chatgpt -4驱动肝脏超声放射组学分析:与传统技术相比的优缺点

IF 2
JMIR AI Pub Date : 2025-06-30 DOI:10.2196/68144
Laith R Sultan, Shyam Sunder B Venkatakrishna, Sudha A Anupindi, Savvas Andronikou, Michael R Acord, Hansel J Otero, Kassa Darge, Chandra M Sehgal, John H Holmes
{"title":"chatgpt -4驱动肝脏超声放射组学分析:与传统技术相比的优缺点","authors":"Laith R Sultan, Shyam Sunder B Venkatakrishna, Sudha A Anupindi, Savvas Andronikou, Michael R Acord, Hansel J Otero, Kassa Darge, Chandra M Sehgal, John H Holmes","doi":"10.2196/68144","DOIUrl":null,"url":null,"abstract":"<p><strong>Background: </strong>Artificial intelligence (AI) is transforming medical imaging, with large language models such as ChatGPT-4 emerging as potential tools for automated image interpretation. While AI-driven radiomics has shown promise in diagnostic imaging, the efficacy of ChatGPT-4 in liver ultrasound analysis remains largely unexamined.</p><p><strong>Objective: </strong>This study aimed to evaluate the capability of ChatGPT-4 in liver ultrasound radiomics, specifically its ability to differentiate fibrosis, steatosis, and normal liver tissue, compared with conventional image analysis software.</p><p><strong>Methods: </strong>Seventy grayscale ultrasound images from a preclinical liver disease model, including fibrosis (n=31), fatty liver (n=18), and normal liver (n=21), were analyzed. ChatGPT-4 extracted texture features, which were compared with those obtained using interactive data language (IDL), a traditional image analysis software. One-way ANOVA was used to identify statistically significant features differentiating liver conditions, and logistic regression models were used to assess diagnostic performance.</p><p><strong>Results: </strong>ChatGPT-4 extracted 9 key textural features-echo intensity, heterogeneity, skewness, kurtosis, contrast, homogeneity, dissimilarity, angular second momentum, and entropy-all of which significantly differed across liver conditions (P<.05). Among individual features, echo intensity achieved the highest F<sub>1</sub>-score (0.85). When combined, ChatGPT-4 attained 76% accuracy and 83% sensitivity in classifying liver disease. Receiver operating characteristic analysis demonstrated strong discriminatory performance, with area under the curve values of 0.75 for fibrosis, 0.87 for normal liver, and 0.97 for steatosis. Compared with IDL image analysis software, ChatGPT-4 exhibited slightly lower sensitivity (0.83 vs 0.89) but showed moderate correlation (r=0.68, P<.001) with IDL-derived features. However, it significantly outperformed IDL in processing efficiency, reducing analysis time by 40%, and highlighting its potential for high throughput radiomic analysis.</p><p><strong>Conclusions: </strong>Despite slightly lower sensitivity than IDL, ChatGPT-4 demonstrated high feasibility for ultrasound radiomics, offering faster processing, high-throughput analysis, and automated multi-image evaluation. These findings support its potential integration into AI-driven imaging workflows, with further refinements needed to enhance feature reproducibility and diagnostic accuracy.</p>","PeriodicalId":73551,"journal":{"name":"JMIR AI","volume":" ","pages":"e68144"},"PeriodicalIF":2.0000,"publicationDate":"2025-06-30","publicationTypes":"Journal Article","fieldsOfStudy":null,"isOpenAccess":false,"openAccessPdf":"https://www.ncbi.nlm.nih.gov/pmc/articles/PMC12260471/pdf/","citationCount":"0","resultStr":"{\"title\":\"ChatGPT-4-Driven Liver Ultrasound Radiomics Analysis: Diagnostic Value and Drawbacks in a Comparative Study.\",\"authors\":\"Laith R Sultan, Shyam Sunder B Venkatakrishna, Sudha A Anupindi, Savvas Andronikou, Michael R Acord, Hansel J Otero, Kassa Darge, Chandra M Sehgal, John H Holmes\",\"doi\":\"10.2196/68144\",\"DOIUrl\":null,\"url\":null,\"abstract\":\"<p><strong>Background: </strong>Artificial intelligence (AI) is transforming medical imaging, with large language models such as ChatGPT-4 emerging as potential tools for automated image interpretation. While AI-driven radiomics has shown promise in diagnostic imaging, the efficacy of ChatGPT-4 in liver ultrasound analysis remains largely unexamined.</p><p><strong>Objective: </strong>This study aimed to evaluate the capability of ChatGPT-4 in liver ultrasound radiomics, specifically its ability to differentiate fibrosis, steatosis, and normal liver tissue, compared with conventional image analysis software.</p><p><strong>Methods: </strong>Seventy grayscale ultrasound images from a preclinical liver disease model, including fibrosis (n=31), fatty liver (n=18), and normal liver (n=21), were analyzed. ChatGPT-4 extracted texture features, which were compared with those obtained using interactive data language (IDL), a traditional image analysis software. One-way ANOVA was used to identify statistically significant features differentiating liver conditions, and logistic regression models were used to assess diagnostic performance.</p><p><strong>Results: </strong>ChatGPT-4 extracted 9 key textural features-echo intensity, heterogeneity, skewness, kurtosis, contrast, homogeneity, dissimilarity, angular second momentum, and entropy-all of which significantly differed across liver conditions (P<.05). Among individual features, echo intensity achieved the highest F<sub>1</sub>-score (0.85). When combined, ChatGPT-4 attained 76% accuracy and 83% sensitivity in classifying liver disease. Receiver operating characteristic analysis demonstrated strong discriminatory performance, with area under the curve values of 0.75 for fibrosis, 0.87 for normal liver, and 0.97 for steatosis. Compared with IDL image analysis software, ChatGPT-4 exhibited slightly lower sensitivity (0.83 vs 0.89) but showed moderate correlation (r=0.68, P<.001) with IDL-derived features. However, it significantly outperformed IDL in processing efficiency, reducing analysis time by 40%, and highlighting its potential for high throughput radiomic analysis.</p><p><strong>Conclusions: </strong>Despite slightly lower sensitivity than IDL, ChatGPT-4 demonstrated high feasibility for ultrasound radiomics, offering faster processing, high-throughput analysis, and automated multi-image evaluation. These findings support its potential integration into AI-driven imaging workflows, with further refinements needed to enhance feature reproducibility and diagnostic accuracy.</p>\",\"PeriodicalId\":73551,\"journal\":{\"name\":\"JMIR AI\",\"volume\":\" \",\"pages\":\"e68144\"},\"PeriodicalIF\":2.0000,\"publicationDate\":\"2025-06-30\",\"publicationTypes\":\"Journal Article\",\"fieldsOfStudy\":null,\"isOpenAccess\":false,\"openAccessPdf\":\"https://www.ncbi.nlm.nih.gov/pmc/articles/PMC12260471/pdf/\",\"citationCount\":\"0\",\"resultStr\":null,\"platform\":\"Semanticscholar\",\"paperid\":null,\"PeriodicalName\":\"JMIR AI\",\"FirstCategoryId\":\"1085\",\"ListUrlMain\":\"https://doi.org/10.2196/68144\",\"RegionNum\":0,\"RegionCategory\":null,\"ArticlePicture\":[],\"TitleCN\":null,\"AbstractTextCN\":null,\"PMCID\":null,\"EPubDate\":\"\",\"PubModel\":\"\",\"JCR\":\"\",\"JCRName\":\"\",\"Score\":null,\"Total\":0}","platform":"Semanticscholar","paperid":null,"PeriodicalName":"JMIR AI","FirstCategoryId":"1085","ListUrlMain":"https://doi.org/10.2196/68144","RegionNum":0,"RegionCategory":null,"ArticlePicture":[],"TitleCN":null,"AbstractTextCN":null,"PMCID":null,"EPubDate":"","PubModel":"","JCR":"","JCRName":"","Score":null,"Total":0}
引用次数: 0

摘要

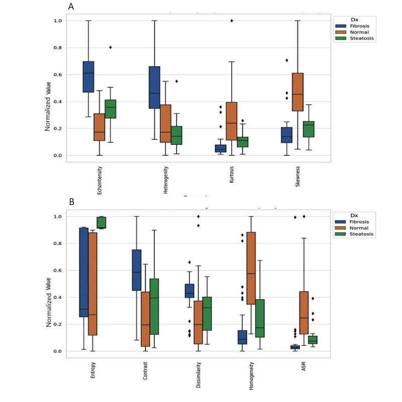
背景:人工智能(AI)正在改变医学成像,ChatGPT-4等大型语言模型正在成为自动图像解释的潜在工具。虽然人工智能驱动的放射组学在诊断成像方面显示出了希望,但ChatGPT-4在肝脏超声分析中的功效在很大程度上仍未得到检验。目的:本研究评估ChatGPT-4在肝脏超声放射组学中的能力,特别是与传统图像分析软件相比,其区分纤维化、脂肪变性和正常肝组织的能力。方法:对临床前肝脏疾病模型的70张灰度超声图像进行分析,包括纤维化(n=31)、脂肪肝(n=18)和正常肝(n=21)。ChatGPT-4提取纹理特征,并与传统图像分析软件IDL (Interactive Data Language)得到的纹理特征进行比较。采用单因素方差分析(One-way ANOVA)来识别区分肝脏状况的统计学显著特征,并采用logistic回归模型来评估诊断性能。结果:ChatGPT-4提取了9个关键纹理特征——回声强度、异质性、偏度、峰度、对比度、均匀性、不相似性、角秒矩和熵——所有这些特征在不同肝脏条件下都有显著差异(p < 0.05)。在个体特征中,回波强度的f1评分最高(0.85)。当联合使用时,ChatGPT-4在分类肝脏疾病方面达到76%的准确率和83%的灵敏度。ROC分析显示出很强的区分性能,纤维化的AUC值为0.75,正常肝脏为0.87,脂肪变性为0.97。与交互式数据语言(IDL)图像分析软件相比,ChatGPT-4的灵敏度略低(0.83 vs. 0.89),但与IDL衍生特征具有中等相关性(R = 0.68, p < 0.0001)。然而,它在处理效率上明显优于IDL,减少了40%的分析时间,突出了其高通量放射性分析的潜力。结论:尽管ChatGPT-4的灵敏度略低于IDL,但它在超声放射组学中具有很高的可行性,可以提供更快的处理速度、高通量分析和自动多图像评估。这些发现支持其与人工智能驱动的成像工作流程的潜在集成,需要进一步改进以提高特征再现性和诊断准确性。临床试验:
本文章由计算机程序翻译,如有差异,请以英文原文为准。

ChatGPT-4-Driven Liver Ultrasound Radiomics Analysis: Diagnostic Value and Drawbacks in a Comparative Study.

ChatGPT-4-Driven Liver Ultrasound Radiomics Analysis: Diagnostic Value and Drawbacks in a Comparative Study.

ChatGPT-4-Driven Liver Ultrasound Radiomics Analysis: Diagnostic Value and Drawbacks in a Comparative Study.

ChatGPT-4-Driven Liver Ultrasound Radiomics Analysis: Diagnostic Value and Drawbacks in a Comparative Study.

Background: Artificial intelligence (AI) is transforming medical imaging, with large language models such as ChatGPT-4 emerging as potential tools for automated image interpretation. While AI-driven radiomics has shown promise in diagnostic imaging, the efficacy of ChatGPT-4 in liver ultrasound analysis remains largely unexamined.

Objective: This study aimed to evaluate the capability of ChatGPT-4 in liver ultrasound radiomics, specifically its ability to differentiate fibrosis, steatosis, and normal liver tissue, compared with conventional image analysis software.

Methods: Seventy grayscale ultrasound images from a preclinical liver disease model, including fibrosis (n=31), fatty liver (n=18), and normal liver (n=21), were analyzed. ChatGPT-4 extracted texture features, which were compared with those obtained using interactive data language (IDL), a traditional image analysis software. One-way ANOVA was used to identify statistically significant features differentiating liver conditions, and logistic regression models were used to assess diagnostic performance.

Results: ChatGPT-4 extracted 9 key textural features-echo intensity, heterogeneity, skewness, kurtosis, contrast, homogeneity, dissimilarity, angular second momentum, and entropy-all of which significantly differed across liver conditions (P<.05). Among individual features, echo intensity achieved the highest F1-score (0.85). When combined, ChatGPT-4 attained 76% accuracy and 83% sensitivity in classifying liver disease. Receiver operating characteristic analysis demonstrated strong discriminatory performance, with area under the curve values of 0.75 for fibrosis, 0.87 for normal liver, and 0.97 for steatosis. Compared with IDL image analysis software, ChatGPT-4 exhibited slightly lower sensitivity (0.83 vs 0.89) but showed moderate correlation (r=0.68, P<.001) with IDL-derived features. However, it significantly outperformed IDL in processing efficiency, reducing analysis time by 40%, and highlighting its potential for high throughput radiomic analysis.

Conclusions: Despite slightly lower sensitivity than IDL, ChatGPT-4 demonstrated high feasibility for ultrasound radiomics, offering faster processing, high-throughput analysis, and automated multi-image evaluation. These findings support its potential integration into AI-driven imaging workflows, with further refinements needed to enhance feature reproducibility and diagnostic accuracy.

求助全文
通过发布文献求助,成功后即可免费获取论文全文。 去求助
来源期刊
自引率
0.00%
发文量
0
×
引用
GB/T 7714-2015
复制
MLA
复制
APA
复制
导出至
BibTeX EndNote RefMan NoteFirst NoteExpress
×
提示
您的信息不完整,为了账户安全,请先补充。
现在去补充
×
提示
您因"违规操作"
具体请查看互助需知
我知道了
×
提示
确定
请完成安全验证×
copy
已复制链接
快去分享给好友吧!
我知道了
右上角分享
点击右上角分享
0
联系我们:info@booksci.cn Book学术提供免费学术资源搜索服务,方便国内外学者检索中英文文献。致力于提供最便捷和优质的服务体验。 Copyright © 2023 布克学术 All rights reserved.
京ICP备2023020795号-1
ghs 京公网安备 11010802042870号
Book学术文献互助
Book学术文献互助群
群 号:604180095
Book学术官方微信