胸部巩固性大剂量放疗治疗广泛期小细胞肺癌临床经验的初步结果。

IF 2.2 4区 医学 Q2 RADIOLOGY, NUCLEAR MEDICINE & MEDICAL IMAGING
Hakyoung Kim, Jeongeun Hwang, Sun Myung Kim, Dae Sik Yang
{"title":"胸部巩固性大剂量放疗治疗广泛期小细胞肺癌临床经验的初步结果。","authors":"Hakyoung Kim, Jeongeun Hwang, Sun Myung Kim, Dae Sik Yang","doi":"10.3390/tomography11050055","DOIUrl":null,"url":null,"abstract":"<p><strong>Objectives: </strong>Extensive-stage small-cell lung cancer (SCLC) has a poor prognosis, but recently, the combination of immunotherapy and chemotherapy has improved treatment outcomes in some patients, and treatment plans may vary depending on the individual's general condition and tumor response. In addition, intrathoracic tumor control remains a major challenge for this disease. In the current study, we aim to share our clinical experience and demonstrate that consolidative high-dose thoracic radiotherapy effectively reduces intrathoracic tumor recurrence while maintaining acceptable treatment-related toxicities.</p><p><strong>Materials and methods: </strong>The medical records of 81 SCLC patients treated at Korea University Guro Hospital from January 2019 to December 2023 were reviewed retrospectively. Among them, 22 patients with extensive-stage SCLC who had a favorable tumor response after systemic therapy, including those with oligo-progressive disease limited to the thoracic region and suitable for curative local therapy, received consolidative radiotherapy. A total dose of 52.5 Gy in 25 fractions was administered over 5 weeks to all patients with extensive-stage SCLC.</p><p><strong>Results and conclusions: </strong>The median follow-up time was 22 months (range: 8-59 months), with the median follow-up period after completing consolidative radiotherapy being 13 months (range: 4-35 months). In-field local recurrence occurred in only one patient after consolidative thoracic radiotherapy. Most importantly, 10 patients with oligo-progressive disease at the thoracic site, at the time of tumor response, remained stable without further intrathoracic in-field recurrence. Additionally, no severe cases of radiation pneumonitis or esophagitis were observed. Based on our institution's experience, consolidative high-dose thoracic radiotherapy is well-tolerated and associated with fewer intrathoracic recurrences, leading to improved long-term survival in carefully selected patients with extensive-stage SCLC. Given these findings, we believe consolidative radiotherapy should be considered more proactively in clinical practice. Furthermore, these results may help guide the design of future clinical trials.</p>","PeriodicalId":51330,"journal":{"name":"Tomography","volume":"11 5","pages":""},"PeriodicalIF":2.2000,"publicationDate":"2025-05-07","publicationTypes":"Journal Article","fieldsOfStudy":null,"isOpenAccess":false,"openAccessPdf":"https://www.ncbi.nlm.nih.gov/pmc/articles/PMC12115686/pdf/","citationCount":"0","resultStr":"{\"title\":\"Preliminary Results of Clinical Experience with Consolidative High-Dose Thoracic Radiotherapy for Patients with Extensive-Stage Small Cell Lung Cancer.\",\"authors\":\"Hakyoung Kim, Jeongeun Hwang, Sun Myung Kim, Dae Sik Yang\",\"doi\":\"10.3390/tomography11050055\",\"DOIUrl\":null,\"url\":null,\"abstract\":\"<p><strong>Objectives: </strong>Extensive-stage small-cell lung cancer (SCLC) has a poor prognosis, but recently, the combination of immunotherapy and chemotherapy has improved treatment outcomes in some patients, and treatment plans may vary depending on the individual's general condition and tumor response. In addition, intrathoracic tumor control remains a major challenge for this disease. In the current study, we aim to share our clinical experience and demonstrate that consolidative high-dose thoracic radiotherapy effectively reduces intrathoracic tumor recurrence while maintaining acceptable treatment-related toxicities.</p><p><strong>Materials and methods: </strong>The medical records of 81 SCLC patients treated at Korea University Guro Hospital from January 2019 to December 2023 were reviewed retrospectively. Among them, 22 patients with extensive-stage SCLC who had a favorable tumor response after systemic therapy, including those with oligo-progressive disease limited to the thoracic region and suitable for curative local therapy, received consolidative radiotherapy. A total dose of 52.5 Gy in 25 fractions was administered over 5 weeks to all patients with extensive-stage SCLC.</p><p><strong>Results and conclusions: </strong>The median follow-up time was 22 months (range: 8-59 months), with the median follow-up period after completing consolidative radiotherapy being 13 months (range: 4-35 months). In-field local recurrence occurred in only one patient after consolidative thoracic radiotherapy. Most importantly, 10 patients with oligo-progressive disease at the thoracic site, at the time of tumor response, remained stable without further intrathoracic in-field recurrence. Additionally, no severe cases of radiation pneumonitis or esophagitis were observed. Based on our institution's experience, consolidative high-dose thoracic radiotherapy is well-tolerated and associated with fewer intrathoracic recurrences, leading to improved long-term survival in carefully selected patients with extensive-stage SCLC. Given these findings, we believe consolidative radiotherapy should be considered more proactively in clinical practice. Furthermore, these results may help guide the design of future clinical trials.</p>\",\"PeriodicalId\":51330,\"journal\":{\"name\":\"Tomography\",\"volume\":\"11 5\",\"pages\":\"\"},\"PeriodicalIF\":2.2000,\"publicationDate\":\"2025-05-07\",\"publicationTypes\":\"Journal Article\",\"fieldsOfStudy\":null,\"isOpenAccess\":false,\"openAccessPdf\":\"https://www.ncbi.nlm.nih.gov/pmc/articles/PMC12115686/pdf/\",\"citationCount\":\"0\",\"resultStr\":null,\"platform\":\"Semanticscholar\",\"paperid\":null,\"PeriodicalName\":\"Tomography\",\"FirstCategoryId\":\"3\",\"ListUrlMain\":\"https://doi.org/10.3390/tomography11050055\",\"RegionNum\":4,\"RegionCategory\":\"医学\",\"ArticlePicture\":[],\"TitleCN\":null,\"AbstractTextCN\":null,\"PMCID\":null,\"EPubDate\":\"\",\"PubModel\":\"\",\"JCR\":\"Q2\",\"JCRName\":\"RADIOLOGY, NUCLEAR MEDICINE & MEDICAL IMAGING\",\"Score\":null,\"Total\":0}","platform":"Semanticscholar","paperid":null,"PeriodicalName":"Tomography","FirstCategoryId":"3","ListUrlMain":"https://doi.org/10.3390/tomography11050055","RegionNum":4,"RegionCategory":"医学","ArticlePicture":[],"TitleCN":null,"AbstractTextCN":null,"PMCID":null,"EPubDate":"","PubModel":"","JCR":"Q2","JCRName":"RADIOLOGY, NUCLEAR MEDICINE & MEDICAL IMAGING","Score":null,"Total":0}
引用次数: 0

摘要

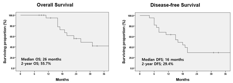
目的:广泛期小细胞肺癌(SCLC)预后较差,但近年来,免疫治疗和化疗联合治疗改善了一些患者的治疗效果,治疗方案可能根据个体的一般情况和肿瘤反应而变化。此外,胸腔内肿瘤的控制仍然是该疾病的主要挑战。在本研究中,我们的目的是分享我们的临床经验,并证明巩固性高剂量胸部放疗有效地减少胸内肿瘤复发,同时保持可接受的治疗相关毒性。材料与方法:回顾性分析2019年1月至2023年12月在高丽大学九老医院治疗的81例SCLC患者的病历。其中,22例经全身治疗后肿瘤反应良好的广泛期SCLC患者,包括局限于胸部区域的低进展性疾病,适合局部治愈性治疗的患者,接受了巩固放疗。所有广泛期SCLC患者在5周内接受了25份52.5 Gy的总剂量。结果与结论:中位随访时间为22个月(8-59个月),完成巩固放疗后中位随访时间为13个月(4-35个月)。胸部巩固放疗后仅1例局部复发。最重要的是,在肿瘤反应时,10例胸腔部位的低进展性疾病患者保持稳定,没有进一步的胸腔内野复发。此外,未观察到严重的放射性肺炎或食管炎。根据我们机构的经验,巩固性高剂量胸部放射治疗耐受性良好,胸内复发较少,导致精心挑选的大分期SCLC患者的长期生存率提高。鉴于这些发现,我们认为在临床实践中应更积极地考虑巩固放疗。此外,这些结果可能有助于指导未来临床试验的设计。
本文章由计算机程序翻译,如有差异,请以英文原文为准。

Preliminary Results of Clinical Experience with Consolidative High-Dose Thoracic Radiotherapy for Patients with Extensive-Stage Small Cell Lung Cancer.

Preliminary Results of Clinical Experience with Consolidative High-Dose Thoracic Radiotherapy for Patients with Extensive-Stage Small Cell Lung Cancer.

Preliminary Results of Clinical Experience with Consolidative High-Dose Thoracic Radiotherapy for Patients with Extensive-Stage Small Cell Lung Cancer.

Preliminary Results of Clinical Experience with Consolidative High-Dose Thoracic Radiotherapy for Patients with Extensive-Stage Small Cell Lung Cancer.

Objectives: Extensive-stage small-cell lung cancer (SCLC) has a poor prognosis, but recently, the combination of immunotherapy and chemotherapy has improved treatment outcomes in some patients, and treatment plans may vary depending on the individual's general condition and tumor response. In addition, intrathoracic tumor control remains a major challenge for this disease. In the current study, we aim to share our clinical experience and demonstrate that consolidative high-dose thoracic radiotherapy effectively reduces intrathoracic tumor recurrence while maintaining acceptable treatment-related toxicities.

Materials and methods: The medical records of 81 SCLC patients treated at Korea University Guro Hospital from January 2019 to December 2023 were reviewed retrospectively. Among them, 22 patients with extensive-stage SCLC who had a favorable tumor response after systemic therapy, including those with oligo-progressive disease limited to the thoracic region and suitable for curative local therapy, received consolidative radiotherapy. A total dose of 52.5 Gy in 25 fractions was administered over 5 weeks to all patients with extensive-stage SCLC.

Results and conclusions: The median follow-up time was 22 months (range: 8-59 months), with the median follow-up period after completing consolidative radiotherapy being 13 months (range: 4-35 months). In-field local recurrence occurred in only one patient after consolidative thoracic radiotherapy. Most importantly, 10 patients with oligo-progressive disease at the thoracic site, at the time of tumor response, remained stable without further intrathoracic in-field recurrence. Additionally, no severe cases of radiation pneumonitis or esophagitis were observed. Based on our institution's experience, consolidative high-dose thoracic radiotherapy is well-tolerated and associated with fewer intrathoracic recurrences, leading to improved long-term survival in carefully selected patients with extensive-stage SCLC. Given these findings, we believe consolidative radiotherapy should be considered more proactively in clinical practice. Furthermore, these results may help guide the design of future clinical trials.

求助全文
通过发布文献求助,成功后即可免费获取论文全文。 去求助
来源期刊
Tomography
Tomography Medicine-Radiology, Nuclear Medicine and Imaging
CiteScore
2.70
自引率
10.50%
发文量
222
期刊介绍: TomographyTM publishes basic (technical and pre-clinical) and clinical scientific articles which involve the advancement of imaging technologies. Tomography encompasses studies that use single or multiple imaging modalities including for example CT, US, PET, SPECT, MR and hyperpolarization technologies, as well as optical modalities (i.e. bioluminescence, photoacoustic, endomicroscopy, fiber optic imaging and optical computed tomography) in basic sciences, engineering, preclinical and clinical medicine. Tomography also welcomes studies involving exploration and refinement of contrast mechanisms and image-derived metrics within and across modalities toward the development of novel imaging probes for image-based feedback and intervention. The use of imaging in biology and medicine provides unparalleled opportunities to noninvasively interrogate tissues to obtain real-time dynamic and quantitative information required for diagnosis and response to interventions and to follow evolving pathological conditions. As multi-modal studies and the complexities of imaging technologies themselves are ever increasing to provide advanced information to scientists and clinicians. Tomography provides a unique publication venue allowing investigators the opportunity to more precisely communicate integrated findings related to the diverse and heterogeneous features associated with underlying anatomical, physiological, functional, metabolic and molecular genetic activities of normal and diseased tissue. Thus Tomography publishes peer-reviewed articles which involve the broad use of imaging of any tissue and disease type including both preclinical and clinical investigations. In addition, hardware/software along with chemical and molecular probe advances are welcome as they are deemed to significantly contribute towards the long-term goal of improving the overall impact of imaging on scientific and clinical discovery.
×
引用
GB/T 7714-2015
复制
MLA
复制
APA
复制
导出至
BibTeX EndNote RefMan NoteFirst NoteExpress
×
提示
您的信息不完整,为了账户安全,请先补充。
现在去补充
×
提示
您因"违规操作"
具体请查看互助需知
我知道了
×
提示
确定
请完成安全验证×
copy
已复制链接
快去分享给好友吧!
我知道了
右上角分享
点击右上角分享
0
联系我们:info@booksci.cn Book学术提供免费学术资源搜索服务,方便国内外学者检索中英文文献。致力于提供最便捷和优质的服务体验。 Copyright © 2023 布克学术 All rights reserved.
京ICP备2023020795号-1
ghs 京公网安备 11010802042870号
Book学术文献互助
Book学术文献互助群
群 号:604180095
Book学术官方微信