数字减影血管造影中血管狭窄分类的分段任何模型的准确性。

IF 1.5 Q3 CARDIAC & CARDIOVASCULAR SYSTEMS
Vagner Navasardyan, Maria Katz, Lukas Goertz, Vazgen Zohranyan, Hayk Navasardyan, Iram Shahzadi, Jan Robert Kröger, Jan Borggrefe
{"title":"数字减影血管造影中血管狭窄分类的分段任何模型的准确性。","authors":"Vagner Navasardyan, Maria Katz, Lukas Goertz, Vazgen Zohranyan, Hayk Navasardyan, Iram Shahzadi, Jan Robert Kröger, Jan Borggrefe","doi":"10.1186/s42155-025-00560-z","DOIUrl":null,"url":null,"abstract":"<p><strong>Background: </strong>This retrospective study evaluates the diagnostic performance of an optimized comprehensive multi-stage framework based on the Segment Anything Model (SAM), which we named Dr-SAM, for detecting and grading vascular stenosis in the abdominal aorta and iliac arteries using digital subtraction angiography (DSA).</p><p><strong>Materials and methods: </strong>A total of 100 DSA examinations were conducted on 100 patients. The infrarenal abdominal aorta (AAI), common iliac arteries (CIA), and external iliac arteries (EIA) were independently evaluated by two experienced radiologists using a standardized 5-point grading scale. Dr-SAM analyzed the same DSA images, and its assessments were compared with the average stenosis grading provided by the radiologists. Diagnostic accuracy was evaluated using Cohen's kappa, specificity, sensitivity, and Wilcoxon signed-rank tests.</p><p><strong>Results: </strong>Interobserver agreement between radiologists, which established the reference standard, was strong (Cohen's kappa: CIA right = 0.95, CIA left = 0.94, EIA right = 0.98, EIA left = 0.98, AAI = 0.79). Dr-SAM showed high agreement with radiologist consensus for CIA (κ = 0.93 right, 0.91 left), moderate agreement for EIA (κ = 0.79 right, 0.76 left), and fair agreement for AAI (κ = 0.70). Dr-SAM demonstrated excellent specificity (up to 1.0) and robust sensitivity (0.67-0.83). Wilcoxon tests revealed no significant differences between Dr-SAM and radiologist grading (p > 0.05).</p><p><strong>Conclusion: </strong>Dr-SAM proved to be an accurate and efficient tool for vascular assessment, with the potential to streamline diagnostic workflows and reduce variability in stenosis grading. Its ability to deliver rapid and consistent evaluations may contribute to earlier detection of disease and the optimization of treatment strategies. Further studies are needed to confirm these findings in prospective settings and to enhance its capabilities, particularly in the detection of occlusions.</p>","PeriodicalId":52351,"journal":{"name":"CVIR Endovascular","volume":"8 1","pages":"45"},"PeriodicalIF":1.5000,"publicationDate":"2025-05-19","publicationTypes":"Journal Article","fieldsOfStudy":null,"isOpenAccess":false,"openAccessPdf":"https://www.ncbi.nlm.nih.gov/pmc/articles/PMC12089558/pdf/","citationCount":"0","resultStr":"{\"title\":\"Accuracy of segment anything model for classification of vascular stenosis in digital subtraction angiography.\",\"authors\":\"Vagner Navasardyan, Maria Katz, Lukas Goertz, Vazgen Zohranyan, Hayk Navasardyan, Iram Shahzadi, Jan Robert Kröger, Jan Borggrefe\",\"doi\":\"10.1186/s42155-025-00560-z\",\"DOIUrl\":null,\"url\":null,\"abstract\":\"<p><strong>Background: </strong>This retrospective study evaluates the diagnostic performance of an optimized comprehensive multi-stage framework based on the Segment Anything Model (SAM), which we named Dr-SAM, for detecting and grading vascular stenosis in the abdominal aorta and iliac arteries using digital subtraction angiography (DSA).</p><p><strong>Materials and methods: </strong>A total of 100 DSA examinations were conducted on 100 patients. The infrarenal abdominal aorta (AAI), common iliac arteries (CIA), and external iliac arteries (EIA) were independently evaluated by two experienced radiologists using a standardized 5-point grading scale. Dr-SAM analyzed the same DSA images, and its assessments were compared with the average stenosis grading provided by the radiologists. Diagnostic accuracy was evaluated using Cohen's kappa, specificity, sensitivity, and Wilcoxon signed-rank tests.</p><p><strong>Results: </strong>Interobserver agreement between radiologists, which established the reference standard, was strong (Cohen's kappa: CIA right = 0.95, CIA left = 0.94, EIA right = 0.98, EIA left = 0.98, AAI = 0.79). Dr-SAM showed high agreement with radiologist consensus for CIA (κ = 0.93 right, 0.91 left), moderate agreement for EIA (κ = 0.79 right, 0.76 left), and fair agreement for AAI (κ = 0.70). Dr-SAM demonstrated excellent specificity (up to 1.0) and robust sensitivity (0.67-0.83). Wilcoxon tests revealed no significant differences between Dr-SAM and radiologist grading (p > 0.05).</p><p><strong>Conclusion: </strong>Dr-SAM proved to be an accurate and efficient tool for vascular assessment, with the potential to streamline diagnostic workflows and reduce variability in stenosis grading. Its ability to deliver rapid and consistent evaluations may contribute to earlier detection of disease and the optimization of treatment strategies. Further studies are needed to confirm these findings in prospective settings and to enhance its capabilities, particularly in the detection of occlusions.</p>\",\"PeriodicalId\":52351,\"journal\":{\"name\":\"CVIR Endovascular\",\"volume\":\"8 1\",\"pages\":\"45\"},\"PeriodicalIF\":1.5000,\"publicationDate\":\"2025-05-19\",\"publicationTypes\":\"Journal Article\",\"fieldsOfStudy\":null,\"isOpenAccess\":false,\"openAccessPdf\":\"https://www.ncbi.nlm.nih.gov/pmc/articles/PMC12089558/pdf/\",\"citationCount\":\"0\",\"resultStr\":null,\"platform\":\"Semanticscholar\",\"paperid\":null,\"PeriodicalName\":\"CVIR Endovascular\",\"FirstCategoryId\":\"1085\",\"ListUrlMain\":\"https://doi.org/10.1186/s42155-025-00560-z\",\"RegionNum\":0,\"RegionCategory\":null,\"ArticlePicture\":[],\"TitleCN\":null,\"AbstractTextCN\":null,\"PMCID\":null,\"EPubDate\":\"\",\"PubModel\":\"\",\"JCR\":\"Q3\",\"JCRName\":\"CARDIAC & CARDIOVASCULAR SYSTEMS\",\"Score\":null,\"Total\":0}","platform":"Semanticscholar","paperid":null,"PeriodicalName":"CVIR Endovascular","FirstCategoryId":"1085","ListUrlMain":"https://doi.org/10.1186/s42155-025-00560-z","RegionNum":0,"RegionCategory":null,"ArticlePicture":[],"TitleCN":null,"AbstractTextCN":null,"PMCID":null,"EPubDate":"","PubModel":"","JCR":"Q3","JCRName":"CARDIAC & CARDIOVASCULAR SYSTEMS","Score":null,"Total":0}
引用次数: 0

摘要

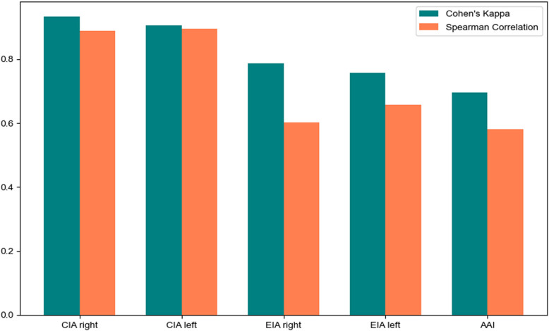
背景:本回顾性研究评估了基于分段任意模型(SAM)的优化综合多阶段框架的诊断性能,我们将其命名为Dr-SAM,用于使用数字减影血管造影(DSA)检测腹主动脉和髂动脉的血管狭窄并进行分级。材料与方法:对100例患者共进行100次DSA检查。肾下腹主动脉(AAI)、髂总动脉(CIA)和髂外动脉(EIA)由两名经验丰富的放射科医生使用标准化的5分分级量表独立评估。Dr-SAM分析了相同的DSA图像,并将其评估与放射科医生提供的平均狭窄分级进行比较。使用Cohen’s kappa、特异性、敏感性和Wilcoxon sign -rank检验评估诊断准确性。结果:制定参考标准的放射科医师间的一致性较强(Cohen’s kappa: CIA右= 0.95,CIA左= 0.94,EIA右= 0.98,EIA左= 0.98,AAI = 0.79)。Dr-SAM对CIA的诊断结果与放射科医师一致(κ =右0.93,左0.91),对EIA的诊断结果与放射科医师一致(κ =右0.79,左0.76),对AAI的诊断结果与放射科医师一致(κ = 0.70)。Dr-SAM表现出良好的特异性(高达1.0)和稳健的敏感性(0.67-0.83)。Wilcoxon试验显示Dr-SAM与放射科医师分级无显著差异(p < 0.05)。结论:Dr-SAM被证明是一种准确有效的血管评估工具,具有简化诊断工作流程和减少狭窄分级变化的潜力。它提供快速和一致的评估的能力可能有助于早期发现疾病和优化治疗策略。需要进一步的研究来证实这些发现,并提高其能力,特别是在检测闭塞。
本文章由计算机程序翻译,如有差异,请以英文原文为准。

Accuracy of segment anything model for classification of vascular stenosis in digital subtraction angiography.

Accuracy of segment anything model for classification of vascular stenosis in digital subtraction angiography.

Accuracy of segment anything model for classification of vascular stenosis in digital subtraction angiography.

Accuracy of segment anything model for classification of vascular stenosis in digital subtraction angiography.

Background: This retrospective study evaluates the diagnostic performance of an optimized comprehensive multi-stage framework based on the Segment Anything Model (SAM), which we named Dr-SAM, for detecting and grading vascular stenosis in the abdominal aorta and iliac arteries using digital subtraction angiography (DSA).

Materials and methods: A total of 100 DSA examinations were conducted on 100 patients. The infrarenal abdominal aorta (AAI), common iliac arteries (CIA), and external iliac arteries (EIA) were independently evaluated by two experienced radiologists using a standardized 5-point grading scale. Dr-SAM analyzed the same DSA images, and its assessments were compared with the average stenosis grading provided by the radiologists. Diagnostic accuracy was evaluated using Cohen's kappa, specificity, sensitivity, and Wilcoxon signed-rank tests.

Results: Interobserver agreement between radiologists, which established the reference standard, was strong (Cohen's kappa: CIA right = 0.95, CIA left = 0.94, EIA right = 0.98, EIA left = 0.98, AAI = 0.79). Dr-SAM showed high agreement with radiologist consensus for CIA (κ = 0.93 right, 0.91 left), moderate agreement for EIA (κ = 0.79 right, 0.76 left), and fair agreement for AAI (κ = 0.70). Dr-SAM demonstrated excellent specificity (up to 1.0) and robust sensitivity (0.67-0.83). Wilcoxon tests revealed no significant differences between Dr-SAM and radiologist grading (p > 0.05).

Conclusion: Dr-SAM proved to be an accurate and efficient tool for vascular assessment, with the potential to streamline diagnostic workflows and reduce variability in stenosis grading. Its ability to deliver rapid and consistent evaluations may contribute to earlier detection of disease and the optimization of treatment strategies. Further studies are needed to confirm these findings in prospective settings and to enhance its capabilities, particularly in the detection of occlusions.

求助全文
通过发布文献求助,成功后即可免费获取论文全文。 去求助
来源期刊
CVIR Endovascular
CVIR Endovascular Medicine-Radiology, Nuclear Medicine and Imaging
CiteScore
2.30
自引率
0.00%
发文量
59
×
引用
GB/T 7714-2015
复制
MLA
复制
APA
复制
导出至
BibTeX EndNote RefMan NoteFirst NoteExpress
×
提示
您的信息不完整,为了账户安全,请先补充。
现在去补充
×
提示
您因"违规操作"
具体请查看互助需知
我知道了
×
提示
确定
请完成安全验证×
copy
已复制链接
快去分享给好友吧!
我知道了
右上角分享
点击右上角分享
0
联系我们:info@booksci.cn Book学术提供免费学术资源搜索服务,方便国内外学者检索中英文文献。致力于提供最便捷和优质的服务体验。 Copyright © 2023 布克学术 All rights reserved.
京ICP备2023020795号-1
ghs 京公网安备 11010802042870号
Book学术文献互助
Book学术文献互助群
群 号:604180095
Book学术官方微信