM1、PM2.5、PM10和NO2暴露与eGFR下降速度一致相关。在完全调整模型中,PM2.5每增加1 μg/m3, eGFR下降幅度更大(β = -0.02;95% CI: -0.03至-0.02),而PM2.5高地区的参与者每年下降-0.51 mL/min/1.73 m2 (95% CI: -0.72至-0.31)。O3仅在二元模型中表现出显著的相关性。加权分位数和回归发现PM2.5和PM1是主要贡献者。良好的生活方式显著缓解了与污染有关的下降;在高PM1暴露下,生活方式良好者eGFR下降-0.69 (95% CI: -1.06至-0.33),而生活方式不良者eGFR下降-2.20 (95% CI: -2.65至-1.75)。这些发现在多个敏感性分析中都是稳健的。这些发现强调了长期暴露在空气污染中对肾功能的不利影响,并表明健康的生活方式行为可能具有显著的保护作用。
本文章由计算机程序翻译,如有差异,请以英文原文为准。

Joint impacts of air pollution and healthy lifestyles on kidney function decline: insights from a nationwide cohort study.

Joint impacts of air pollution and healthy lifestyles on kidney function decline: insights from a nationwide cohort study.

Joint impacts of air pollution and healthy lifestyles on kidney function decline: insights from a nationwide cohort study.

Joint impacts of air pollution and healthy lifestyles on kidney function decline: insights from a nationwide cohort study.

Long-term exposure to ambient air pollution is a recognized environmental risk factor for chronic kidney disease (CKD), but its dynamic effects on kidney function remain incompletely understood. This nationwide longitudinal study included 5,306 participants from the China Health and Retirement Longitudinal Study (CHARLS) to examine associations between five major air pollutants (PM1, PM2.5, PM10, NO2, and O3) and kidney function decline, measured by the annual slope of estimated glomerular filtration rate (eGFR). Air pollutant exposures were assessed both as continuous variables and dichotomized by median levels. Higher exposure to PM1, PM2.5, PM10, and NO2 was consistently associated with faster eGFR decline. In fully adjusted models, each 1 μg/m3 increase in PM2.5 corresponded to a steeper decline in eGFR (β = -0.02; 95% CI: -0.03 to -0.02), while participants in high PM2.5 areas had an annual decline of -0.51 mL/min/1.73 m2 (95% CI: -0.72 to -0.31). O3 showed a significant association only in binary models. Weighted quantile sum regression identified PM2.5 and PM1 as dominant contributors. A favorable lifestyle markedly mitigated pollution-related decline; under high PM1 exposure, eGFR declined by -0.69 (95% CI: -1.06 to -0.33) in those with favorable lifestyles versus -2.20 (95% CI: -2.65 to -1.75) in those with unfavorable lifestyles. These findings were robust across multiple sensitivity analyses. These findings emphasize the adverse impact of long-term air pollution exposure on kidney function and suggest that healthy lifestyle behaviors may offer significant protective benefits.

求助全文
通过发布文献求助,成功后即可免费获取论文全文。 去求助
来源期刊
Renal Failure
Renal Failure 医学-泌尿学与肾脏学
CiteScore
3.90
自引率
13.30%
发文量
374
审稿时长
1 months
期刊介绍: Renal Failure primarily concentrates on acute renal injury and its consequence, but also addresses advances in the fields of chronic renal failure, hypertension, and renal transplantation. Bringing together both clinical and experimental aspects of renal failure, this publication presents timely, practical information on pathology and pathophysiology of acute renal failure; nephrotoxicity of drugs and other substances; prevention, treatment, and therapy of renal failure; renal failure in association with transplantation, hypertension, and diabetes mellitus.
×
引用
GB/T 7714-2015
复制
MLA
复制
APA
复制
导出至
BibTeX EndNote RefMan NoteFirst NoteExpress
×
提示
您的信息不完整,为了账户安全,请先补充。
现在去补充
×
提示
您因"违规操作"
具体请查看互助需知
我知道了
×
提示
确定
请完成安全验证×
copy
已复制链接
快去分享给好友吧!
我知道了
右上角分享
点击右上角分享
0
联系我们:info@booksci.cn Book学术提供免费学术资源搜索服务,方便国内外学者检索中英文文献。致力于提供最便捷和优质的服务体验。 Copyright © 2023 布克学术 All rights reserved.
京ICP备2023020795号-1
ghs 京公网安备 11010802042870号
Book学术文献互助
Book学术文献互助群
群 号:604180095
Book学术官方微信