[多环芳烃及其衍生物在人体中的代谢和生物转化研究进展]。

Jian-Kun Qian, Run-Ming He, Ke Fang, Chen-Long Li, Shan Bao, Wen Gu, Song Tang
{"title":"[多环芳烃及其衍生物在人体中的代谢和生物转化研究进展]。","authors":"Jian-Kun Qian, Run-Ming He, Ke Fang, Chen-Long Li, Shan Bao, Wen Gu, Song Tang","doi":"10.3724/SP.J.1123.2024.11030","DOIUrl":null,"url":null,"abstract":"<p><p>Polycyclic aromatic hydrocarbons (PAHs) are organic compounds produced primarily through the incomplete combustion of coal, petroleum, and other carbon-based materials. These compounds are environmentally ubiquitous and have attracted widespread attention because they are significantly biologically toxic and have far-reaching implications for public health and societal wellbeing. Consequently, developing a comprehensive understanding of how PAHs and their derivatives metabolically biotransform in the human body is critical for devising precise preventive strategies and targeted health interventions. PAHs and their derivatives metabolically transform <i>in vivo</i> in a complex process involving a broad variety of enzymes and pathways, and are usually divided into three distinct phases. Phase I encompasses oxidative, reductive, and hydrolytic reactions that are primarily catalyzed by cytochrome P450 (CYP) enzymes. These processes produce intermediates such as monohydroxyls, diols, diol-epoxides, and quinones, some of which (e.g., diol-epoxides) form covalent DNA adducts, thereby contributing to their toxicities. Phase Ⅱ involves conjugation reactions, such as glucuronidation, sulfation, and glutathionylation, which enhance the water solubilities of the metabolites and facilitate their elimination. These detoxified metabolites are actively transported and excreted <i>via</i> bile or urine in phase Ⅲ, which effectively minimizes internal PAH exposure and prevents accumulation. Metabolites generated at various stages of PAH metabolism serve as crucial biomarkers for assessing human exposure levels. For example, urinary monohydroxy PAH metabolites (e.g., 1-hydroxypyrene) have been widely adopted as reliable biomarkers for characterizing PAH exposure. However, owing to their structural diversity, PAHs metabolize via considerably different mechanisms to afford a variety of products, which highlights the need to differentiate individual PAHs and their derivatives in order to precisely assess exposure and evaluate nuanced health risks. Understanding the time-dose-effect relationships of PAH metabolites provides another major PAH-biomonitoring challenge. Investigating these dynamics is essential for revealing the cumulative and long-term health effects associated with exposure to multiple PAHs and their derivatives. Moreover, such studies provide scientific bases for formulating personalized and refined health-protection strategies. For instance, exploring how individual susceptibility, such as genetic polymorphisms in CYP enzymes or conjugation pathways, affects PAH metabolism is expected to significantly improve risk stratification and targeted interventions. PAH exposure is associated with significant health risks because they are associated with a range of diseases, including lung, pancreatic, and gastrointestinal cancers, as well as respiratory and cardiovascular diseases. The pervasive environmental presence of PAHs further complicates exposure scenarios, necessitating the comprehensive monitoring of various populations and environmental contexts. In addition to individual exposure, population-scale studies are expected to inform public health policies and regulatory actions aimed at reducing PAH exposure, particularly in vulnerable populations. This review concisely summarizes the metabolic pathways and product categories associated with four types of PAHs: parent, nitroxylated, oxidized, and alkylated. It emphasizes recent advances in our understanding of parent PAH metabolism in humans, focusing on their implications for exposure characterization, health risk assessment, source tracing, and regulatory decision-making. This paper aims to provide a scientific foundation for the advancement of human biomonitoring efforts and the development of evidence-based public health interventions tailored to reduce the burden of PAH exposure by addressing the complexities of PAH metabolism.</p>","PeriodicalId":101336,"journal":{"name":"Se pu = Chinese journal of chromatography","volume":"43 6","pages":"571-584"},"PeriodicalIF":0.0000,"publicationDate":"2025-06-01","publicationTypes":"Journal Article","fieldsOfStudy":null,"isOpenAccess":false,"openAccessPdf":"https://www.ncbi.nlm.nih.gov/pmc/articles/PMC12093218/pdf/","citationCount":"0","resultStr":"{\"title\":\"[Progress in the metabolic and biotransformation of polycyclic aromatic hydrocarbons and their derivatives in humans].\",\"authors\":\"Jian-Kun Qian, Run-Ming He, Ke Fang, Chen-Long Li, Shan Bao, Wen Gu, Song Tang\",\"doi\":\"10.3724/SP.J.1123.2024.11030\",\"DOIUrl\":null,\"url\":null,\"abstract\":\"<p><p>Polycyclic aromatic hydrocarbons (PAHs) are organic compounds produced primarily through the incomplete combustion of coal, petroleum, and other carbon-based materials. These compounds are environmentally ubiquitous and have attracted widespread attention because they are significantly biologically toxic and have far-reaching implications for public health and societal wellbeing. Consequently, developing a comprehensive understanding of how PAHs and their derivatives metabolically biotransform in the human body is critical for devising precise preventive strategies and targeted health interventions. PAHs and their derivatives metabolically transform <i>in vivo</i> in a complex process involving a broad variety of enzymes and pathways, and are usually divided into three distinct phases. Phase I encompasses oxidative, reductive, and hydrolytic reactions that are primarily catalyzed by cytochrome P450 (CYP) enzymes. These processes produce intermediates such as monohydroxyls, diols, diol-epoxides, and quinones, some of which (e.g., diol-epoxides) form covalent DNA adducts, thereby contributing to their toxicities. Phase Ⅱ involves conjugation reactions, such as glucuronidation, sulfation, and glutathionylation, which enhance the water solubilities of the metabolites and facilitate their elimination. These detoxified metabolites are actively transported and excreted <i>via</i> bile or urine in phase Ⅲ, which effectively minimizes internal PAH exposure and prevents accumulation. Metabolites generated at various stages of PAH metabolism serve as crucial biomarkers for assessing human exposure levels. For example, urinary monohydroxy PAH metabolites (e.g., 1-hydroxypyrene) have been widely adopted as reliable biomarkers for characterizing PAH exposure. However, owing to their structural diversity, PAHs metabolize via considerably different mechanisms to afford a variety of products, which highlights the need to differentiate individual PAHs and their derivatives in order to precisely assess exposure and evaluate nuanced health risks. Understanding the time-dose-effect relationships of PAH metabolites provides another major PAH-biomonitoring challenge. Investigating these dynamics is essential for revealing the cumulative and long-term health effects associated with exposure to multiple PAHs and their derivatives. Moreover, such studies provide scientific bases for formulating personalized and refined health-protection strategies. For instance, exploring how individual susceptibility, such as genetic polymorphisms in CYP enzymes or conjugation pathways, affects PAH metabolism is expected to significantly improve risk stratification and targeted interventions. PAH exposure is associated with significant health risks because they are associated with a range of diseases, including lung, pancreatic, and gastrointestinal cancers, as well as respiratory and cardiovascular diseases. The pervasive environmental presence of PAHs further complicates exposure scenarios, necessitating the comprehensive monitoring of various populations and environmental contexts. In addition to individual exposure, population-scale studies are expected to inform public health policies and regulatory actions aimed at reducing PAH exposure, particularly in vulnerable populations. This review concisely summarizes the metabolic pathways and product categories associated with four types of PAHs: parent, nitroxylated, oxidized, and alkylated. It emphasizes recent advances in our understanding of parent PAH metabolism in humans, focusing on their implications for exposure characterization, health risk assessment, source tracing, and regulatory decision-making. This paper aims to provide a scientific foundation for the advancement of human biomonitoring efforts and the development of evidence-based public health interventions tailored to reduce the burden of PAH exposure by addressing the complexities of PAH metabolism.</p>\",\"PeriodicalId\":101336,\"journal\":{\"name\":\"Se pu = Chinese journal of chromatography\",\"volume\":\"43 6\",\"pages\":\"571-584\"},\"PeriodicalIF\":0.0000,\"publicationDate\":\"2025-06-01\",\"publicationTypes\":\"Journal Article\",\"fieldsOfStudy\":null,\"isOpenAccess\":false,\"openAccessPdf\":\"https://www.ncbi.nlm.nih.gov/pmc/articles/PMC12093218/pdf/\",\"citationCount\":\"0\",\"resultStr\":null,\"platform\":\"Semanticscholar\",\"paperid\":null,\"PeriodicalName\":\"Se pu = Chinese journal of chromatography\",\"FirstCategoryId\":\"1085\",\"ListUrlMain\":\"https://doi.org/10.3724/SP.J.1123.2024.11030\",\"RegionNum\":0,\"RegionCategory\":null,\"ArticlePicture\":[],\"TitleCN\":null,\"AbstractTextCN\":null,\"PMCID\":null,\"EPubDate\":\"\",\"PubModel\":\"\",\"JCR\":\"\",\"JCRName\":\"\",\"Score\":null,\"Total\":0}","platform":"Semanticscholar","paperid":null,"PeriodicalName":"Se pu = Chinese journal of chromatography","FirstCategoryId":"1085","ListUrlMain":"https://doi.org/10.3724/SP.J.1123.2024.11030","RegionNum":0,"RegionCategory":null,"ArticlePicture":[],"TitleCN":null,"AbstractTextCN":null,"PMCID":null,"EPubDate":"","PubModel":"","JCR":"","JCRName":"","Score":null,"Total":0}
引用次数: 0

摘要

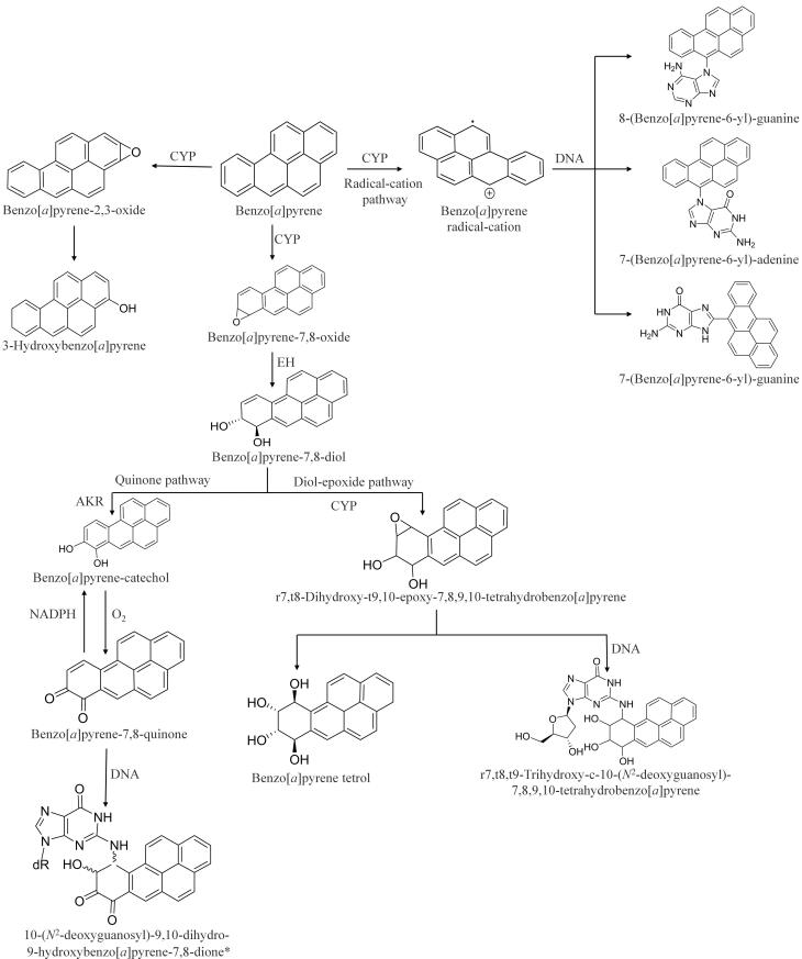
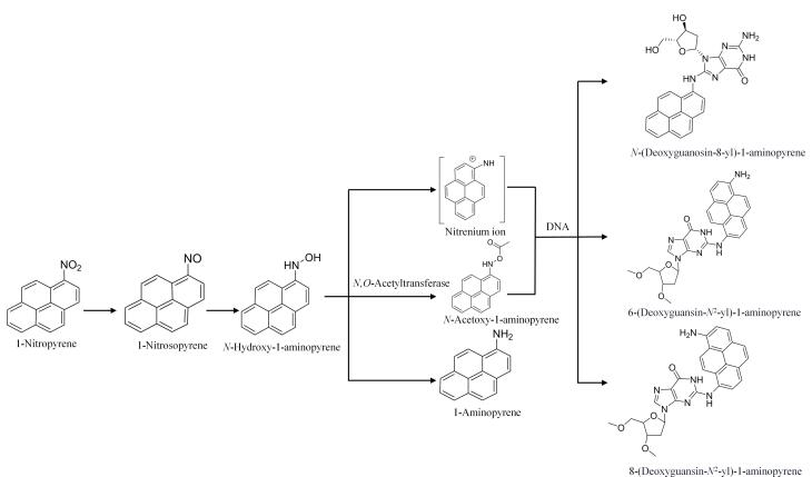
多环芳烃(PAHs)是一种有机化合物,主要通过煤、石油和其他碳基材料的不完全燃烧产生。这些化合物在环境中无处不在,并引起了广泛关注,因为它们具有显著的生物毒性,对公众健康和社会福祉具有深远的影响。因此,全面了解多环芳烃及其衍生物如何在人体内代谢生物转化,对于制定精确的预防策略和有针对性的健康干预措施至关重要。多环芳烃及其衍生物在体内的代谢转化是一个复杂的过程,涉及多种酶和途径,通常分为三个不同的阶段。第一阶段包括氧化、还原和水解反应,主要由细胞色素P450 (CYP)酶催化。这些过程产生中间体,如单羟基、二醇、二醇环氧化物和醌,其中一些(如二醇环氧化物)形成共价DNA加合物,从而增加其毒性。Ⅱ相涉及缀合反应,如葡萄糖醛酸化、磺化和谷胱甘肽化,这些反应增强了代谢物的水溶性并促进了它们的消除。这些解毒代谢物在Ⅲ阶段通过胆汁或尿液主动运输和排泄,有效地减少了内部多环芳烃暴露并防止积累。在多环芳烃代谢的各个阶段产生的代谢物是评估人类暴露水平的重要生物标志物。例如,尿中单羟基多环芳烃代谢物(如1-羟基芘)已被广泛采用为表征多环芳烃暴露的可靠生物标志物。然而,由于其结构多样性,多环芳烃通过相当不同的代谢机制提供各种产品,这突出表明需要区分单个多环芳烃及其衍生物,以便精确评估暴露和评估细微的健康风险。了解多环芳烃代谢物的时间-剂量效应关系是多环芳烃生物监测的另一个主要挑战。研究这些动态对于揭示与接触多种多环芳烃及其衍生物有关的累积和长期健康影响至关重要。此外,这些研究为制定个性化和精细化的健康保护策略提供了科学依据。例如,探索个体易感性(如CYP酶或偶联途径的遗传多态性)如何影响多环芳烃代谢,有望显著改善风险分层和有针对性的干预措施。多环芳烃暴露与重大健康风险相关,因为它们与一系列疾病有关,包括肺癌、胰腺癌和胃肠道癌症,以及呼吸系统和心血管疾病。多环芳烃在环境中的普遍存在使暴露情况进一步复杂化,需要对各种人群和环境背景进行全面监测。除了个人接触外,预计人群规模的研究将为旨在减少多环芳烃接触的公共卫生政策和监管行动提供信息,特别是在脆弱人群中。本文简要综述了母体、硝基化、氧化化和烷基化四种多环芳烃的代谢途径和产物类别。它强调了我们对人类母体多环芳烃代谢的理解的最新进展,重点是它们对暴露特征、健康风险评估、来源追踪和监管决策的影响。本文旨在通过解决多环芳烃代谢的复杂性,为推进人类生物监测工作和开发基于证据的公共卫生干预措施提供科学基础,以减轻多环芳烃暴露的负担。
本文章由计算机程序翻译,如有差异,请以英文原文为准。

[Progress in the metabolic and biotransformation of polycyclic aromatic hydrocarbons and their derivatives in humans].

[Progress in the metabolic and biotransformation of polycyclic aromatic hydrocarbons and their derivatives in humans].

[Progress in the metabolic and biotransformation of polycyclic aromatic hydrocarbons and their derivatives in humans].

[Progress in the metabolic and biotransformation of polycyclic aromatic hydrocarbons and their derivatives in humans].

Polycyclic aromatic hydrocarbons (PAHs) are organic compounds produced primarily through the incomplete combustion of coal, petroleum, and other carbon-based materials. These compounds are environmentally ubiquitous and have attracted widespread attention because they are significantly biologically toxic and have far-reaching implications for public health and societal wellbeing. Consequently, developing a comprehensive understanding of how PAHs and their derivatives metabolically biotransform in the human body is critical for devising precise preventive strategies and targeted health interventions. PAHs and their derivatives metabolically transform in vivo in a complex process involving a broad variety of enzymes and pathways, and are usually divided into three distinct phases. Phase I encompasses oxidative, reductive, and hydrolytic reactions that are primarily catalyzed by cytochrome P450 (CYP) enzymes. These processes produce intermediates such as monohydroxyls, diols, diol-epoxides, and quinones, some of which (e.g., diol-epoxides) form covalent DNA adducts, thereby contributing to their toxicities. Phase Ⅱ involves conjugation reactions, such as glucuronidation, sulfation, and glutathionylation, which enhance the water solubilities of the metabolites and facilitate their elimination. These detoxified metabolites are actively transported and excreted via bile or urine in phase Ⅲ, which effectively minimizes internal PAH exposure and prevents accumulation. Metabolites generated at various stages of PAH metabolism serve as crucial biomarkers for assessing human exposure levels. For example, urinary monohydroxy PAH metabolites (e.g., 1-hydroxypyrene) have been widely adopted as reliable biomarkers for characterizing PAH exposure. However, owing to their structural diversity, PAHs metabolize via considerably different mechanisms to afford a variety of products, which highlights the need to differentiate individual PAHs and their derivatives in order to precisely assess exposure and evaluate nuanced health risks. Understanding the time-dose-effect relationships of PAH metabolites provides another major PAH-biomonitoring challenge. Investigating these dynamics is essential for revealing the cumulative and long-term health effects associated with exposure to multiple PAHs and their derivatives. Moreover, such studies provide scientific bases for formulating personalized and refined health-protection strategies. For instance, exploring how individual susceptibility, such as genetic polymorphisms in CYP enzymes or conjugation pathways, affects PAH metabolism is expected to significantly improve risk stratification and targeted interventions. PAH exposure is associated with significant health risks because they are associated with a range of diseases, including lung, pancreatic, and gastrointestinal cancers, as well as respiratory and cardiovascular diseases. The pervasive environmental presence of PAHs further complicates exposure scenarios, necessitating the comprehensive monitoring of various populations and environmental contexts. In addition to individual exposure, population-scale studies are expected to inform public health policies and regulatory actions aimed at reducing PAH exposure, particularly in vulnerable populations. This review concisely summarizes the metabolic pathways and product categories associated with four types of PAHs: parent, nitroxylated, oxidized, and alkylated. It emphasizes recent advances in our understanding of parent PAH metabolism in humans, focusing on their implications for exposure characterization, health risk assessment, source tracing, and regulatory decision-making. This paper aims to provide a scientific foundation for the advancement of human biomonitoring efforts and the development of evidence-based public health interventions tailored to reduce the burden of PAH exposure by addressing the complexities of PAH metabolism.

求助全文
通过发布文献求助,成功后即可免费获取论文全文。 去求助
来源期刊
自引率
0.00%
发文量
0
×
引用
GB/T 7714-2015
复制
MLA
复制
APA
复制
导出至
BibTeX EndNote RefMan NoteFirst NoteExpress
×
提示
您的信息不完整,为了账户安全,请先补充。
现在去补充
×
提示
您因"违规操作"
具体请查看互助需知
我知道了
×
提示
确定
请完成安全验证×
copy
已复制链接
快去分享给好友吧!
我知道了
右上角分享
点击右上角分享
0
联系我们:info@booksci.cn Book学术提供免费学术资源搜索服务,方便国内外学者检索中英文文献。致力于提供最便捷和优质的服务体验。 Copyright © 2023 布克学术 All rights reserved.
京ICP备2023020795号-1
ghs 京公网安备 11010802042870号
Book学术文献互助
Book学术文献互助群
群 号:604180095
Book学术官方微信