在社区居住的老年人心脏自主调节和认知表现:初步研究。

IF 3 Q2 CLINICAL NEUROLOGY
Paula Andreatta Maduro, Luiz Alcides Ramires Maduro, Polyana Evangelista Lima, Ana Clara Castro Silva, Rita de Cássia Montenegro da Silva, Alaine Souza Lima Rocha, Maria Jacqueline Silva Ribeiro, Juliana Magalhães Duarte Matoso, Bruno Bavaresco Gambassi, Paulo Adriano Schwingel
{"title":"在社区居住的老年人心脏自主调节和认知表现:初步研究。","authors":"Paula Andreatta Maduro, Luiz Alcides Ramires Maduro, Polyana Evangelista Lima, Ana Clara Castro Silva, Rita de Cássia Montenegro da Silva, Alaine Souza Lima Rocha, Maria Jacqueline Silva Ribeiro, Juliana Magalhães Duarte Matoso, Bruno Bavaresco Gambassi, Paulo Adriano Schwingel","doi":"10.3390/neurolint17050074","DOIUrl":null,"url":null,"abstract":"<p><strong>Background/objectives: </strong>Cognitive decline has been increasingly linked to cardiac autonomic regulation; however, its specific associations with cognitive domains, such as information processing speed and executive function, remain unclear. This preliminary study examined the relationship between cardiac autonomic modulation and cognitive performance in older adults.</p><p><strong>Methods: </strong>A cross-sectional study was conducted with 101 older adults (aged ≥60 years) attending a university hospital outpatient clinic. Participants were classified as without cognitive impairment (WCI) or cognitively impaired and not demented (CIND) based on neuropsychological assessments. Heart rate variability (HRV) was measured at rest, focusing on the time-domain parameters (SDNN, rMSSD, and pNN50). Trail making test parts A and B (TMT-A and TMT-B) were used to assess information processing speed and executive function, respectively. Analyses of covariance (ANCOVAs) were performed, adjusting for confounding variables including age, sex, and comorbidities.</p><p><strong>Results: </strong>Participants in the CIND group had significantly lower HRV indices than those in the WCI group (SDNN, <i>p</i> < 0.05, <i>d</i> = 0.44; rMSSD, <i>p</i> < 0.05, <i>d</i> = 0.39; pNN50, <i>p</i> < 0.05, <i>d</i> = 0.40), indicating reduced parasympathetic modulation. Higher HRV values were observed in individuals with preserved processing speed and executive function. Specifically, pNN50 was significantly associated with processing speed (<i>p</i> = 0.04), and SDNN was significantly correlated with executive function (<i>p</i> = 0.02). These associations persisted even after adjusting for confounding factors.</p><p><strong>Conclusions: </strong>Reduced cardiac autonomic modulation, especially lower parasympathetic activity, is significantly associated with cognitive impairment in older adults. Lower pNN50 values were correlated with slower information processing speed, and lower SDNN was associated with poorer executive function. These findings support the potential use of HRV as a physiological biomarker to detect cognitive changes during ageing.</p>","PeriodicalId":19130,"journal":{"name":"Neurology International","volume":"17 5","pages":""},"PeriodicalIF":3.0000,"publicationDate":"2025-05-12","publicationTypes":"Journal Article","fieldsOfStudy":null,"isOpenAccess":false,"openAccessPdf":"https://www.ncbi.nlm.nih.gov/pmc/articles/PMC12113867/pdf/","citationCount":"0","resultStr":"{\"title\":\"Cardiac Autonomic Modulation and Cognitive Performance in Community-Dwelling Older Adults: A Preliminary Study.\",\"authors\":\"Paula Andreatta Maduro, Luiz Alcides Ramires Maduro, Polyana Evangelista Lima, Ana Clara Castro Silva, Rita de Cássia Montenegro da Silva, Alaine Souza Lima Rocha, Maria Jacqueline Silva Ribeiro, Juliana Magalhães Duarte Matoso, Bruno Bavaresco Gambassi, Paulo Adriano Schwingel\",\"doi\":\"10.3390/neurolint17050074\",\"DOIUrl\":null,\"url\":null,\"abstract\":\"<p><strong>Background/objectives: </strong>Cognitive decline has been increasingly linked to cardiac autonomic regulation; however, its specific associations with cognitive domains, such as information processing speed and executive function, remain unclear. This preliminary study examined the relationship between cardiac autonomic modulation and cognitive performance in older adults.</p><p><strong>Methods: </strong>A cross-sectional study was conducted with 101 older adults (aged ≥60 years) attending a university hospital outpatient clinic. Participants were classified as without cognitive impairment (WCI) or cognitively impaired and not demented (CIND) based on neuropsychological assessments. Heart rate variability (HRV) was measured at rest, focusing on the time-domain parameters (SDNN, rMSSD, and pNN50). Trail making test parts A and B (TMT-A and TMT-B) were used to assess information processing speed and executive function, respectively. Analyses of covariance (ANCOVAs) were performed, adjusting for confounding variables including age, sex, and comorbidities.</p><p><strong>Results: </strong>Participants in the CIND group had significantly lower HRV indices than those in the WCI group (SDNN, <i>p</i> < 0.05, <i>d</i> = 0.44; rMSSD, <i>p</i> < 0.05, <i>d</i> = 0.39; pNN50, <i>p</i> < 0.05, <i>d</i> = 0.40), indicating reduced parasympathetic modulation. Higher HRV values were observed in individuals with preserved processing speed and executive function. Specifically, pNN50 was significantly associated with processing speed (<i>p</i> = 0.04), and SDNN was significantly correlated with executive function (<i>p</i> = 0.02). These associations persisted even after adjusting for confounding factors.</p><p><strong>Conclusions: </strong>Reduced cardiac autonomic modulation, especially lower parasympathetic activity, is significantly associated with cognitive impairment in older adults. Lower pNN50 values were correlated with slower information processing speed, and lower SDNN was associated with poorer executive function. These findings support the potential use of HRV as a physiological biomarker to detect cognitive changes during ageing.</p>\",\"PeriodicalId\":19130,\"journal\":{\"name\":\"Neurology International\",\"volume\":\"17 5\",\"pages\":\"\"},\"PeriodicalIF\":3.0000,\"publicationDate\":\"2025-05-12\",\"publicationTypes\":\"Journal Article\",\"fieldsOfStudy\":null,\"isOpenAccess\":false,\"openAccessPdf\":\"https://www.ncbi.nlm.nih.gov/pmc/articles/PMC12113867/pdf/\",\"citationCount\":\"0\",\"resultStr\":null,\"platform\":\"Semanticscholar\",\"paperid\":null,\"PeriodicalName\":\"Neurology International\",\"FirstCategoryId\":\"1085\",\"ListUrlMain\":\"https://doi.org/10.3390/neurolint17050074\",\"RegionNum\":0,\"RegionCategory\":null,\"ArticlePicture\":[],\"TitleCN\":null,\"AbstractTextCN\":null,\"PMCID\":null,\"EPubDate\":\"\",\"PubModel\":\"\",\"JCR\":\"Q2\",\"JCRName\":\"CLINICAL NEUROLOGY\",\"Score\":null,\"Total\":0}","platform":"Semanticscholar","paperid":null,"PeriodicalName":"Neurology International","FirstCategoryId":"1085","ListUrlMain":"https://doi.org/10.3390/neurolint17050074","RegionNum":0,"RegionCategory":null,"ArticlePicture":[],"TitleCN":null,"AbstractTextCN":null,"PMCID":null,"EPubDate":"","PubModel":"","JCR":"Q2","JCRName":"CLINICAL NEUROLOGY","Score":null,"Total":0}
引用次数: 0

摘要

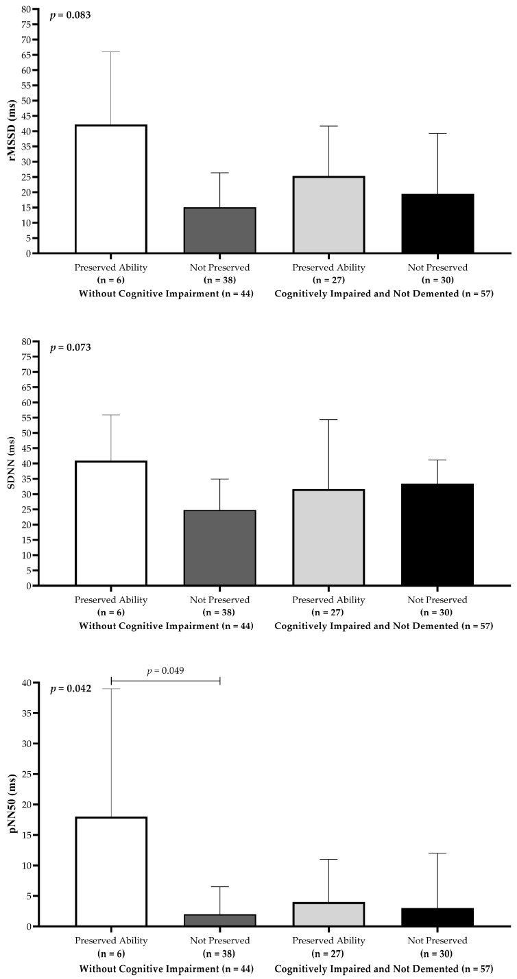
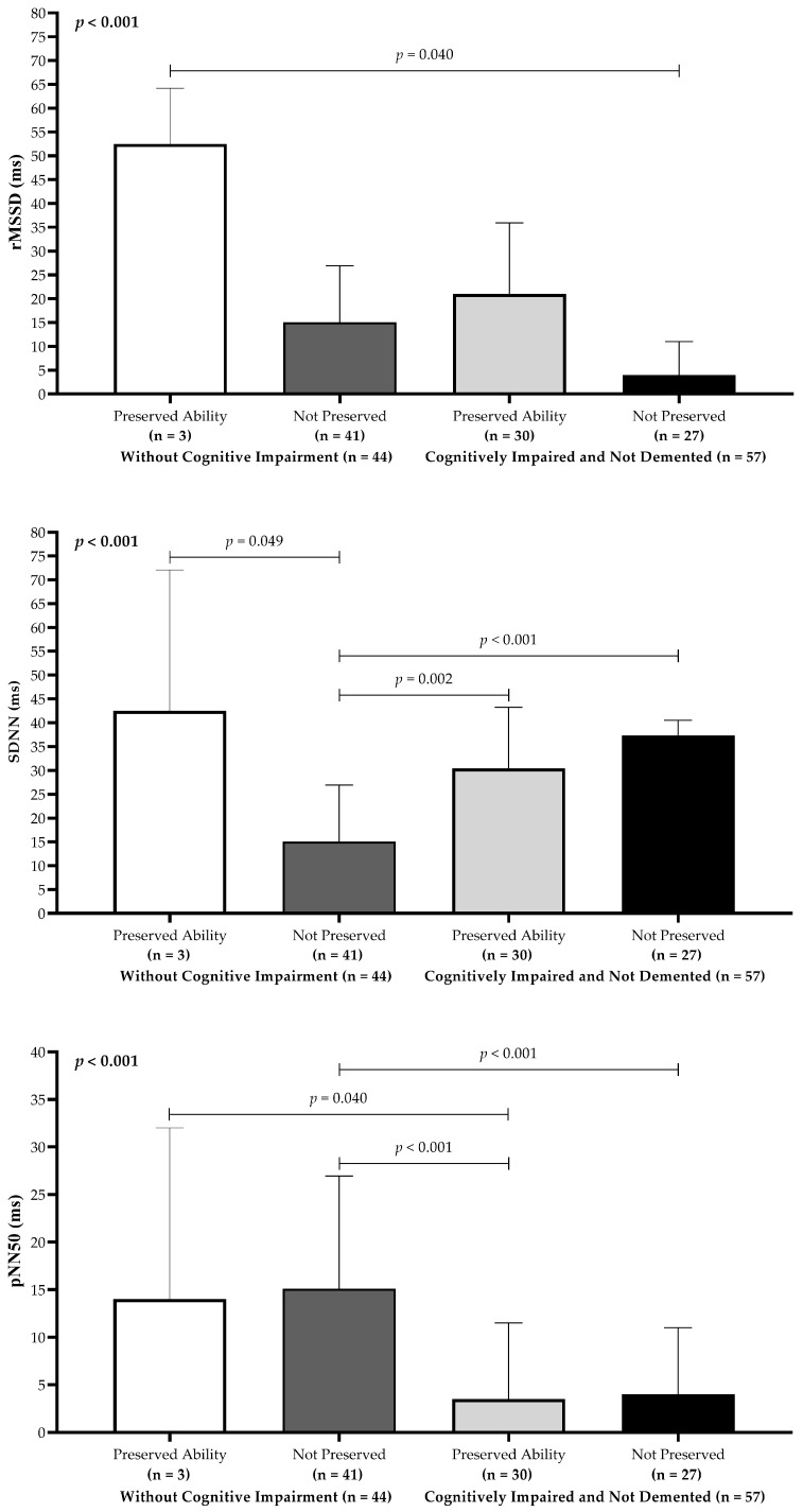
背景/目的:认知能力下降越来越多地与心脏自主调节有关;然而,它与认知领域的具体联系,如信息处理速度和执行功能,仍不清楚。这项初步研究探讨了老年人心脏自主神经调节与认知能力之间的关系。方法:对101名在某大学医院门诊就诊的老年人(年龄≥60岁)进行横断面研究。根据神经心理学评估,参与者被分为无认知障碍(WCI)或认知障碍而非痴呆(CIND)。静息时测量心率变异性(HRV),重点关注时域参数(SDNN、rMSSD和pNN50)。制作试验A和B部分(TMT-A和TMT-B)分别评估信息处理速度和执行功能。进行协方差分析(ANCOVAs),调整混杂变量,包括年龄、性别和合并症。结果:CIND组HRV指标明显低于WCI组(SDNN, p < 0.05, d = 0.44;rMSSD, p < 0.05, d = 0.39;pNN50, p < 0.05, d = 0.40),表明副交感神经调节减弱。在处理速度和执行功能保持不变的个体中观察到较高的HRV值。pNN50与处理速度显著相关(p = 0.04), SDNN与执行功能显著相关(p = 0.02)。即使在调整了混杂因素后,这些关联仍然存在。结论:心脏自主神经调节的降低,尤其是副交感神经活动的降低,与老年人的认知障碍显著相关。pNN50值越低,信息处理速度越慢,SDNN值越低,执行功能越差。这些发现支持了HRV作为生理生物标志物检测衰老过程中认知变化的潜在用途。
本文章由计算机程序翻译,如有差异,请以英文原文为准。

Cardiac Autonomic Modulation and Cognitive Performance in Community-Dwelling Older Adults: A Preliminary Study.

Cardiac Autonomic Modulation and Cognitive Performance in Community-Dwelling Older Adults: A Preliminary Study.

Cardiac Autonomic Modulation and Cognitive Performance in Community-Dwelling Older Adults: A Preliminary Study.

Cardiac Autonomic Modulation and Cognitive Performance in Community-Dwelling Older Adults: A Preliminary Study.

Background/objectives: Cognitive decline has been increasingly linked to cardiac autonomic regulation; however, its specific associations with cognitive domains, such as information processing speed and executive function, remain unclear. This preliminary study examined the relationship between cardiac autonomic modulation and cognitive performance in older adults.

Methods: A cross-sectional study was conducted with 101 older adults (aged ≥60 years) attending a university hospital outpatient clinic. Participants were classified as without cognitive impairment (WCI) or cognitively impaired and not demented (CIND) based on neuropsychological assessments. Heart rate variability (HRV) was measured at rest, focusing on the time-domain parameters (SDNN, rMSSD, and pNN50). Trail making test parts A and B (TMT-A and TMT-B) were used to assess information processing speed and executive function, respectively. Analyses of covariance (ANCOVAs) were performed, adjusting for confounding variables including age, sex, and comorbidities.

Results: Participants in the CIND group had significantly lower HRV indices than those in the WCI group (SDNN, p < 0.05, d = 0.44; rMSSD, p < 0.05, d = 0.39; pNN50, p < 0.05, d = 0.40), indicating reduced parasympathetic modulation. Higher HRV values were observed in individuals with preserved processing speed and executive function. Specifically, pNN50 was significantly associated with processing speed (p = 0.04), and SDNN was significantly correlated with executive function (p = 0.02). These associations persisted even after adjusting for confounding factors.

Conclusions: Reduced cardiac autonomic modulation, especially lower parasympathetic activity, is significantly associated with cognitive impairment in older adults. Lower pNN50 values were correlated with slower information processing speed, and lower SDNN was associated with poorer executive function. These findings support the potential use of HRV as a physiological biomarker to detect cognitive changes during ageing.

求助全文
通过发布文献求助,成功后即可免费获取论文全文。 去求助
来源期刊
Neurology International
Neurology International CLINICAL NEUROLOGY-
CiteScore
3.70
自引率
3.30%
发文量
69
审稿时长
11 weeks
×
引用
GB/T 7714-2015
复制
MLA
复制
APA
复制
导出至
BibTeX EndNote RefMan NoteFirst NoteExpress
×
提示
您的信息不完整,为了账户安全,请先补充。
现在去补充
×
提示
您因"违规操作"
具体请查看互助需知
我知道了
×
提示
确定
请完成安全验证×
copy
已复制链接
快去分享给好友吧!
我知道了
右上角分享
点击右上角分享
0
联系我们:info@booksci.cn Book学术提供免费学术资源搜索服务,方便国内外学者检索中英文文献。致力于提供最便捷和优质的服务体验。 Copyright © 2023 布克学术 All rights reserved.
京ICP备2023020795号-1
ghs 京公网安备 11010802042870号
Book学术文献互助
Book学术文献互助群
群 号:604180095
Book学术官方微信