更昔洛韦治疗儿童移植受者的药代动力学/药效学建模和蒙特卡罗模拟预测巨细胞病毒载量

IF 4 2区 医学 Q1 PHARMACOLOGY & PHARMACY
Clinical Pharmacokinetics Pub Date : 2025-07-01 Epub Date: 2025-05-24 DOI:10.1007/s40262-025-01526-z
Kévin Koloskoff, Bénédicte Franck, Sylvain Benito, Julien Welzel, Julie Autmizguine, Yves Theoret, Annabelle Briand, Philippe Ovetchkine, Jean-Baptiste Woillard
{"title":"更昔洛韦治疗儿童移植受者的药代动力学/药效学建模和蒙特卡罗模拟预测巨细胞病毒载量","authors":"Kévin Koloskoff, Bénédicte Franck, Sylvain Benito, Julien Welzel, Julie Autmizguine, Yves Theoret, Annabelle Briand, Philippe Ovetchkine, Jean-Baptiste Woillard","doi":"10.1007/s40262-025-01526-z","DOIUrl":null,"url":null,"abstract":"<p><strong>Background and objectives: </strong>Cytomegalovirus (CMV) infection poses significant challenges in pediatric transplant recipients. Ganciclovir and its prodrug valganciclovir are primary treatments because of their potent antiviral effects. Balancing efficacy and toxicity is particularly critical in children. This study aimed to develop a pharmacokinetic/pharmacodynamic (PK/PD) model for (val)ganciclovir and assess the relationship between area under the concentration-time curve (AUC) and CMV viral loads via Monte Carlo simulations.</p><p><strong>Methods: </strong>We conducted a retrospective analysis including 184 viral load samples from 36 transplanted children treated with ganciclovir/valganciclovir. We developed a population pharmacodynamic model using Monolix and performed Monte Carlo simulations to assess viral load decline with varying AUCs. Internal validation was performed using goodness-of-fit plots and bootstraps.</p><p><strong>Results: </strong>We used a viral turnover model with stimulated degradation to model the pharmacodynamic data. Model validation showed no bias or misspecification. Simulations indicated that maintaining an AUC<sub>0-24</sub> ≥ 40 mg·h/L achieved an 85.4% probability of undetectable viral load after 28 days of therapy. An AUC<sub>0-24</sub> > 30 mg·h/L provided 80.9% probability of reducing viral loads by - 1 log after 2 weeks. AUC<sub>0-24</sub> values > 60 mg·h/L offered minimal incremental benefits.</p><p><strong>Conclusion: </strong>The pharmacodynamic model accurately predicted observed data. Simulations indicated that maintaining a ganciclovir plasma AUC<sub>0-24</sub> around 40-60 mg·h/L maximized antiviral efficacy. An AUC<sub>0-24</sub> > 60 mg·h/L might increase the risk of adverse events without providing additional efficacy.</p>","PeriodicalId":10405,"journal":{"name":"Clinical Pharmacokinetics","volume":" ","pages":"1061-1069"},"PeriodicalIF":4.0000,"publicationDate":"2025-07-01","publicationTypes":"Journal Article","fieldsOfStudy":null,"isOpenAccess":false,"openAccessPdf":"https://www.ncbi.nlm.nih.gov/pmc/articles/PMC12185614/pdf/","citationCount":"0","resultStr":"{\"title\":\"Pharmacokinetic/Pharmacodynamic Modelling and Monte Carlo Simulations to Predict Cytomegalovirus Viral Load in Pediatric Transplant Recipients Treated with (val)Ganciclovir.\",\"authors\":\"Kévin Koloskoff, Bénédicte Franck, Sylvain Benito, Julien Welzel, Julie Autmizguine, Yves Theoret, Annabelle Briand, Philippe Ovetchkine, Jean-Baptiste Woillard\",\"doi\":\"10.1007/s40262-025-01526-z\",\"DOIUrl\":null,\"url\":null,\"abstract\":\"<p><strong>Background and objectives: </strong>Cytomegalovirus (CMV) infection poses significant challenges in pediatric transplant recipients. Ganciclovir and its prodrug valganciclovir are primary treatments because of their potent antiviral effects. Balancing efficacy and toxicity is particularly critical in children. This study aimed to develop a pharmacokinetic/pharmacodynamic (PK/PD) model for (val)ganciclovir and assess the relationship between area under the concentration-time curve (AUC) and CMV viral loads via Monte Carlo simulations.</p><p><strong>Methods: </strong>We conducted a retrospective analysis including 184 viral load samples from 36 transplanted children treated with ganciclovir/valganciclovir. We developed a population pharmacodynamic model using Monolix and performed Monte Carlo simulations to assess viral load decline with varying AUCs. Internal validation was performed using goodness-of-fit plots and bootstraps.</p><p><strong>Results: </strong>We used a viral turnover model with stimulated degradation to model the pharmacodynamic data. Model validation showed no bias or misspecification. Simulations indicated that maintaining an AUC<sub>0-24</sub> ≥ 40 mg·h/L achieved an 85.4% probability of undetectable viral load after 28 days of therapy. An AUC<sub>0-24</sub> > 30 mg·h/L provided 80.9% probability of reducing viral loads by - 1 log after 2 weeks. AUC<sub>0-24</sub> values > 60 mg·h/L offered minimal incremental benefits.</p><p><strong>Conclusion: </strong>The pharmacodynamic model accurately predicted observed data. Simulations indicated that maintaining a ganciclovir plasma AUC<sub>0-24</sub> around 40-60 mg·h/L maximized antiviral efficacy. An AUC<sub>0-24</sub> > 60 mg·h/L might increase the risk of adverse events without providing additional efficacy.</p>\",\"PeriodicalId\":10405,\"journal\":{\"name\":\"Clinical Pharmacokinetics\",\"volume\":\" \",\"pages\":\"1061-1069\"},\"PeriodicalIF\":4.0000,\"publicationDate\":\"2025-07-01\",\"publicationTypes\":\"Journal Article\",\"fieldsOfStudy\":null,\"isOpenAccess\":false,\"openAccessPdf\":\"https://www.ncbi.nlm.nih.gov/pmc/articles/PMC12185614/pdf/\",\"citationCount\":\"0\",\"resultStr\":null,\"platform\":\"Semanticscholar\",\"paperid\":null,\"PeriodicalName\":\"Clinical Pharmacokinetics\",\"FirstCategoryId\":\"3\",\"ListUrlMain\":\"https://doi.org/10.1007/s40262-025-01526-z\",\"RegionNum\":2,\"RegionCategory\":\"医学\",\"ArticlePicture\":[],\"TitleCN\":null,\"AbstractTextCN\":null,\"PMCID\":null,\"EPubDate\":\"2025/5/24 0:00:00\",\"PubModel\":\"Epub\",\"JCR\":\"Q1\",\"JCRName\":\"PHARMACOLOGY & PHARMACY\",\"Score\":null,\"Total\":0}","platform":"Semanticscholar","paperid":null,"PeriodicalName":"Clinical Pharmacokinetics","FirstCategoryId":"3","ListUrlMain":"https://doi.org/10.1007/s40262-025-01526-z","RegionNum":2,"RegionCategory":"医学","ArticlePicture":[],"TitleCN":null,"AbstractTextCN":null,"PMCID":null,"EPubDate":"2025/5/24 0:00:00","PubModel":"Epub","JCR":"Q1","JCRName":"PHARMACOLOGY & PHARMACY","Score":null,"Total":0}
引用次数: 0

摘要

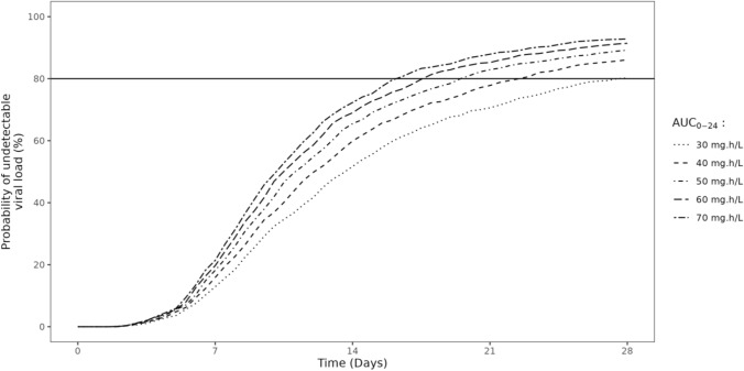
背景和目的:巨细胞病毒(CMV)感染是儿科移植受者面临的重大挑战。更昔洛韦及其前药缬更昔洛韦是主要的治疗方法,因为它们具有有效的抗病毒作用。平衡疗效和毒性对儿童尤为重要。本研究旨在建立(val)更昔洛韦的药代动力学/药效学(PK/PD)模型,并通过蒙特卡罗模拟评估浓度-时间曲线下面积(AUC)与巨细胞病毒载量之间的关系。方法:我们对36例接受更昔洛韦/缬更昔洛韦治疗的移植儿童的184份病毒载量样本进行了回顾性分析。我们使用Monolix开发了一个群体药效学模型,并进行蒙特卡罗模拟来评估不同auc下病毒载量的下降。采用拟合优度图和自举法进行内部验证。结果:我们使用病毒周转模型与刺激降解来模拟药效学数据。模型验证显示无偏倚或错配。模拟表明,维持AUC0-24≥40 mg·h/L,治疗28天后病毒载量检测不到的概率为85.4%。AUC0-24 > 30 mg·h/L在2周后降低病毒载量- 1 log的概率为80.9%。AUC0-24值> 60 mg·h/L的增加效益最小。结论:药效学模型准确地预测了观察数据。模拟表明,将更昔洛韦血浆AUC0-24维持在40-60 mg·h/L左右时,抗病毒效果最大。auc0 - 24bb0 - 60mg·h/L可能会增加不良事件的风险,但不会提供额外的疗效。
本文章由计算机程序翻译,如有差异,请以英文原文为准。

Pharmacokinetic/Pharmacodynamic Modelling and Monte Carlo Simulations to Predict Cytomegalovirus Viral Load in Pediatric Transplant Recipients Treated with (val)Ganciclovir.

Pharmacokinetic/Pharmacodynamic Modelling and Monte Carlo Simulations to Predict Cytomegalovirus Viral Load in Pediatric Transplant Recipients Treated with (val)Ganciclovir.

Pharmacokinetic/Pharmacodynamic Modelling and Monte Carlo Simulations to Predict Cytomegalovirus Viral Load in Pediatric Transplant Recipients Treated with (val)Ganciclovir.

Pharmacokinetic/Pharmacodynamic Modelling and Monte Carlo Simulations to Predict Cytomegalovirus Viral Load in Pediatric Transplant Recipients Treated with (val)Ganciclovir.

Background and objectives: Cytomegalovirus (CMV) infection poses significant challenges in pediatric transplant recipients. Ganciclovir and its prodrug valganciclovir are primary treatments because of their potent antiviral effects. Balancing efficacy and toxicity is particularly critical in children. This study aimed to develop a pharmacokinetic/pharmacodynamic (PK/PD) model for (val)ganciclovir and assess the relationship between area under the concentration-time curve (AUC) and CMV viral loads via Monte Carlo simulations.

Methods: We conducted a retrospective analysis including 184 viral load samples from 36 transplanted children treated with ganciclovir/valganciclovir. We developed a population pharmacodynamic model using Monolix and performed Monte Carlo simulations to assess viral load decline with varying AUCs. Internal validation was performed using goodness-of-fit plots and bootstraps.

Results: We used a viral turnover model with stimulated degradation to model the pharmacodynamic data. Model validation showed no bias or misspecification. Simulations indicated that maintaining an AUC0-24 ≥ 40 mg·h/L achieved an 85.4% probability of undetectable viral load after 28 days of therapy. An AUC0-24 > 30 mg·h/L provided 80.9% probability of reducing viral loads by - 1 log after 2 weeks. AUC0-24 values > 60 mg·h/L offered minimal incremental benefits.

Conclusion: The pharmacodynamic model accurately predicted observed data. Simulations indicated that maintaining a ganciclovir plasma AUC0-24 around 40-60 mg·h/L maximized antiviral efficacy. An AUC0-24 > 60 mg·h/L might increase the risk of adverse events without providing additional efficacy.

求助全文
通过发布文献求助,成功后即可免费获取论文全文。 去求助
来源期刊
CiteScore
8.80
自引率
4.40%
发文量
86
审稿时长
6-12 weeks
期刊介绍: Clinical Pharmacokinetics promotes the continuing development of clinical pharmacokinetics and pharmacodynamics for the improvement of drug therapy, and for furthering postgraduate education in clinical pharmacology and therapeutics. Pharmacokinetics, the study of drug disposition in the body, is an integral part of drug development and rational use. Knowledge and application of pharmacokinetic principles leads to accelerated drug development, cost effective drug use and a reduced frequency of adverse effects and drug interactions.
×
引用
GB/T 7714-2015
复制
MLA
复制
APA
复制
导出至
BibTeX EndNote RefMan NoteFirst NoteExpress
×
提示
您的信息不完整,为了账户安全,请先补充。
现在去补充
×
提示
您因"违规操作"
具体请查看互助需知
我知道了
×
提示
确定
请完成安全验证×
copy
已复制链接
快去分享给好友吧!
我知道了
右上角分享
点击右上角分享
0
联系我们:info@booksci.cn Book学术提供免费学术资源搜索服务,方便国内外学者检索中英文文献。致力于提供最便捷和优质的服务体验。 Copyright © 2023 布克学术 All rights reserved.
京ICP备2023020795号-1
ghs 京公网安备 11010802042870号
Book学术文献互助
Book学术文献互助群
群 号:604180095
Book学术官方微信