利用危险因素和术前炎症标志物预测不稳定股骨粗隆间骨折患者3年死亡率。

Jung Wook Huh, Min Woo Kim, Young Min Noh, Han Eol Seo, Dong Ha Lee
{"title":"利用危险因素和术前炎症标志物预测不稳定股骨粗隆间骨折患者3年死亡率。","authors":"Jung Wook Huh, Min Woo Kim, Young Min Noh, Han Eol Seo, Dong Ha Lee","doi":"10.5371/hp.2025.37.2.127","DOIUrl":null,"url":null,"abstract":"<p><strong>Purpose: </strong>Preoperative biomarkers such as the neutrophil‑to‑lymphocyte ratio (NLR), lymphocyte‑to‑C‑reactive protein ratio (LCR), and albumin have been proposed to predict postoperative outcomes in various conditions. This study investigated their association with 3‑year mortality in elderly patients undergoing closed reduction and internal fixation with proximal femoral nail anti‑rotation (CRIF with PFNA) for unstable intertrochanteric femur fractures (UIFF).</p><p><strong>Materials and methods: </strong>We retrospectively reviewed 306 patients aged ≥65 years who underwent CRIF with PFNA for UIFF between April 2012 and December 2020. Receiver operating characteristic curve analysis determined optimal cutoffs: LCR 0.441 (sensitivity 48.2%, specificity 78.4%), NLR 3.573 (sensitivity 83.2%, specificity 36.3%), and albumin 3.250 g/dL (sensitivity 52.0%, specificity 76.1%). Patients were dichotomized into low versus high groups for each marker. Univariate and multivariate Cox regression analyses assessed associations with 3‑year mortality.</p><p><strong>Results: </strong>At 3 years postoperatively, 76 patients (30.4%) had died. Kaplan-Meier survival analysis revealed that patients with low LCR (<0.441) and low albumin (<3.250 g/dL) had significantly shorter survival compared to those with higher values. In contrast, stratification by NLR did not yield significant differences in survival. Multivariate Cox regression identified both low LCR and low albumin as independent predictors of increased 3‑year mortality (<i>P</i><0.05), whereas NLR showed no prognostic significance.</p><p><strong>Conclusion: </strong>Preoperative LCR and albumin levels are valuable prognostic biomarkers for 3‑year survival following CRIF with PFNA in elderly UIFF patients. Incorporating these parameters into preoperative risk assessment may improve clinical decision‑making and patient counseling, while NLR appears less predictive.</p>","PeriodicalId":73239,"journal":{"name":"Hip & pelvis","volume":"37 2","pages":"127-136"},"PeriodicalIF":0.0000,"publicationDate":"2025-06-01","publicationTypes":"Journal Article","fieldsOfStudy":null,"isOpenAccess":false,"openAccessPdf":"https://www.ncbi.nlm.nih.gov/pmc/articles/PMC12120483/pdf/","citationCount":"0","resultStr":"{\"title\":\"Using Risk Factors and Preoperative Inflammatory Markers to Predict 3-Year Mortality in Patients with Unstable Intertrochanteric Femur Fractures.\",\"authors\":\"Jung Wook Huh, Min Woo Kim, Young Min Noh, Han Eol Seo, Dong Ha Lee\",\"doi\":\"10.5371/hp.2025.37.2.127\",\"DOIUrl\":null,\"url\":null,\"abstract\":\"<p><strong>Purpose: </strong>Preoperative biomarkers such as the neutrophil‑to‑lymphocyte ratio (NLR), lymphocyte‑to‑C‑reactive protein ratio (LCR), and albumin have been proposed to predict postoperative outcomes in various conditions. This study investigated their association with 3‑year mortality in elderly patients undergoing closed reduction and internal fixation with proximal femoral nail anti‑rotation (CRIF with PFNA) for unstable intertrochanteric femur fractures (UIFF).</p><p><strong>Materials and methods: </strong>We retrospectively reviewed 306 patients aged ≥65 years who underwent CRIF with PFNA for UIFF between April 2012 and December 2020. Receiver operating characteristic curve analysis determined optimal cutoffs: LCR 0.441 (sensitivity 48.2%, specificity 78.4%), NLR 3.573 (sensitivity 83.2%, specificity 36.3%), and albumin 3.250 g/dL (sensitivity 52.0%, specificity 76.1%). Patients were dichotomized into low versus high groups for each marker. Univariate and multivariate Cox regression analyses assessed associations with 3‑year mortality.</p><p><strong>Results: </strong>At 3 years postoperatively, 76 patients (30.4%) had died. Kaplan-Meier survival analysis revealed that patients with low LCR (<0.441) and low albumin (<3.250 g/dL) had significantly shorter survival compared to those with higher values. In contrast, stratification by NLR did not yield significant differences in survival. Multivariate Cox regression identified both low LCR and low albumin as independent predictors of increased 3‑year mortality (<i>P</i><0.05), whereas NLR showed no prognostic significance.</p><p><strong>Conclusion: </strong>Preoperative LCR and albumin levels are valuable prognostic biomarkers for 3‑year survival following CRIF with PFNA in elderly UIFF patients. Incorporating these parameters into preoperative risk assessment may improve clinical decision‑making and patient counseling, while NLR appears less predictive.</p>\",\"PeriodicalId\":73239,\"journal\":{\"name\":\"Hip & pelvis\",\"volume\":\"37 2\",\"pages\":\"127-136\"},\"PeriodicalIF\":0.0000,\"publicationDate\":\"2025-06-01\",\"publicationTypes\":\"Journal Article\",\"fieldsOfStudy\":null,\"isOpenAccess\":false,\"openAccessPdf\":\"https://www.ncbi.nlm.nih.gov/pmc/articles/PMC12120483/pdf/\",\"citationCount\":\"0\",\"resultStr\":null,\"platform\":\"Semanticscholar\",\"paperid\":null,\"PeriodicalName\":\"Hip & pelvis\",\"FirstCategoryId\":\"1085\",\"ListUrlMain\":\"https://doi.org/10.5371/hp.2025.37.2.127\",\"RegionNum\":0,\"RegionCategory\":null,\"ArticlePicture\":[],\"TitleCN\":null,\"AbstractTextCN\":null,\"PMCID\":null,\"EPubDate\":\"\",\"PubModel\":\"\",\"JCR\":\"\",\"JCRName\":\"\",\"Score\":null,\"Total\":0}","platform":"Semanticscholar","paperid":null,"PeriodicalName":"Hip & pelvis","FirstCategoryId":"1085","ListUrlMain":"https://doi.org/10.5371/hp.2025.37.2.127","RegionNum":0,"RegionCategory":null,"ArticlePicture":[],"TitleCN":null,"AbstractTextCN":null,"PMCID":null,"EPubDate":"","PubModel":"","JCR":"","JCRName":"","Score":null,"Total":0}
引用次数: 0

摘要

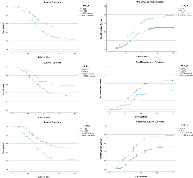
目的:术前生物标志物如中性粒细胞与淋巴细胞比率(NLR)、淋巴细胞与C反应蛋白比率(LCR)和白蛋白已被提出用于预测各种情况下的术后预后。本研究探讨了不稳定股骨粗隆间骨折(UIFF)老年患者行股骨近端钉抗旋转闭合复位内固定(CRIF + PFNA)与3年死亡率的关系。材料和方法:我们回顾性分析了2012年4月至2020年12月期间306例年龄≥65岁、接受CRIF + PFNA治疗UIFF的患者。受试者工作特征曲线分析确定最佳截止点:LCR 0.441(灵敏度48.2%,特异性78.4%),NLR 3.573(灵敏度83.2%,特异性36.3%),白蛋白3.250 g/dL(灵敏度52.0%,特异性76.1%)。根据每个标志物将患者分为低组和高组。单因素和多因素Cox回归分析评估了与3年死亡率的关系。结果:术后3年死亡76例(30.4%)。结论:术前LCR和白蛋白水平是老年UIFF患者CRIF + PFNA后3年生存率的有价值的预后生物标志物。将这些参数纳入术前风险评估可能会改善临床决策和患者咨询,而NLR似乎不太具有预测性。
本文章由计算机程序翻译,如有差异,请以英文原文为准。

Using Risk Factors and Preoperative Inflammatory Markers to Predict 3-Year Mortality in Patients with Unstable Intertrochanteric Femur Fractures.

Using Risk Factors and Preoperative Inflammatory Markers to Predict 3-Year Mortality in Patients with Unstable Intertrochanteric Femur Fractures.

Using Risk Factors and Preoperative Inflammatory Markers to Predict 3-Year Mortality in Patients with Unstable Intertrochanteric Femur Fractures.

Using Risk Factors and Preoperative Inflammatory Markers to Predict 3-Year Mortality in Patients with Unstable Intertrochanteric Femur Fractures.

Purpose: Preoperative biomarkers such as the neutrophil‑to‑lymphocyte ratio (NLR), lymphocyte‑to‑C‑reactive protein ratio (LCR), and albumin have been proposed to predict postoperative outcomes in various conditions. This study investigated their association with 3‑year mortality in elderly patients undergoing closed reduction and internal fixation with proximal femoral nail anti‑rotation (CRIF with PFNA) for unstable intertrochanteric femur fractures (UIFF).

Materials and methods: We retrospectively reviewed 306 patients aged ≥65 years who underwent CRIF with PFNA for UIFF between April 2012 and December 2020. Receiver operating characteristic curve analysis determined optimal cutoffs: LCR 0.441 (sensitivity 48.2%, specificity 78.4%), NLR 3.573 (sensitivity 83.2%, specificity 36.3%), and albumin 3.250 g/dL (sensitivity 52.0%, specificity 76.1%). Patients were dichotomized into low versus high groups for each marker. Univariate and multivariate Cox regression analyses assessed associations with 3‑year mortality.

Results: At 3 years postoperatively, 76 patients (30.4%) had died. Kaplan-Meier survival analysis revealed that patients with low LCR (<0.441) and low albumin (<3.250 g/dL) had significantly shorter survival compared to those with higher values. In contrast, stratification by NLR did not yield significant differences in survival. Multivariate Cox regression identified both low LCR and low albumin as independent predictors of increased 3‑year mortality (P<0.05), whereas NLR showed no prognostic significance.

Conclusion: Preoperative LCR and albumin levels are valuable prognostic biomarkers for 3‑year survival following CRIF with PFNA in elderly UIFF patients. Incorporating these parameters into preoperative risk assessment may improve clinical decision‑making and patient counseling, while NLR appears less predictive.

求助全文
通过发布文献求助,成功后即可免费获取论文全文。 去求助
来源期刊
CiteScore
2.90
自引率
0.00%
发文量
0
×
引用
GB/T 7714-2015
复制
MLA
复制
APA
复制
导出至
BibTeX EndNote RefMan NoteFirst NoteExpress
×
提示
您的信息不完整,为了账户安全,请先补充。
现在去补充
×
提示
您因"违规操作"
具体请查看互助需知
我知道了
×
提示
确定
请完成安全验证×
copy
已复制链接
快去分享给好友吧!
我知道了
右上角分享
点击右上角分享
0
联系我们:info@booksci.cn Book学术提供免费学术资源搜索服务,方便国内外学者检索中英文文献。致力于提供最便捷和优质的服务体验。 Copyright © 2023 布克学术 All rights reserved.
京ICP备2023020795号-1
ghs 京公网安备 11010802042870号
Book学术文献互助
Book学术文献互助群
群 号:604180095
Book学术官方微信