青少年1型糖尿病患者早期肝功能障碍标志物与心率变异性降低相关

IF 5.6 3区 医学 Q2 ENDOCRINOLOGY & METABOLISM
Pediatric Diabetes Pub Date : 2025-05-15 eCollection Date: 2025-01-01 DOI:10.1155/pedi/1910554
Vallimayil Velayutham, Paul Z Benitez-Aguirre, Gerald Liew, Alicia J Jenkins, Maria E Craig, Kim C Donaghue
{"title":"青少年1型糖尿病患者早期肝功能障碍标志物与心率变异性降低相关","authors":"Vallimayil Velayutham, Paul Z Benitez-Aguirre, Gerald Liew, Alicia J Jenkins, Maria E Craig, Kim C Donaghue","doi":"10.1155/pedi/1910554","DOIUrl":null,"url":null,"abstract":"<p><p><b>Aim:</b> Data on the impact of metabolic dysfunction-associated fatty liver disease (MAFLD) on diabetes complications in youth with type 1 diabetes are lacking. However, MAFLD is well known to contribute to cardiovascular disease (CVD) in people with type 2 diabetes. We aimed to investigate markers of MAFLD in youth with type 1 diabetes and their relationship with chronic complications. <b>Methods:</b> A prospective study of 102 adolescents (mean age 14.7 ± 1.9 years) with type 1 diabetes underwent repeated annual diabetes complications assessments, including annual measures of liver enzymes. Early cardiac autonomic nerve dysfunction (CAN) was defined as ≥1 abnormality in seven heart rate variability parameters derived from a 10-min resting electrocardiogram. Multivariate generalized estimating equations explored predictors of CAN and other microvascular complications (retinopathy and early kidney dysfunction). <b>Results:</b> After a median follow-up of 3.5 years (IQR 2.7-4.6), there were significant increases in the mean alanine transaminase level (ALT) and systolic blood pressure (SBP) percentiles. Upper ALT and gamma-glutamyl transferase (GGT) tertiles (T3 vs. T1-2: odds ratio [OR], 95% confidence interval [CI], 2.05 [1.20, 3.48], and 2.99 [1.61, 5.58], respectively) predicted CAN development (23%, <i>n</i> = 24) independent of HbA1c and diabetes duration. They were not associated with retinopathy or early kidney dysfunction. <b>Conclusion:</b> Higher ALT and GGT associate with early CAN in adolescents with type 1 diabetes, suggesting hepatic inflammation may compound the impact of the diabetes milieu on systemic endothelial dysfunction.</p>","PeriodicalId":19797,"journal":{"name":"Pediatric Diabetes","volume":"2025 ","pages":"1910554"},"PeriodicalIF":5.6000,"publicationDate":"2025-05-15","publicationTypes":"Journal Article","fieldsOfStudy":null,"isOpenAccess":false,"openAccessPdf":"https://www.ncbi.nlm.nih.gov/pmc/articles/PMC12097865/pdf/","citationCount":"0","resultStr":"{\"title\":\"Markers of Early Liver Dysfunction Associate With Reduced Heart Rate Variability in Adolescents With Type 1 Diabetes.\",\"authors\":\"Vallimayil Velayutham, Paul Z Benitez-Aguirre, Gerald Liew, Alicia J Jenkins, Maria E Craig, Kim C Donaghue\",\"doi\":\"10.1155/pedi/1910554\",\"DOIUrl\":null,\"url\":null,\"abstract\":\"<p><p><b>Aim:</b> Data on the impact of metabolic dysfunction-associated fatty liver disease (MAFLD) on diabetes complications in youth with type 1 diabetes are lacking. However, MAFLD is well known to contribute to cardiovascular disease (CVD) in people with type 2 diabetes. We aimed to investigate markers of MAFLD in youth with type 1 diabetes and their relationship with chronic complications. <b>Methods:</b> A prospective study of 102 adolescents (mean age 14.7 ± 1.9 years) with type 1 diabetes underwent repeated annual diabetes complications assessments, including annual measures of liver enzymes. Early cardiac autonomic nerve dysfunction (CAN) was defined as ≥1 abnormality in seven heart rate variability parameters derived from a 10-min resting electrocardiogram. Multivariate generalized estimating equations explored predictors of CAN and other microvascular complications (retinopathy and early kidney dysfunction). <b>Results:</b> After a median follow-up of 3.5 years (IQR 2.7-4.6), there were significant increases in the mean alanine transaminase level (ALT) and systolic blood pressure (SBP) percentiles. Upper ALT and gamma-glutamyl transferase (GGT) tertiles (T3 vs. T1-2: odds ratio [OR], 95% confidence interval [CI], 2.05 [1.20, 3.48], and 2.99 [1.61, 5.58], respectively) predicted CAN development (23%, <i>n</i> = 24) independent of HbA1c and diabetes duration. They were not associated with retinopathy or early kidney dysfunction. <b>Conclusion:</b> Higher ALT and GGT associate with early CAN in adolescents with type 1 diabetes, suggesting hepatic inflammation may compound the impact of the diabetes milieu on systemic endothelial dysfunction.</p>\",\"PeriodicalId\":19797,\"journal\":{\"name\":\"Pediatric Diabetes\",\"volume\":\"2025 \",\"pages\":\"1910554\"},\"PeriodicalIF\":5.6000,\"publicationDate\":\"2025-05-15\",\"publicationTypes\":\"Journal Article\",\"fieldsOfStudy\":null,\"isOpenAccess\":false,\"openAccessPdf\":\"https://www.ncbi.nlm.nih.gov/pmc/articles/PMC12097865/pdf/\",\"citationCount\":\"0\",\"resultStr\":null,\"platform\":\"Semanticscholar\",\"paperid\":null,\"PeriodicalName\":\"Pediatric Diabetes\",\"FirstCategoryId\":\"3\",\"ListUrlMain\":\"https://doi.org/10.1155/pedi/1910554\",\"RegionNum\":3,\"RegionCategory\":\"医学\",\"ArticlePicture\":[],\"TitleCN\":null,\"AbstractTextCN\":null,\"PMCID\":null,\"EPubDate\":\"2025/1/1 0:00:00\",\"PubModel\":\"eCollection\",\"JCR\":\"Q2\",\"JCRName\":\"ENDOCRINOLOGY & METABOLISM\",\"Score\":null,\"Total\":0}","platform":"Semanticscholar","paperid":null,"PeriodicalName":"Pediatric Diabetes","FirstCategoryId":"3","ListUrlMain":"https://doi.org/10.1155/pedi/1910554","RegionNum":3,"RegionCategory":"医学","ArticlePicture":[],"TitleCN":null,"AbstractTextCN":null,"PMCID":null,"EPubDate":"2025/1/1 0:00:00","PubModel":"eCollection","JCR":"Q2","JCRName":"ENDOCRINOLOGY & METABOLISM","Score":null,"Total":0}
引用次数: 0

摘要

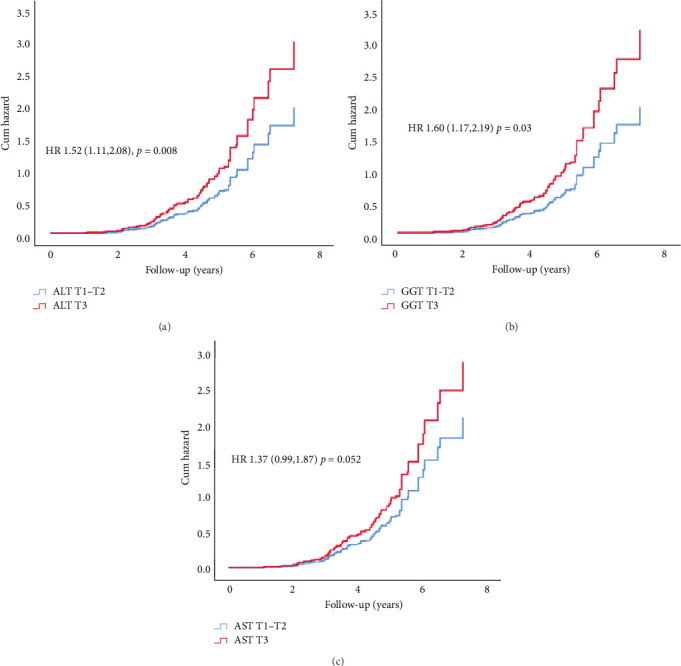
目的:代谢功能障碍相关脂肪性肝病(MAFLD)对青年1型糖尿病患者糖尿病并发症影响的数据缺乏。然而,众所周知,MAFLD会导致2型糖尿病患者的心血管疾病(CVD)。我们的目的是研究青年1型糖尿病患者的MAFLD标志物及其与慢性并发症的关系。方法:对102名1型糖尿病青少年(平均年龄14.7±1.9岁)进行前瞻性研究,每年反复评估糖尿病并发症,包括每年测量肝酶。早期心脏自主神经功能障碍(CAN)定义为10分钟静息心电图得出的7项心率变异性参数异常≥1。多元广义估计方程探讨了CAN和其他微血管并发症(视网膜病变和早期肾功能障碍)的预测因子。结果:中位随访3.5年(IQR 2.7-4.6)后,患者的平均谷丙转氨酶水平(ALT)和收缩压(SBP)均显著升高。高ALT和γ -谷氨酰转移酶(GGT)三分位数(T3 vs T1-2:比值比[OR], 95%可信区间[CI],分别为2.05[1.20,3.48]和2.99[1.61,5.58])预测CAN的发展(23%,n = 24),与HbA1c和糖尿病病程无关。它们与视网膜病变或早期肾功能障碍无关。结论:ALT和GGT升高与1型糖尿病青少年早期CAN相关,提示肝脏炎症可能加重糖尿病环境对全身内皮功能障碍的影响。
本文章由计算机程序翻译,如有差异,请以英文原文为准。

Markers of Early Liver Dysfunction Associate With Reduced Heart Rate Variability in Adolescents With Type 1 Diabetes.

Markers of Early Liver Dysfunction Associate With Reduced Heart Rate Variability in Adolescents With Type 1 Diabetes.

Markers of Early Liver Dysfunction Associate With Reduced Heart Rate Variability in Adolescents With Type 1 Diabetes.

Aim: Data on the impact of metabolic dysfunction-associated fatty liver disease (MAFLD) on diabetes complications in youth with type 1 diabetes are lacking. However, MAFLD is well known to contribute to cardiovascular disease (CVD) in people with type 2 diabetes. We aimed to investigate markers of MAFLD in youth with type 1 diabetes and their relationship with chronic complications. Methods: A prospective study of 102 adolescents (mean age 14.7 ± 1.9 years) with type 1 diabetes underwent repeated annual diabetes complications assessments, including annual measures of liver enzymes. Early cardiac autonomic nerve dysfunction (CAN) was defined as ≥1 abnormality in seven heart rate variability parameters derived from a 10-min resting electrocardiogram. Multivariate generalized estimating equations explored predictors of CAN and other microvascular complications (retinopathy and early kidney dysfunction). Results: After a median follow-up of 3.5 years (IQR 2.7-4.6), there were significant increases in the mean alanine transaminase level (ALT) and systolic blood pressure (SBP) percentiles. Upper ALT and gamma-glutamyl transferase (GGT) tertiles (T3 vs. T1-2: odds ratio [OR], 95% confidence interval [CI], 2.05 [1.20, 3.48], and 2.99 [1.61, 5.58], respectively) predicted CAN development (23%, n = 24) independent of HbA1c and diabetes duration. They were not associated with retinopathy or early kidney dysfunction. Conclusion: Higher ALT and GGT associate with early CAN in adolescents with type 1 diabetes, suggesting hepatic inflammation may compound the impact of the diabetes milieu on systemic endothelial dysfunction.

求助全文
通过发布文献求助,成功后即可免费获取论文全文。 去求助
来源期刊
Pediatric Diabetes
Pediatric Diabetes 医学-内分泌学与代谢
CiteScore
6.60
自引率
14.70%
发文量
141
审稿时长
4-8 weeks
期刊介绍: Pediatric Diabetes is a bi-monthly journal devoted to disseminating new knowledge relating to the epidemiology, etiology, pathogenesis, management, complications and prevention of diabetes in childhood and adolescence. The aim of the journal is to become the leading vehicle for international dissemination of research and practice relating to diabetes in youth. Papers are considered for publication based on the rigor of scientific approach, novelty, and importance for understanding mechanisms involved in the epidemiology and etiology of this disease, especially its molecular, biochemical and physiological aspects. Work relating to the clinical presentation, course, management and outcome of diabetes, including its physical and emotional sequelae, is considered. In vitro studies using animal or human tissues, whole animal and clinical studies in humans are also considered. The journal reviews full-length papers, preliminary communications with important new information, clinical reports, and reviews of major topics. Invited editorials, commentaries, and perspectives are a regular feature. The editors, based in the USA, Europe, and Australasia, maintain regular communications to assure rapid turnaround time of submitted manuscripts.
×
引用
GB/T 7714-2015
复制
MLA
复制
APA
复制
导出至
BibTeX EndNote RefMan NoteFirst NoteExpress
×
提示
您的信息不完整,为了账户安全,请先补充。
现在去补充
×
提示
您因"违规操作"
具体请查看互助需知
我知道了
×
提示
确定
请完成安全验证×
copy
已复制链接
快去分享给好友吧!
我知道了
右上角分享
点击右上角分享
0
联系我们:info@booksci.cn Book学术提供免费学术资源搜索服务,方便国内外学者检索中英文文献。致力于提供最便捷和优质的服务体验。 Copyright © 2023 布克学术 All rights reserved.
京ICP备2023020795号-1
ghs 京公网安备 11010802042870号
Book学术文献互助
Book学术文献互助群
群 号:604180095
Book学术官方微信