一种新的tsRNA标记-tRF-58:76-Tyr-GTA-2-M3作为十二指肠闭锁的潜在生物标志物和治疗靶点。

IF 5.9 2区 医学 Q2 CELL BIOLOGY
Xinyue Meng, Xiaowei Wei, Hui Gu, Wei Ma, Dan Liu, Shanshan Jia, Songying Cao, Dongxue Ding, Yiwen He, Wanqi Huang, Jia Xue, Wenting Luo, Wei Sun, Zhengwei Yuan
{"title":"一种新的tsRNA标记-tRF-58:76-Tyr-GTA-2-M3作为十二指肠闭锁的潜在生物标志物和治疗靶点。","authors":"Xinyue Meng, Xiaowei Wei, Hui Gu, Wei Ma, Dan Liu, Shanshan Jia, Songying Cao, Dongxue Ding, Yiwen He, Wanqi Huang, Jia Xue, Wenting Luo, Wei Sun, Zhengwei Yuan","doi":"10.1007/s10565-025-10040-8","DOIUrl":null,"url":null,"abstract":"<p><p>Duodenal atresia (DA) is a common neonatal digestive tract obstruction, with unclear prenatal diagnostic specificity and optimal intervention timing. tRNA-derived small RNAs (tsRNAs), stable and enriched in blood, are promising biomarkers for disease diagnosis. Therefore, identifying tsRNA biomarkers, elucidating DA pathogenesis, and exploring potential intrauterine interventions is urgently needed. This study conducts tsRNA profiling via sequencing on plasma samples from pregnant women carrying fetuses with DA and matched healthy controls. Validation was performed in 147 pregnant women, including cohorts with fetal gastrointestinal atresia, normal pregnancies, and post-delivery cases. Functional analyses in cellular models and Adriamycin rat models with DA explored the role of key tsRNAs in DA pathogenesis and intrauterine therapy. It is found that tsRNAs, including tRF-61:78-chrM. Leu-TAA, tRF-60:77-Ile-AAT-1-M4, tRF-57:76-Arg-ACG-1-M2, and tRF-58:76-Tyr-GTA-2-M3, were significantly downregulated in DA cases. tRF-58:76-Tyr-GTA-2-M3 is further implicated in DA development, with knockdown inducing excessive apoptosis via upregulation of SUFU and suppression of GLI1, a hedgehog pathway transcription factor. Intraperitoneal microinjection of tRF-58:76-Tyr-GTA-2-M3 agomir in DA rat models reduce apoptosis and mitigates DA formation by modulating SUFU and GLI1 expression. Taken together, this study identifies novel tsRNA biomarkers for DA, with tRF-58:76-Tyr-GTA-2-M3 playing a pivotal role in its pathogenesis. These findings offer insights into DA mechanisms and suggest potential therapeutic targets, advancing strategies for early diagnosis and intervention.</p>","PeriodicalId":9672,"journal":{"name":"Cell Biology and Toxicology","volume":"41 1","pages":"88"},"PeriodicalIF":5.9000,"publicationDate":"2025-05-22","publicationTypes":"Journal Article","fieldsOfStudy":null,"isOpenAccess":false,"openAccessPdf":"https://www.ncbi.nlm.nih.gov/pmc/articles/PMC12095417/pdf/","citationCount":"0","resultStr":"{\"title\":\"A novel tsRNA signature -tRF-58:76-Tyr-GTA-2-M3 as potential biomarker and therapeutic target for duodenal atresia.\",\"authors\":\"Xinyue Meng, Xiaowei Wei, Hui Gu, Wei Ma, Dan Liu, Shanshan Jia, Songying Cao, Dongxue Ding, Yiwen He, Wanqi Huang, Jia Xue, Wenting Luo, Wei Sun, Zhengwei Yuan\",\"doi\":\"10.1007/s10565-025-10040-8\",\"DOIUrl\":null,\"url\":null,\"abstract\":\"<p><p>Duodenal atresia (DA) is a common neonatal digestive tract obstruction, with unclear prenatal diagnostic specificity and optimal intervention timing. tRNA-derived small RNAs (tsRNAs), stable and enriched in blood, are promising biomarkers for disease diagnosis. Therefore, identifying tsRNA biomarkers, elucidating DA pathogenesis, and exploring potential intrauterine interventions is urgently needed. This study conducts tsRNA profiling via sequencing on plasma samples from pregnant women carrying fetuses with DA and matched healthy controls. Validation was performed in 147 pregnant women, including cohorts with fetal gastrointestinal atresia, normal pregnancies, and post-delivery cases. Functional analyses in cellular models and Adriamycin rat models with DA explored the role of key tsRNAs in DA pathogenesis and intrauterine therapy. It is found that tsRNAs, including tRF-61:78-chrM. Leu-TAA, tRF-60:77-Ile-AAT-1-M4, tRF-57:76-Arg-ACG-1-M2, and tRF-58:76-Tyr-GTA-2-M3, were significantly downregulated in DA cases. tRF-58:76-Tyr-GTA-2-M3 is further implicated in DA development, with knockdown inducing excessive apoptosis via upregulation of SUFU and suppression of GLI1, a hedgehog pathway transcription factor. Intraperitoneal microinjection of tRF-58:76-Tyr-GTA-2-M3 agomir in DA rat models reduce apoptosis and mitigates DA formation by modulating SUFU and GLI1 expression. Taken together, this study identifies novel tsRNA biomarkers for DA, with tRF-58:76-Tyr-GTA-2-M3 playing a pivotal role in its pathogenesis. These findings offer insights into DA mechanisms and suggest potential therapeutic targets, advancing strategies for early diagnosis and intervention.</p>\",\"PeriodicalId\":9672,\"journal\":{\"name\":\"Cell Biology and Toxicology\",\"volume\":\"41 1\",\"pages\":\"88\"},\"PeriodicalIF\":5.9000,\"publicationDate\":\"2025-05-22\",\"publicationTypes\":\"Journal Article\",\"fieldsOfStudy\":null,\"isOpenAccess\":false,\"openAccessPdf\":\"https://www.ncbi.nlm.nih.gov/pmc/articles/PMC12095417/pdf/\",\"citationCount\":\"0\",\"resultStr\":null,\"platform\":\"Semanticscholar\",\"paperid\":null,\"PeriodicalName\":\"Cell Biology and Toxicology\",\"FirstCategoryId\":\"3\",\"ListUrlMain\":\"https://doi.org/10.1007/s10565-025-10040-8\",\"RegionNum\":2,\"RegionCategory\":\"医学\",\"ArticlePicture\":[],\"TitleCN\":null,\"AbstractTextCN\":null,\"PMCID\":null,\"EPubDate\":\"\",\"PubModel\":\"\",\"JCR\":\"Q2\",\"JCRName\":\"CELL BIOLOGY\",\"Score\":null,\"Total\":0}","platform":"Semanticscholar","paperid":null,"PeriodicalName":"Cell Biology and Toxicology","FirstCategoryId":"3","ListUrlMain":"https://doi.org/10.1007/s10565-025-10040-8","RegionNum":2,"RegionCategory":"医学","ArticlePicture":[],"TitleCN":null,"AbstractTextCN":null,"PMCID":null,"EPubDate":"","PubModel":"","JCR":"Q2","JCRName":"CELL BIOLOGY","Score":null,"Total":0}
引用次数: 0

摘要

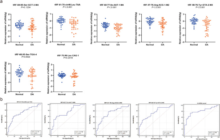
十二指肠闭锁(Duodenal闭锁,DA)是一种常见的新生儿消化道梗阻,其产前诊断特异性和最佳干预时机尚不明确。trna衍生的小rna (tsRNAs)稳定且富集于血液中,是一种有前景的疾病诊断生物标志物。因此,迫切需要鉴定tsRNA生物标志物,阐明DA发病机制,探索潜在的宫内干预措施。本研究通过对携带DA胎儿的孕妇和匹配的健康对照者的血浆样本进行测序,进行tsRNA谱分析。在147名孕妇中进行了验证,包括胎儿胃肠闭锁、正常妊娠和分娩后病例。通过细胞模型和阿霉素大鼠DA模型的功能分析,探讨关键tsrna在DA发病机制和宫内治疗中的作用。结果发现,tsRNAs,包括tRF-61:78-chrM。在DA病例中,Leu-TAA、tRF-60:77-Ile-AAT-1-M4、tRF-57:76-Arg-ACG-1-M2和trf -58:76- tyr1 - gta -2- m3均显著下调。tRF-58:76-Tyr-GTA-2-M3进一步参与DA的发展,其敲低通过上调SUFU和抑制GLI1(一种刺猬通路转录因子)诱导过度凋亡。在DA大鼠模型中腹腔注射tRF-58:76-Tyr-GTA-2-M3 agomir,通过调节SUFU和GLI1的表达,减少细胞凋亡,减缓DA的形成。综上所述,本研究确定了新的DA tsRNA生物标志物,其中trf -58:76- tir - gta -2- m3在其发病机制中起关键作用。这些发现提供了对DA机制的见解,并提出了潜在的治疗靶点,推进了早期诊断和干预策略。
本文章由计算机程序翻译,如有差异,请以英文原文为准。

A novel tsRNA signature -tRF-58:76-Tyr-GTA-2-M3 as potential biomarker and therapeutic target for duodenal atresia.

A novel tsRNA signature -tRF-58:76-Tyr-GTA-2-M3 as potential biomarker and therapeutic target for duodenal atresia.

A novel tsRNA signature -tRF-58:76-Tyr-GTA-2-M3 as potential biomarker and therapeutic target for duodenal atresia.

A novel tsRNA signature -tRF-58:76-Tyr-GTA-2-M3 as potential biomarker and therapeutic target for duodenal atresia.

Duodenal atresia (DA) is a common neonatal digestive tract obstruction, with unclear prenatal diagnostic specificity and optimal intervention timing. tRNA-derived small RNAs (tsRNAs), stable and enriched in blood, are promising biomarkers for disease diagnosis. Therefore, identifying tsRNA biomarkers, elucidating DA pathogenesis, and exploring potential intrauterine interventions is urgently needed. This study conducts tsRNA profiling via sequencing on plasma samples from pregnant women carrying fetuses with DA and matched healthy controls. Validation was performed in 147 pregnant women, including cohorts with fetal gastrointestinal atresia, normal pregnancies, and post-delivery cases. Functional analyses in cellular models and Adriamycin rat models with DA explored the role of key tsRNAs in DA pathogenesis and intrauterine therapy. It is found that tsRNAs, including tRF-61:78-chrM. Leu-TAA, tRF-60:77-Ile-AAT-1-M4, tRF-57:76-Arg-ACG-1-M2, and tRF-58:76-Tyr-GTA-2-M3, were significantly downregulated in DA cases. tRF-58:76-Tyr-GTA-2-M3 is further implicated in DA development, with knockdown inducing excessive apoptosis via upregulation of SUFU and suppression of GLI1, a hedgehog pathway transcription factor. Intraperitoneal microinjection of tRF-58:76-Tyr-GTA-2-M3 agomir in DA rat models reduce apoptosis and mitigates DA formation by modulating SUFU and GLI1 expression. Taken together, this study identifies novel tsRNA biomarkers for DA, with tRF-58:76-Tyr-GTA-2-M3 playing a pivotal role in its pathogenesis. These findings offer insights into DA mechanisms and suggest potential therapeutic targets, advancing strategies for early diagnosis and intervention.

求助全文
通过发布文献求助,成功后即可免费获取论文全文。 去求助
来源期刊
Cell Biology and Toxicology
Cell Biology and Toxicology 生物-毒理学
CiteScore
9.90
自引率
4.90%
发文量
101
审稿时长
>12 weeks
期刊介绍: Cell Biology and Toxicology (CBT) is an international journal focused on clinical and translational research with an emphasis on molecular and cell biology, genetic and epigenetic heterogeneity, drug discovery and development, and molecular pharmacology and toxicology. CBT has a disease-specific scope prioritizing publications on gene and protein-based regulation, intracellular signaling pathway dysfunction, cell type-specific function, and systems in biomedicine in drug discovery and development. CBT publishes original articles with outstanding, innovative and significant findings, important reviews on recent research advances and issues of high current interest, opinion articles of leading edge science, and rapid communication or reports, on molecular mechanisms and therapies in diseases.
×
引用
GB/T 7714-2015
复制
MLA
复制
APA
复制
导出至
BibTeX EndNote RefMan NoteFirst NoteExpress
×
提示
您的信息不完整,为了账户安全,请先补充。
现在去补充
×
提示
您因"违规操作"
具体请查看互助需知
我知道了
×
提示
确定
请完成安全验证×
copy
已复制链接
快去分享给好友吧!
我知道了
右上角分享
点击右上角分享
0
联系我们:info@booksci.cn Book学术提供免费学术资源搜索服务,方便国内外学者检索中英文文献。致力于提供最便捷和优质的服务体验。 Copyright © 2023 布克学术 All rights reserved.
京ICP备2023020795号-1
ghs 京公网安备 11010802042870号
Book学术文献互助
Book学术文献互助群
群 号:604180095
Book学术官方微信