暴发性心肌炎患者早期死亡风险预后模型的建立和验证。

IF 2.1 3区 医学 Q3 CARDIAC & CARDIOVASCULAR SYSTEMS
Cardiovascular diagnosis and therapy Pub Date : 2025-04-30 Epub Date: 2025-04-23 DOI:10.21037/cdt-2024-583
Jingjing Zhang, Chuanyu Gao, Jing Zhang, Famin Ye, Suping Guo
{"title":"暴发性心肌炎患者早期死亡风险预后模型的建立和验证。","authors":"Jingjing Zhang, Chuanyu Gao, Jing Zhang, Famin Ye, Suping Guo","doi":"10.21037/cdt-2024-583","DOIUrl":null,"url":null,"abstract":"<p><strong>Background: </strong>Fulminant myocarditis (FM) is a severe, rapidly progressing disease with high mortality, and early identification of high-risk patients is crucial for improving outcomes. This study aims to identify factors associated with early mortality in FM and develop a risk prediction model for the early identification of high-risk patients.</p><p><strong>Methods: </strong>A retrospective analysis was conducted using clinical data from 119 patients with FM who were hospitalized at Central China Fuwai Hospital between 2018 and 2023. The patients were divided into a training set (n=83) and a validation set (n=36). Predictive factors were identified through univariate analysis and least absolute shrinkage and selection operator (LASSO) Cox regression, followed by multivariate Cox regression. A nomogram was constructed, and its accuracy was validated using bootstrap and calibration curves. The discriminative ability and clinical utility of the model were assessed using receiver operating characteristic (ROC) curve analysis and decision curve analysis (DCA).</p><p><strong>Results: </strong>Multivariate analysis identified respiratory symptoms, cardiopulmonary resuscitation (CPR), serum creatinine, direct bilirubin, thyroid-stimulating hormone (TSH), lactate, and left ventricular ejection fraction (LVEF) as independent predictors of early mortality. The area under the curve (AUC) for the training set was 0.907 and 0.880 on days 14 and 28, respectively, while the validation set achieved AUCs of 0.853 and 0.942 for the same time points. The overall concordance index (C-index) was 0.889 for the training set and 0.809 for the validation set. Kaplan-Meier analysis demonstrated lower mortality rates in the low-risk group. DCA demonstrated that the model provides a clinical net benefit across a range of probability thresholds, indicating its potential value in clinical decision-making.</p><p><strong>Conclusions: </strong>A predictive model has been developed and validated to identify patients who are at high-risk with FM, based on seven key predictive factors.</p>","PeriodicalId":9592,"journal":{"name":"Cardiovascular diagnosis and therapy","volume":"15 2","pages":"318-335"},"PeriodicalIF":2.1000,"publicationDate":"2025-04-30","publicationTypes":"Journal Article","fieldsOfStudy":null,"isOpenAccess":false,"openAccessPdf":"https://www.ncbi.nlm.nih.gov/pmc/articles/PMC12082243/pdf/","citationCount":"0","resultStr":"{\"title\":\"Development and validation of a prognostic model for early mortality risk in patients with fulminant myocarditis.\",\"authors\":\"Jingjing Zhang, Chuanyu Gao, Jing Zhang, Famin Ye, Suping Guo\",\"doi\":\"10.21037/cdt-2024-583\",\"DOIUrl\":null,\"url\":null,\"abstract\":\"<p><strong>Background: </strong>Fulminant myocarditis (FM) is a severe, rapidly progressing disease with high mortality, and early identification of high-risk patients is crucial for improving outcomes. This study aims to identify factors associated with early mortality in FM and develop a risk prediction model for the early identification of high-risk patients.</p><p><strong>Methods: </strong>A retrospective analysis was conducted using clinical data from 119 patients with FM who were hospitalized at Central China Fuwai Hospital between 2018 and 2023. The patients were divided into a training set (n=83) and a validation set (n=36). Predictive factors were identified through univariate analysis and least absolute shrinkage and selection operator (LASSO) Cox regression, followed by multivariate Cox regression. A nomogram was constructed, and its accuracy was validated using bootstrap and calibration curves. The discriminative ability and clinical utility of the model were assessed using receiver operating characteristic (ROC) curve analysis and decision curve analysis (DCA).</p><p><strong>Results: </strong>Multivariate analysis identified respiratory symptoms, cardiopulmonary resuscitation (CPR), serum creatinine, direct bilirubin, thyroid-stimulating hormone (TSH), lactate, and left ventricular ejection fraction (LVEF) as independent predictors of early mortality. The area under the curve (AUC) for the training set was 0.907 and 0.880 on days 14 and 28, respectively, while the validation set achieved AUCs of 0.853 and 0.942 for the same time points. The overall concordance index (C-index) was 0.889 for the training set and 0.809 for the validation set. Kaplan-Meier analysis demonstrated lower mortality rates in the low-risk group. DCA demonstrated that the model provides a clinical net benefit across a range of probability thresholds, indicating its potential value in clinical decision-making.</p><p><strong>Conclusions: </strong>A predictive model has been developed and validated to identify patients who are at high-risk with FM, based on seven key predictive factors.</p>\",\"PeriodicalId\":9592,\"journal\":{\"name\":\"Cardiovascular diagnosis and therapy\",\"volume\":\"15 2\",\"pages\":\"318-335\"},\"PeriodicalIF\":2.1000,\"publicationDate\":\"2025-04-30\",\"publicationTypes\":\"Journal Article\",\"fieldsOfStudy\":null,\"isOpenAccess\":false,\"openAccessPdf\":\"https://www.ncbi.nlm.nih.gov/pmc/articles/PMC12082243/pdf/\",\"citationCount\":\"0\",\"resultStr\":null,\"platform\":\"Semanticscholar\",\"paperid\":null,\"PeriodicalName\":\"Cardiovascular diagnosis and therapy\",\"FirstCategoryId\":\"3\",\"ListUrlMain\":\"https://doi.org/10.21037/cdt-2024-583\",\"RegionNum\":3,\"RegionCategory\":\"医学\",\"ArticlePicture\":[],\"TitleCN\":null,\"AbstractTextCN\":null,\"PMCID\":null,\"EPubDate\":\"2025/4/23 0:00:00\",\"PubModel\":\"Epub\",\"JCR\":\"Q3\",\"JCRName\":\"CARDIAC & CARDIOVASCULAR SYSTEMS\",\"Score\":null,\"Total\":0}","platform":"Semanticscholar","paperid":null,"PeriodicalName":"Cardiovascular diagnosis and therapy","FirstCategoryId":"3","ListUrlMain":"https://doi.org/10.21037/cdt-2024-583","RegionNum":3,"RegionCategory":"医学","ArticlePicture":[],"TitleCN":null,"AbstractTextCN":null,"PMCID":null,"EPubDate":"2025/4/23 0:00:00","PubModel":"Epub","JCR":"Q3","JCRName":"CARDIAC & CARDIOVASCULAR SYSTEMS","Score":null,"Total":0}
引用次数: 0

摘要

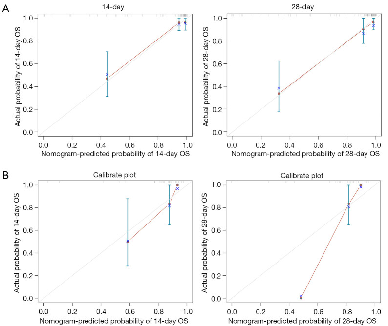
背景:暴发性心肌炎(FM)是一种严重、进展迅速、死亡率高的疾病,早期识别高危患者对改善预后至关重要。本研究旨在确定与FM早期死亡相关的因素,并建立早期识别高危患者的风险预测模型。方法:回顾性分析2018 - 2023年华中阜外医院住院的119例FM患者的临床资料。将患者分为训练组(n=83)和验证组(n=36)。通过单因素分析和最小绝对收缩和选择算子(LASSO) Cox回归确定预测因素,然后进行多因素Cox回归。构造了模态图,并利用自举曲线和标定曲线对其精度进行了验证。采用受试者工作特征(ROC)曲线分析和决策曲线分析(DCA)评估模型的判别能力和临床应用价值。结果:多变量分析确定呼吸道症状、心肺复苏(CPR)、血清肌酐、直接胆红素、促甲状腺激素(TSH)、乳酸和左心室射血分数(LVEF)是早期死亡率的独立预测因子。训练集在第14天和第28天的曲线下面积(AUC)分别为0.907和0.880,而验证集在同一时间点的AUC分别为0.853和0.942。训练集和验证集的总体一致性指数(C-index)分别为0.889和0.809。Kaplan-Meier分析显示低风险组的死亡率较低。DCA表明,该模型在概率阈值范围内提供临床净收益,表明其在临床决策中的潜在价值。结论:基于七个关键预测因素,已经建立并验证了一个预测模型来识别FM高危患者。
本文章由计算机程序翻译,如有差异,请以英文原文为准。

Development and validation of a prognostic model for early mortality risk in patients with fulminant myocarditis.

Development and validation of a prognostic model for early mortality risk in patients with fulminant myocarditis.

Development and validation of a prognostic model for early mortality risk in patients with fulminant myocarditis.

Development and validation of a prognostic model for early mortality risk in patients with fulminant myocarditis.

Background: Fulminant myocarditis (FM) is a severe, rapidly progressing disease with high mortality, and early identification of high-risk patients is crucial for improving outcomes. This study aims to identify factors associated with early mortality in FM and develop a risk prediction model for the early identification of high-risk patients.

Methods: A retrospective analysis was conducted using clinical data from 119 patients with FM who were hospitalized at Central China Fuwai Hospital between 2018 and 2023. The patients were divided into a training set (n=83) and a validation set (n=36). Predictive factors were identified through univariate analysis and least absolute shrinkage and selection operator (LASSO) Cox regression, followed by multivariate Cox regression. A nomogram was constructed, and its accuracy was validated using bootstrap and calibration curves. The discriminative ability and clinical utility of the model were assessed using receiver operating characteristic (ROC) curve analysis and decision curve analysis (DCA).

Results: Multivariate analysis identified respiratory symptoms, cardiopulmonary resuscitation (CPR), serum creatinine, direct bilirubin, thyroid-stimulating hormone (TSH), lactate, and left ventricular ejection fraction (LVEF) as independent predictors of early mortality. The area under the curve (AUC) for the training set was 0.907 and 0.880 on days 14 and 28, respectively, while the validation set achieved AUCs of 0.853 and 0.942 for the same time points. The overall concordance index (C-index) was 0.889 for the training set and 0.809 for the validation set. Kaplan-Meier analysis demonstrated lower mortality rates in the low-risk group. DCA demonstrated that the model provides a clinical net benefit across a range of probability thresholds, indicating its potential value in clinical decision-making.

Conclusions: A predictive model has been developed and validated to identify patients who are at high-risk with FM, based on seven key predictive factors.

求助全文
通过发布文献求助,成功后即可免费获取论文全文。 去求助
来源期刊
Cardiovascular diagnosis and therapy
Cardiovascular diagnosis and therapy Medicine-Cardiology and Cardiovascular Medicine
CiteScore
4.90
自引率
4.20%
发文量
45
期刊介绍: The journal ''Cardiovascular Diagnosis and Therapy'' (Print ISSN: 2223-3652; Online ISSN: 2223-3660) accepts basic and clinical science submissions related to Cardiovascular Medicine and Surgery. The mission of the journal is the rapid exchange of scientific information between clinicians and scientists worldwide. To reach this goal, the journal will focus on novel media, using a web-based, digital format in addition to traditional print-version. This includes on-line submission, review, publication, and distribution. The digital format will also allow submission of extensive supporting visual material, both images and video. The website www.thecdt.org will serve as the central hub and also allow posting of comments and on-line discussion. The web-site of the journal will be linked to a number of international web-sites (e.g. www.dxy.cn), which will significantly expand the distribution of its contents.
×
引用
GB/T 7714-2015
复制
MLA
复制
APA
复制
导出至
BibTeX EndNote RefMan NoteFirst NoteExpress
×
提示
您的信息不完整,为了账户安全,请先补充。
现在去补充
×
提示
您因"违规操作"
具体请查看互助需知
我知道了
×
提示
确定
请完成安全验证×
copy
已复制链接
快去分享给好友吧!
我知道了
右上角分享
点击右上角分享
0
联系我们:info@booksci.cn Book学术提供免费学术资源搜索服务,方便国内外学者检索中英文文献。致力于提供最便捷和优质的服务体验。 Copyright © 2023 布克学术 All rights reserved.
京ICP备2023020795号-1
ghs 京公网安备 11010802042870号
Book学术文献互助
Book学术文献互助群
群 号:604180095
Book学术官方微信