以职业学校为基础的多层次运动干预对身体活动和久坐行为的有效性:一项集群随机试验。

IF 3.3 2区 心理学 Q1 PSYCHOLOGY, MULTIDISCIPLINARY
Nelli Hankonen, Ari Haukkala, Minttu Palsola, Matti Toivo Juhani Heino, Reijo Sund, Kari Tokola, Pilvikki Absetz, Vera Araújo-Soares, Falko F Sniehotta, Katja Borodulin, Antti Uutela, Taru Lintunen, Tommi Vasankari
{"title":"以职业学校为基础的多层次运动干预对身体活动和久坐行为的有效性:一项集群随机试验。","authors":"Nelli Hankonen, Ari Haukkala, Minttu Palsola, Matti Toivo Juhani Heino, Reijo Sund, Kari Tokola, Pilvikki Absetz, Vera Araújo-Soares, Falko F Sniehotta, Katja Borodulin, Antti Uutela, Taru Lintunen, Tommi Vasankari","doi":"10.1093/abm/kaaf023","DOIUrl":null,"url":null,"abstract":"<p><strong>Background: </strong>Low levels of physical activity (PA), more prevalent among those with low education, require effective interventions. Fewer trials have tested interventions to decrease sedentary behavior (SB). No school-based interventions have shown lasting effects on PA or SB in vocational schools.</p><p><strong>Purpose: </strong>To examine whether the Let's Move It intervention has effects on behavioral and clinical outcomes among vocational students after 2 and 14 months.</p><p><strong>Methods: </strong>A cluster randomized trial in 6 school units in vocational education in Finland (N = 1112) (mean age 18.5 years, range 15-46). The multi-component intervention targeted in-class activity opportunities (eg, teacher-led activity breaks, equipment in classrooms), and students' motivation and self-regulation (eg, 6 group sessions, à 45-60 min, during the intensive intervention period of 2 months). Valid (≥ 4 days, ≥ 10 h/day) accelerometer data were obtained from 741 students at baseline, 521 (70.3%) at 2 months, and 406 (54.8%) at 14 months.</p><p><strong>Results: </strong>No evidence of a significant intervention effect on the co-primary outcomes (moderate-to-vigorous PA, SB, breaks in SB) was found. Participants in the intervention arm reduced their total daily SB time by 32 min (95% CI, -43.2 to -20.8) on weekdays, compared with the control arm's reduction of 8.6 (95% CI, -19.5 to 2.3) and engaged in more accelerometer-measured light PA during school time. Few differences were found in secondary outcomes. The fidelity of intervention delivery was relatively good.</p><p><strong>Conclusions: </strong>This school-based intervention did not affect leisure-time activity. Despite a positive outcome on school-time light PA, more comprehensive or intensive environmental changes may be needed to meaningfully improve vocational students' total activity.</p>","PeriodicalId":7939,"journal":{"name":"Annals of Behavioral Medicine","volume":"59 1","pages":""},"PeriodicalIF":3.3000,"publicationDate":"2025-01-04","publicationTypes":"Journal Article","fieldsOfStudy":null,"isOpenAccess":false,"openAccessPdf":"https://www.ncbi.nlm.nih.gov/pmc/articles/PMC12169330/pdf/","citationCount":"0","resultStr":"{\"title\":\"Effectiveness of the Let's Move It multi-level vocational school-based intervention on physical activity and sedentary behavior: a cluster randomized trial.\",\"authors\":\"Nelli Hankonen, Ari Haukkala, Minttu Palsola, Matti Toivo Juhani Heino, Reijo Sund, Kari Tokola, Pilvikki Absetz, Vera Araújo-Soares, Falko F Sniehotta, Katja Borodulin, Antti Uutela, Taru Lintunen, Tommi Vasankari\",\"doi\":\"10.1093/abm/kaaf023\",\"DOIUrl\":null,\"url\":null,\"abstract\":\"<p><strong>Background: </strong>Low levels of physical activity (PA), more prevalent among those with low education, require effective interventions. Fewer trials have tested interventions to decrease sedentary behavior (SB). No school-based interventions have shown lasting effects on PA or SB in vocational schools.</p><p><strong>Purpose: </strong>To examine whether the Let's Move It intervention has effects on behavioral and clinical outcomes among vocational students after 2 and 14 months.</p><p><strong>Methods: </strong>A cluster randomized trial in 6 school units in vocational education in Finland (N = 1112) (mean age 18.5 years, range 15-46). The multi-component intervention targeted in-class activity opportunities (eg, teacher-led activity breaks, equipment in classrooms), and students' motivation and self-regulation (eg, 6 group sessions, à 45-60 min, during the intensive intervention period of 2 months). Valid (≥ 4 days, ≥ 10 h/day) accelerometer data were obtained from 741 students at baseline, 521 (70.3%) at 2 months, and 406 (54.8%) at 14 months.</p><p><strong>Results: </strong>No evidence of a significant intervention effect on the co-primary outcomes (moderate-to-vigorous PA, SB, breaks in SB) was found. Participants in the intervention arm reduced their total daily SB time by 32 min (95% CI, -43.2 to -20.8) on weekdays, compared with the control arm's reduction of 8.6 (95% CI, -19.5 to 2.3) and engaged in more accelerometer-measured light PA during school time. Few differences were found in secondary outcomes. The fidelity of intervention delivery was relatively good.</p><p><strong>Conclusions: </strong>This school-based intervention did not affect leisure-time activity. Despite a positive outcome on school-time light PA, more comprehensive or intensive environmental changes may be needed to meaningfully improve vocational students' total activity.</p>\",\"PeriodicalId\":7939,\"journal\":{\"name\":\"Annals of Behavioral Medicine\",\"volume\":\"59 1\",\"pages\":\"\"},\"PeriodicalIF\":3.3000,\"publicationDate\":\"2025-01-04\",\"publicationTypes\":\"Journal Article\",\"fieldsOfStudy\":null,\"isOpenAccess\":false,\"openAccessPdf\":\"https://www.ncbi.nlm.nih.gov/pmc/articles/PMC12169330/pdf/\",\"citationCount\":\"0\",\"resultStr\":null,\"platform\":\"Semanticscholar\",\"paperid\":null,\"PeriodicalName\":\"Annals of Behavioral Medicine\",\"FirstCategoryId\":\"102\",\"ListUrlMain\":\"https://doi.org/10.1093/abm/kaaf023\",\"RegionNum\":2,\"RegionCategory\":\"心理学\",\"ArticlePicture\":[],\"TitleCN\":null,\"AbstractTextCN\":null,\"PMCID\":null,\"EPubDate\":\"\",\"PubModel\":\"\",\"JCR\":\"Q1\",\"JCRName\":\"PSYCHOLOGY, MULTIDISCIPLINARY\",\"Score\":null,\"Total\":0}","platform":"Semanticscholar","paperid":null,"PeriodicalName":"Annals of Behavioral Medicine","FirstCategoryId":"102","ListUrlMain":"https://doi.org/10.1093/abm/kaaf023","RegionNum":2,"RegionCategory":"心理学","ArticlePicture":[],"TitleCN":null,"AbstractTextCN":null,"PMCID":null,"EPubDate":"","PubModel":"","JCR":"Q1","JCRName":"PSYCHOLOGY, MULTIDISCIPLINARY","Score":null,"Total":0}
引用次数: 0

摘要

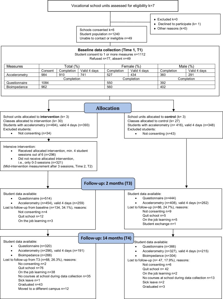
背景:低水平身体活动(PA)在低教育程度人群中更为普遍,需要有效的干预措施。较少的试验测试了干预减少久坐行为(SB)。没有以学校为基础的干预措施显示对职业学校的PA或SB有持久的影响。目的:探讨“让我们动起来”干预对中职学生2个月和14个月后行为和临床结果的影响。方法:对芬兰6所职业教育学校单位(N = 1112)进行整群随机试验,平均年龄18.5岁,范围15 ~ 46岁。多成分干预针对课堂活动机会(例如,教师主导的活动休息,教室设备)和学生的动机和自我调节(例如,在2个月的强化干预期间,6次小组会议,45-60分钟)。基线时741名学生获得有效(≥4天,≥10小时/天)加速度计数据,2个月时521名(70.3%),14个月时406名(54.8%)。结果:没有证据表明干预对共同主要结局(中度至重度PA、SB、SB断裂)有显著影响。干预组的参与者在工作日每天的SB总时间减少了32分钟(95% CI, -43.2至-20.8),而对照组的参与者减少了8.6分钟(95% CI, -19.5至2.3),并且在上学期间进行了更多的加速度计测量的光PA。在次要结局方面几乎没有发现差异。干预交付的保真度相对较好。结论:以学校为基础的干预对学生的课余活动没有影响。尽管在学校时间轻PA方面有积极的结果,但可能需要更全面或更密集的环境变化来有意义地改善职业学生的总体活动。
本文章由计算机程序翻译,如有差异,请以英文原文为准。

Effectiveness of the Let's Move It multi-level vocational school-based intervention on physical activity and sedentary behavior: a cluster randomized trial.

Effectiveness of the Let's Move It multi-level vocational school-based intervention on physical activity and sedentary behavior: a cluster randomized trial.

Effectiveness of the Let's Move It multi-level vocational school-based intervention on physical activity and sedentary behavior: a cluster randomized trial.

Effectiveness of the Let's Move It multi-level vocational school-based intervention on physical activity and sedentary behavior: a cluster randomized trial.

Background: Low levels of physical activity (PA), more prevalent among those with low education, require effective interventions. Fewer trials have tested interventions to decrease sedentary behavior (SB). No school-based interventions have shown lasting effects on PA or SB in vocational schools.

Purpose: To examine whether the Let's Move It intervention has effects on behavioral and clinical outcomes among vocational students after 2 and 14 months.

Methods: A cluster randomized trial in 6 school units in vocational education in Finland (N = 1112) (mean age 18.5 years, range 15-46). The multi-component intervention targeted in-class activity opportunities (eg, teacher-led activity breaks, equipment in classrooms), and students' motivation and self-regulation (eg, 6 group sessions, à 45-60 min, during the intensive intervention period of 2 months). Valid (≥ 4 days, ≥ 10 h/day) accelerometer data were obtained from 741 students at baseline, 521 (70.3%) at 2 months, and 406 (54.8%) at 14 months.

Results: No evidence of a significant intervention effect on the co-primary outcomes (moderate-to-vigorous PA, SB, breaks in SB) was found. Participants in the intervention arm reduced their total daily SB time by 32 min (95% CI, -43.2 to -20.8) on weekdays, compared with the control arm's reduction of 8.6 (95% CI, -19.5 to 2.3) and engaged in more accelerometer-measured light PA during school time. Few differences were found in secondary outcomes. The fidelity of intervention delivery was relatively good.

Conclusions: This school-based intervention did not affect leisure-time activity. Despite a positive outcome on school-time light PA, more comprehensive or intensive environmental changes may be needed to meaningfully improve vocational students' total activity.

求助全文
通过发布文献求助,成功后即可免费获取论文全文。 去求助
来源期刊
Annals of Behavioral Medicine
Annals of Behavioral Medicine PSYCHOLOGY, MULTIDISCIPLINARY-
CiteScore
7.00
自引率
5.30%
发文量
65
期刊介绍: Annals of Behavioral Medicine aims to foster the exchange of knowledge derived from the disciplines involved in the field of behavioral medicine, and the integration of biological, psychosocial, and behavioral factors and principles as they relate to such areas as health promotion, disease prevention, risk factor modification, disease progression, adjustment and adaptation to physical disorders, and rehabilitation. To achieve these goals, much of the journal is devoted to the publication of original empirical articles including reports of randomized controlled trials, observational studies, or other basic and clinical investigations. Integrative reviews of the evidence for the application of behavioral interventions in health care will also be provided. .
×
引用
GB/T 7714-2015
复制
MLA
复制
APA
复制
导出至
BibTeX EndNote RefMan NoteFirst NoteExpress
×
提示
您的信息不完整,为了账户安全,请先补充。
现在去补充
×
提示
您因"违规操作"
具体请查看互助需知
我知道了
×
提示
确定
请完成安全验证×
copy
已复制链接
快去分享给好友吧!
我知道了
右上角分享
点击右上角分享
0
联系我们:info@booksci.cn Book学术提供免费学术资源搜索服务,方便国内外学者检索中英文文献。致力于提供最便捷和优质的服务体验。 Copyright © 2023 布克学术 All rights reserved.
京ICP备2023020795号-1
ghs 京公网安备 11010802042870号
Book学术文献互助
Book学术文献互助群
群 号:604180095
Book学术官方微信