儿童精神疾病与抗癫痫药物:FDA不良事件报告系统数据库的分析。

IF 1.2 Q4 CLINICAL NEUROLOGY
Jianxiong Gui, Lingman Wang, Linxue Meng, Xiaofang Zhang, Jiannan Ma, Li Jiang
{"title":"儿童精神疾病与抗癫痫药物:FDA不良事件报告系统数据库的分析。","authors":"Jianxiong Gui, Lingman Wang, Linxue Meng, Xiaofang Zhang, Jiannan Ma, Li Jiang","doi":"10.1186/s42494-025-00223-5","DOIUrl":null,"url":null,"abstract":"<p><strong>Background: </strong>Epilepsy is a chronic neurological disorder marked by a persistent tendency to generate seizures, leading to substantial cognitive, behavioral, and psychosocial consequences. This study investigated psychiatric disorder-related adverse events (AEs) associated with antiseizure medications (ASMs) in children using the Food and Drug Administration Adverse Event Reporting System (FAERS) database.</p><p><strong>Methods: </strong>This study conducted a comprehensive analysis of FAERS data from 2004 to 2024, focusing on psychiatric AEs in children with epilepsy or seizures treated with ASMs. Signal values were computed using reporting odds ratio (ROR), proportional reporting ratio (PRR), Bayesian Confidence Propagation Neural Network (BCPNN), and Multi-item Gamma Poisson Shrinker (MGPS).</p><p><strong>Results: </strong>A total of 2539 preferred terms (PTs) were included, involving 25 system organ classifications (SOCs). Nervous system, skin and subcutaneous tissue, and psychiatric disorders are the three most common SOCs for ASMs in children. There were 24 ASMs, whose AEs involved psychiatric disorders, totaling 110 PTs and 214 drug-PT relationships. Psychotic symptoms (notably lorazepam and topiramate, n = 116 and 109), substance dependence and abuse (notably pregabalin and clonazepam, n = 291 and 110), and the other neuropsychiatric symptoms (notably levetiracetam and valproic acid, n = 70 and 62) were the common types of psychiatric disorder-related AEs of ASMs in children. A total of nine ASMs (brivaracetam, clonazepam, diazepam, eslicarbazepine, gabapentin, lamotrigine, lorazepam, perampanel, and tiagabine) were associated with suicidal and self-injurious behavior in children.</p><p><strong>Conclusions: </strong>This study highlights psychiatric AEs of ASMs in children, offering critical insights to improve clinical medication practices and enhance treatment safety. Further research with broader clinical data is needed to promote safe and rational medication use.</p>","PeriodicalId":33628,"journal":{"name":"Acta Epileptologica","volume":"7 1","pages":"31"},"PeriodicalIF":1.2000,"publicationDate":"2025-05-23","publicationTypes":"Journal Article","fieldsOfStudy":null,"isOpenAccess":false,"openAccessPdf":"https://www.ncbi.nlm.nih.gov/pmc/articles/PMC12100784/pdf/","citationCount":"0","resultStr":"{\"title\":\"Psychiatric disorders with antiseizure medications in children: an analysis of the FDA adverse event reporting system database.\",\"authors\":\"Jianxiong Gui, Lingman Wang, Linxue Meng, Xiaofang Zhang, Jiannan Ma, Li Jiang\",\"doi\":\"10.1186/s42494-025-00223-5\",\"DOIUrl\":null,\"url\":null,\"abstract\":\"<p><strong>Background: </strong>Epilepsy is a chronic neurological disorder marked by a persistent tendency to generate seizures, leading to substantial cognitive, behavioral, and psychosocial consequences. This study investigated psychiatric disorder-related adverse events (AEs) associated with antiseizure medications (ASMs) in children using the Food and Drug Administration Adverse Event Reporting System (FAERS) database.</p><p><strong>Methods: </strong>This study conducted a comprehensive analysis of FAERS data from 2004 to 2024, focusing on psychiatric AEs in children with epilepsy or seizures treated with ASMs. Signal values were computed using reporting odds ratio (ROR), proportional reporting ratio (PRR), Bayesian Confidence Propagation Neural Network (BCPNN), and Multi-item Gamma Poisson Shrinker (MGPS).</p><p><strong>Results: </strong>A total of 2539 preferred terms (PTs) were included, involving 25 system organ classifications (SOCs). Nervous system, skin and subcutaneous tissue, and psychiatric disorders are the three most common SOCs for ASMs in children. There were 24 ASMs, whose AEs involved psychiatric disorders, totaling 110 PTs and 214 drug-PT relationships. Psychotic symptoms (notably lorazepam and topiramate, n = 116 and 109), substance dependence and abuse (notably pregabalin and clonazepam, n = 291 and 110), and the other neuropsychiatric symptoms (notably levetiracetam and valproic acid, n = 70 and 62) were the common types of psychiatric disorder-related AEs of ASMs in children. A total of nine ASMs (brivaracetam, clonazepam, diazepam, eslicarbazepine, gabapentin, lamotrigine, lorazepam, perampanel, and tiagabine) were associated with suicidal and self-injurious behavior in children.</p><p><strong>Conclusions: </strong>This study highlights psychiatric AEs of ASMs in children, offering critical insights to improve clinical medication practices and enhance treatment safety. Further research with broader clinical data is needed to promote safe and rational medication use.</p>\",\"PeriodicalId\":33628,\"journal\":{\"name\":\"Acta Epileptologica\",\"volume\":\"7 1\",\"pages\":\"31\"},\"PeriodicalIF\":1.2000,\"publicationDate\":\"2025-05-23\",\"publicationTypes\":\"Journal Article\",\"fieldsOfStudy\":null,\"isOpenAccess\":false,\"openAccessPdf\":\"https://www.ncbi.nlm.nih.gov/pmc/articles/PMC12100784/pdf/\",\"citationCount\":\"0\",\"resultStr\":null,\"platform\":\"Semanticscholar\",\"paperid\":null,\"PeriodicalName\":\"Acta Epileptologica\",\"FirstCategoryId\":\"1085\",\"ListUrlMain\":\"https://doi.org/10.1186/s42494-025-00223-5\",\"RegionNum\":0,\"RegionCategory\":null,\"ArticlePicture\":[],\"TitleCN\":null,\"AbstractTextCN\":null,\"PMCID\":null,\"EPubDate\":\"\",\"PubModel\":\"\",\"JCR\":\"Q4\",\"JCRName\":\"CLINICAL NEUROLOGY\",\"Score\":null,\"Total\":0}","platform":"Semanticscholar","paperid":null,"PeriodicalName":"Acta Epileptologica","FirstCategoryId":"1085","ListUrlMain":"https://doi.org/10.1186/s42494-025-00223-5","RegionNum":0,"RegionCategory":null,"ArticlePicture":[],"TitleCN":null,"AbstractTextCN":null,"PMCID":null,"EPubDate":"","PubModel":"","JCR":"Q4","JCRName":"CLINICAL NEUROLOGY","Score":null,"Total":0}
引用次数: 0

摘要

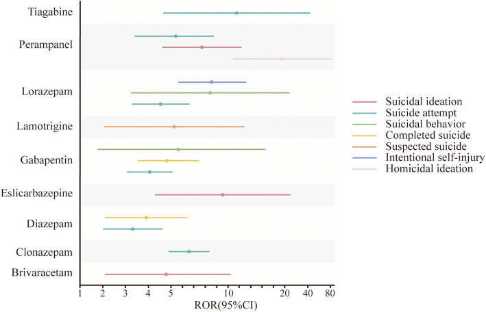
背景:癫痫是一种慢性神经系统疾病,其特征是癫痫发作的持续倾向,导致严重的认知、行为和社会心理后果。本研究使用美国食品和药物管理局不良事件报告系统(FAERS)数据库调查儿童与抗癫痫药物(asm)相关的精神障碍相关不良事件(ae)。方法:本研究对2004 - 2024年的FAERS数据进行综合分析,重点分析癫痫或癫痫发作患儿的精神病学ae。采用报告比值比(ROR)、比例报告比(PRR)、贝叶斯置信传播神经网络(BCPNN)和多项目伽玛泊松收缩器(MGPS)计算信号值。结果:共纳入2539个优选术语(PTs),涉及25个系统器官分类(soc)。神经系统、皮肤和皮下组织以及精神疾病是儿童asm最常见的三种soc。有24例asm,其ae涉及精神障碍,共有110例PTs和214例药物- pt关系。精神症状(主要是劳拉西泮和托吡酯,n = 116和109)、物质依赖和滥用(主要是普瑞巴林和氯硝西泮,n = 291和110)以及其他神经精神症状(主要是左乙拉西坦和丙戊酸,n = 70和62)是儿童精神障碍相关ae的常见类型。共有9种asm(布瓦西坦、氯硝西泮、地西泮、埃斯卡巴西平、加巴喷丁、拉莫三嗪、劳拉西泮、perampanel和替加滨)与儿童自杀和自残行为相关。结论:本研究强调了儿童asm的精神病学不良反应,为改善临床用药实践和提高治疗安全性提供了重要见解。为促进安全合理用药,需要进一步的研究和更广泛的临床数据。
本文章由计算机程序翻译,如有差异,请以英文原文为准。

Psychiatric disorders with antiseizure medications in children: an analysis of the FDA adverse event reporting system database.

Psychiatric disorders with antiseizure medications in children: an analysis of the FDA adverse event reporting system database.

Psychiatric disorders with antiseizure medications in children: an analysis of the FDA adverse event reporting system database.

Psychiatric disorders with antiseizure medications in children: an analysis of the FDA adverse event reporting system database.

Background: Epilepsy is a chronic neurological disorder marked by a persistent tendency to generate seizures, leading to substantial cognitive, behavioral, and psychosocial consequences. This study investigated psychiatric disorder-related adverse events (AEs) associated with antiseizure medications (ASMs) in children using the Food and Drug Administration Adverse Event Reporting System (FAERS) database.

Methods: This study conducted a comprehensive analysis of FAERS data from 2004 to 2024, focusing on psychiatric AEs in children with epilepsy or seizures treated with ASMs. Signal values were computed using reporting odds ratio (ROR), proportional reporting ratio (PRR), Bayesian Confidence Propagation Neural Network (BCPNN), and Multi-item Gamma Poisson Shrinker (MGPS).

Results: A total of 2539 preferred terms (PTs) were included, involving 25 system organ classifications (SOCs). Nervous system, skin and subcutaneous tissue, and psychiatric disorders are the three most common SOCs for ASMs in children. There were 24 ASMs, whose AEs involved psychiatric disorders, totaling 110 PTs and 214 drug-PT relationships. Psychotic symptoms (notably lorazepam and topiramate, n = 116 and 109), substance dependence and abuse (notably pregabalin and clonazepam, n = 291 and 110), and the other neuropsychiatric symptoms (notably levetiracetam and valproic acid, n = 70 and 62) were the common types of psychiatric disorder-related AEs of ASMs in children. A total of nine ASMs (brivaracetam, clonazepam, diazepam, eslicarbazepine, gabapentin, lamotrigine, lorazepam, perampanel, and tiagabine) were associated with suicidal and self-injurious behavior in children.

Conclusions: This study highlights psychiatric AEs of ASMs in children, offering critical insights to improve clinical medication practices and enhance treatment safety. Further research with broader clinical data is needed to promote safe and rational medication use.

求助全文
通过发布文献求助,成功后即可免费获取论文全文。 去求助
来源期刊
Acta Epileptologica
Acta Epileptologica Medicine-Neurology (clinical)
CiteScore
2.00
自引率
0.00%
发文量
38
审稿时长
20 weeks
×
引用
GB/T 7714-2015
复制
MLA
复制
APA
复制
导出至
BibTeX EndNote RefMan NoteFirst NoteExpress
×
提示
您的信息不完整,为了账户安全,请先补充。
现在去补充
×
提示
您因"违规操作"
具体请查看互助需知
我知道了
×
提示
确定
请完成安全验证×
copy
已复制链接
快去分享给好友吧!
我知道了
右上角分享
点击右上角分享
0
联系我们:info@booksci.cn Book学术提供免费学术资源搜索服务,方便国内外学者检索中英文文献。致力于提供最便捷和优质的服务体验。 Copyright © 2023 布克学术 All rights reserved.
京ICP备2023020795号-1
ghs 京公网安备 11010802042870号
Book学术文献互助
Book学术文献互助群
群 号:604180095
Book学术官方微信