放疗在食管小细胞癌中的作用:一项回顾性研究。

IF 3.3 2区 医学 Q2 ONCOLOGY
Hui Yang, Yan Li, Hong Ge
{"title":"放疗在食管小细胞癌中的作用:一项回顾性研究。","authors":"Hui Yang, Yan Li, Hong Ge","doi":"10.1186/s13014-025-02662-3","DOIUrl":null,"url":null,"abstract":"<p><strong>Background: </strong>Primary small cell carcinoma of the esophagus (SCCE) is an aggressive carcinoma with a rare incidence. Most patients were diagnosed with stage III-IV and have a poor prognosis. The poor therapeutic outcomes of SCCE reveal the need for more rational therapies.</p><p><strong>Methods: </strong>We retrospectively reviewed 15,463 patients with esophageal carcinoma from January 2015 to December 2020. 235 (1.52%) patients were pathologically diagnosed with primary SCCE. Clinical characteristics and treatment information were extracted from medical records. All statistical analyses were performed with the SPSS software. Patients were divided into radiotherapy (RT) group and non-RT group. The chi-square test was conducted to analyze the difference in baseline characteristics and propensity score matching (PSM) was used to balance the patient characteristics. Univariate and multivariate analysis was used to identify independent prognostic factors and calculated the estimated hazard ratio (HR) and 95% confidence interval (CI). The Kaplan-Meier method was used to draw survival curves, calculate the median overall survival (OS), and compare prognosis between groups with the log-rank p test. The two-tailed p value less than 0.05 indicated a significant difference.</p><p><strong>Results: </strong>The median OS was 15.2 months (range:13.4-17.1 months). The addition of RT improved median OS from 14.3 months to 16.5 months, but the difference was not statistically significant (p = 0.657). After PSM, the median OS of the RT group was longer than the non-RT group (16.5 months vs. 11.5 months, p < 0.001). Multivariate analysis identified RT (HR: 0.711, 95%CI: 0.533-0.949, p = 0.020), surgery (HR: 0.490, 95%CI: 0.365-0.660, p < 0.001), and smoking history (HR: 1.335, 95%CI: 1.010-1.765, p = 0.042) as independent prognostic factors. Subgroup analysis showed that RT was not a prognostic factor in patients with surgery (p = 0.450), but could significantly improve OS in patients without surgery (HR: 0.585, 95%CI: 0.415-0.824, p = 0.002). Both middle and lower thoracic SCCE patients could benefit from the addition of RT. RT could improve OS regardless of Ki67 expression level. Subgroup analyses also indicated that stage IV, age ≥ 60, no smoking history, pure SCCE, Syn-positive, CgA-positive, CD56-positive patients could benefit from RT.</p><p><strong>Conclusions: </strong>SCCE patients could benefit from RT, especially those without surgery. Further studies are required for confirmation of the conclusion.</p>","PeriodicalId":49639,"journal":{"name":"Radiation Oncology","volume":"20 1","pages":"79"},"PeriodicalIF":3.3000,"publicationDate":"2025-05-19","publicationTypes":"Journal Article","fieldsOfStudy":null,"isOpenAccess":false,"openAccessPdf":"https://www.ncbi.nlm.nih.gov/pmc/articles/PMC12090477/pdf/","citationCount":"0","resultStr":"{\"title\":\"The role of radiotherapy in small cell carcinoma of the esophagus: a retrospective study.\",\"authors\":\"Hui Yang, Yan Li, Hong Ge\",\"doi\":\"10.1186/s13014-025-02662-3\",\"DOIUrl\":null,\"url\":null,\"abstract\":\"<p><strong>Background: </strong>Primary small cell carcinoma of the esophagus (SCCE) is an aggressive carcinoma with a rare incidence. Most patients were diagnosed with stage III-IV and have a poor prognosis. The poor therapeutic outcomes of SCCE reveal the need for more rational therapies.</p><p><strong>Methods: </strong>We retrospectively reviewed 15,463 patients with esophageal carcinoma from January 2015 to December 2020. 235 (1.52%) patients were pathologically diagnosed with primary SCCE. Clinical characteristics and treatment information were extracted from medical records. All statistical analyses were performed with the SPSS software. Patients were divided into radiotherapy (RT) group and non-RT group. The chi-square test was conducted to analyze the difference in baseline characteristics and propensity score matching (PSM) was used to balance the patient characteristics. Univariate and multivariate analysis was used to identify independent prognostic factors and calculated the estimated hazard ratio (HR) and 95% confidence interval (CI). The Kaplan-Meier method was used to draw survival curves, calculate the median overall survival (OS), and compare prognosis between groups with the log-rank p test. The two-tailed p value less than 0.05 indicated a significant difference.</p><p><strong>Results: </strong>The median OS was 15.2 months (range:13.4-17.1 months). The addition of RT improved median OS from 14.3 months to 16.5 months, but the difference was not statistically significant (p = 0.657). After PSM, the median OS of the RT group was longer than the non-RT group (16.5 months vs. 11.5 months, p < 0.001). Multivariate analysis identified RT (HR: 0.711, 95%CI: 0.533-0.949, p = 0.020), surgery (HR: 0.490, 95%CI: 0.365-0.660, p < 0.001), and smoking history (HR: 1.335, 95%CI: 1.010-1.765, p = 0.042) as independent prognostic factors. Subgroup analysis showed that RT was not a prognostic factor in patients with surgery (p = 0.450), but could significantly improve OS in patients without surgery (HR: 0.585, 95%CI: 0.415-0.824, p = 0.002). Both middle and lower thoracic SCCE patients could benefit from the addition of RT. RT could improve OS regardless of Ki67 expression level. Subgroup analyses also indicated that stage IV, age ≥ 60, no smoking history, pure SCCE, Syn-positive, CgA-positive, CD56-positive patients could benefit from RT.</p><p><strong>Conclusions: </strong>SCCE patients could benefit from RT, especially those without surgery. Further studies are required for confirmation of the conclusion.</p>\",\"PeriodicalId\":49639,\"journal\":{\"name\":\"Radiation Oncology\",\"volume\":\"20 1\",\"pages\":\"79\"},\"PeriodicalIF\":3.3000,\"publicationDate\":\"2025-05-19\",\"publicationTypes\":\"Journal Article\",\"fieldsOfStudy\":null,\"isOpenAccess\":false,\"openAccessPdf\":\"https://www.ncbi.nlm.nih.gov/pmc/articles/PMC12090477/pdf/\",\"citationCount\":\"0\",\"resultStr\":null,\"platform\":\"Semanticscholar\",\"paperid\":null,\"PeriodicalName\":\"Radiation Oncology\",\"FirstCategoryId\":\"3\",\"ListUrlMain\":\"https://doi.org/10.1186/s13014-025-02662-3\",\"RegionNum\":2,\"RegionCategory\":\"医学\",\"ArticlePicture\":[],\"TitleCN\":null,\"AbstractTextCN\":null,\"PMCID\":null,\"EPubDate\":\"\",\"PubModel\":\"\",\"JCR\":\"Q2\",\"JCRName\":\"ONCOLOGY\",\"Score\":null,\"Total\":0}","platform":"Semanticscholar","paperid":null,"PeriodicalName":"Radiation Oncology","FirstCategoryId":"3","ListUrlMain":"https://doi.org/10.1186/s13014-025-02662-3","RegionNum":2,"RegionCategory":"医学","ArticlePicture":[],"TitleCN":null,"AbstractTextCN":null,"PMCID":null,"EPubDate":"","PubModel":"","JCR":"Q2","JCRName":"ONCOLOGY","Score":null,"Total":0}
引用次数: 0

摘要

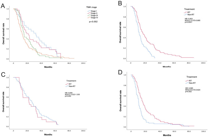
背景:原发性食管小细胞癌(SCCE)是一种罕见的侵袭性癌。大多数患者诊断为III-IV期,预后较差。SCCE较差的治疗效果表明需要更合理的治疗方法。方法:回顾性分析2015年1月至2020年12月15463例食管癌患者。235例(1.52%)患者病理诊断为原发性SCCE。从病历中提取临床特征和治疗信息。所有统计分析均采用SPSS软件进行。将患者分为放疗组和非放疗组。采用卡方检验分析基线特征差异,采用倾向评分匹配(PSM)平衡患者特征。采用单因素和多因素分析确定独立预后因素,并计算估计的危险比(HR)和95%置信区间(CI)。采用Kaplan-Meier法绘制生存曲线,计算中位总生存期(OS),采用log-rank p检验比较组间预后。双尾p值小于0.05表示差异显著。结果:中位OS为15.2个月(范围:13.4-17.1个月)。中位OS由14.3个月改善至16.5个月,但差异无统计学意义(p = 0.657)。PSM后,放疗组的中位生存期比非放疗组长(16.5个月vs 11.5个月),p结论:SCCE患者可以从放疗中获益,特别是那些没有手术的患者。需要进一步的研究来证实这一结论。
本文章由计算机程序翻译,如有差异,请以英文原文为准。

The role of radiotherapy in small cell carcinoma of the esophagus: a retrospective study.

The role of radiotherapy in small cell carcinoma of the esophagus: a retrospective study.

The role of radiotherapy in small cell carcinoma of the esophagus: a retrospective study.

The role of radiotherapy in small cell carcinoma of the esophagus: a retrospective study.

Background: Primary small cell carcinoma of the esophagus (SCCE) is an aggressive carcinoma with a rare incidence. Most patients were diagnosed with stage III-IV and have a poor prognosis. The poor therapeutic outcomes of SCCE reveal the need for more rational therapies.

Methods: We retrospectively reviewed 15,463 patients with esophageal carcinoma from January 2015 to December 2020. 235 (1.52%) patients were pathologically diagnosed with primary SCCE. Clinical characteristics and treatment information were extracted from medical records. All statistical analyses were performed with the SPSS software. Patients were divided into radiotherapy (RT) group and non-RT group. The chi-square test was conducted to analyze the difference in baseline characteristics and propensity score matching (PSM) was used to balance the patient characteristics. Univariate and multivariate analysis was used to identify independent prognostic factors and calculated the estimated hazard ratio (HR) and 95% confidence interval (CI). The Kaplan-Meier method was used to draw survival curves, calculate the median overall survival (OS), and compare prognosis between groups with the log-rank p test. The two-tailed p value less than 0.05 indicated a significant difference.

Results: The median OS was 15.2 months (range:13.4-17.1 months). The addition of RT improved median OS from 14.3 months to 16.5 months, but the difference was not statistically significant (p = 0.657). After PSM, the median OS of the RT group was longer than the non-RT group (16.5 months vs. 11.5 months, p < 0.001). Multivariate analysis identified RT (HR: 0.711, 95%CI: 0.533-0.949, p = 0.020), surgery (HR: 0.490, 95%CI: 0.365-0.660, p < 0.001), and smoking history (HR: 1.335, 95%CI: 1.010-1.765, p = 0.042) as independent prognostic factors. Subgroup analysis showed that RT was not a prognostic factor in patients with surgery (p = 0.450), but could significantly improve OS in patients without surgery (HR: 0.585, 95%CI: 0.415-0.824, p = 0.002). Both middle and lower thoracic SCCE patients could benefit from the addition of RT. RT could improve OS regardless of Ki67 expression level. Subgroup analyses also indicated that stage IV, age ≥ 60, no smoking history, pure SCCE, Syn-positive, CgA-positive, CD56-positive patients could benefit from RT.

Conclusions: SCCE patients could benefit from RT, especially those without surgery. Further studies are required for confirmation of the conclusion.

求助全文
通过发布文献求助,成功后即可免费获取论文全文。 去求助
来源期刊
Radiation Oncology
Radiation Oncology ONCOLOGY-RADIOLOGY, NUCLEAR MEDICINE & MEDICAL IMAGING
CiteScore
6.50
自引率
2.80%
发文量
181
审稿时长
3-6 weeks
期刊介绍: Radiation Oncology encompasses all aspects of research that impacts on the treatment of cancer using radiation. It publishes findings in molecular and cellular radiation biology, radiation physics, radiation technology, and clinical oncology.
×
引用
GB/T 7714-2015
复制
MLA
复制
APA
复制
导出至
BibTeX EndNote RefMan NoteFirst NoteExpress
×
提示
您的信息不完整,为了账户安全,请先补充。
现在去补充
×
提示
您因"违规操作"
具体请查看互助需知
我知道了
×
提示
确定
请完成安全验证×
copy
已复制链接
快去分享给好友吧!
我知道了
右上角分享
点击右上角分享
0
联系我们:info@booksci.cn Book学术提供免费学术资源搜索服务,方便国内外学者检索中英文文献。致力于提供最便捷和优质的服务体验。 Copyright © 2023 布克学术 All rights reserved.
京ICP备2023020795号-1
ghs 京公网安备 11010802042870号
Book学术文献互助
Book学术文献互助群
群 号:604180095
Book学术官方微信