院前有创动脉血压监测对外伤性脑损伤和自发性颅内出血血流动力学治疗的诊断准确性。

IF 3.1 2区 医学 Q1 EMERGENCY MEDICINE
J E Griggs, S Clarke, R Greenhalgh, A N Watts, J Barrett, S Houghton Budd, M Dias, K Hunter, R M Lyon, E Ter Avest
{"title":"院前有创动脉血压监测对外伤性脑损伤和自发性颅内出血血流动力学治疗的诊断准确性。","authors":"J E Griggs, S Clarke, R Greenhalgh, A N Watts, J Barrett, S Houghton Budd, M Dias, K Hunter, R M Lyon, E Ter Avest","doi":"10.1186/s13049-025-01393-4","DOIUrl":null,"url":null,"abstract":"<p><strong>Background: </strong>Neuroprotective measures to prevent secondary brain injury are a critical aspect of pre-hospital management in patients with acute traumatic brain injury (TBI) and spontaneous intracranial haemorrhage (sICH). Haemodynamic optimisation guided by non-invasive blood pressure (NIBP) measurements is an important neuroprotective measure, as cerebral autoregulation is often absent or impaired. The accuracy and clinical relevance of invasive arterial blood pressure (IBP) monitoring to optimise haemodynamic management has not been established in patients with a brain insult.</p><p><strong>Methods: </strong>A retrospective clinical diagnostic accuracy study to establish the accuracy and clinical relevance of IBP-guided haemodynamic optimisation in patients with TBI or sICH. The occurrence- and clinical relevance of IBP-NIBP discrepancies in patients attended by a UK Helicopter Emergency Medical Service (HEMS) between 6 January 2022 and 6 January 2024 was evaluated. Bland-Altman plots with adjustment for repeated measures were constructed to analyse disagreement in relation to absolute blood pressure values. Multivariate analysis was performed using generalised linear mixed effects regression (GLMER) models with random effects to identify predictors of disagreement. Error Grid Analysis (EGA) classified the clinical relevance of discrepancies. The primary outcome was pairwise agreement between IBP and NIBP, defined as less than 10% difference in mean arterial pressure (MAP).</p><p><strong>Results: </strong>For 209 patients (159 TBI and 50 sICH) 1020 concurrent IBP and NIBP measurements were available. The average [95% CI] difference in MAP was -1.4 mmHg (-3.09 to 0.27) and 2.6mmHg in TBI. Only 459 (54.7%) MAP data met criteria for pairwise agreement. Multivariate regression analysis revealed a strong association between MAP disagreement and ground emergency medical service conveyance (aOR 2.01, 95% CI 0.98-4.10). Bland-Altman analysis demonstrated proportional bias, with NIBP underestimation of MAP at higher blood pressures and overestimation at lower blood pressures. EGA revealed that in 6.1% (95% CI: 4.5-7.7) of TBI and 12.5% (95% CI: 7.8-17.2) of patients with sICH pairwise disagreement was associated with a moderate to dangerous risk of over- or undertreatment.</p><p><strong>Conclusion: </strong>NIBP guided pre-hospital haemodynamic management of patients with TBI or sICH is hampered by clinically relevant measurement inaccuracies in a significant proportion of patients. Pre-hospital IBP has the potential to improve early haemodynamic optimisation, especially when hypo- or hypertension is present, enabling tailored neuroprotection in the hyperacute phase.</p>","PeriodicalId":49292,"journal":{"name":"Scandinavian Journal of Trauma Resuscitation & Emergency Medicine","volume":"33 1","pages":"89"},"PeriodicalIF":3.1000,"publicationDate":"2025-05-16","publicationTypes":"Journal Article","fieldsOfStudy":null,"isOpenAccess":false,"openAccessPdf":"https://www.ncbi.nlm.nih.gov/pmc/articles/PMC12082994/pdf/","citationCount":"0","resultStr":"{\"title\":\"Diagnostic accuracy of pre-hospital invasive arterial blood pressure monitoring for haemodynamic management in traumatic brain injury and spontaneous intracranial haemorrhage.\",\"authors\":\"J E Griggs, S Clarke, R Greenhalgh, A N Watts, J Barrett, S Houghton Budd, M Dias, K Hunter, R M Lyon, E Ter Avest\",\"doi\":\"10.1186/s13049-025-01393-4\",\"DOIUrl\":null,\"url\":null,\"abstract\":\"<p><strong>Background: </strong>Neuroprotective measures to prevent secondary brain injury are a critical aspect of pre-hospital management in patients with acute traumatic brain injury (TBI) and spontaneous intracranial haemorrhage (sICH). Haemodynamic optimisation guided by non-invasive blood pressure (NIBP) measurements is an important neuroprotective measure, as cerebral autoregulation is often absent or impaired. The accuracy and clinical relevance of invasive arterial blood pressure (IBP) monitoring to optimise haemodynamic management has not been established in patients with a brain insult.</p><p><strong>Methods: </strong>A retrospective clinical diagnostic accuracy study to establish the accuracy and clinical relevance of IBP-guided haemodynamic optimisation in patients with TBI or sICH. The occurrence- and clinical relevance of IBP-NIBP discrepancies in patients attended by a UK Helicopter Emergency Medical Service (HEMS) between 6 January 2022 and 6 January 2024 was evaluated. Bland-Altman plots with adjustment for repeated measures were constructed to analyse disagreement in relation to absolute blood pressure values. Multivariate analysis was performed using generalised linear mixed effects regression (GLMER) models with random effects to identify predictors of disagreement. Error Grid Analysis (EGA) classified the clinical relevance of discrepancies. The primary outcome was pairwise agreement between IBP and NIBP, defined as less than 10% difference in mean arterial pressure (MAP).</p><p><strong>Results: </strong>For 209 patients (159 TBI and 50 sICH) 1020 concurrent IBP and NIBP measurements were available. The average [95% CI] difference in MAP was -1.4 mmHg (-3.09 to 0.27) and 2.6mmHg in TBI. Only 459 (54.7%) MAP data met criteria for pairwise agreement. Multivariate regression analysis revealed a strong association between MAP disagreement and ground emergency medical service conveyance (aOR 2.01, 95% CI 0.98-4.10). Bland-Altman analysis demonstrated proportional bias, with NIBP underestimation of MAP at higher blood pressures and overestimation at lower blood pressures. EGA revealed that in 6.1% (95% CI: 4.5-7.7) of TBI and 12.5% (95% CI: 7.8-17.2) of patients with sICH pairwise disagreement was associated with a moderate to dangerous risk of over- or undertreatment.</p><p><strong>Conclusion: </strong>NIBP guided pre-hospital haemodynamic management of patients with TBI or sICH is hampered by clinically relevant measurement inaccuracies in a significant proportion of patients. Pre-hospital IBP has the potential to improve early haemodynamic optimisation, especially when hypo- or hypertension is present, enabling tailored neuroprotection in the hyperacute phase.</p>\",\"PeriodicalId\":49292,\"journal\":{\"name\":\"Scandinavian Journal of Trauma Resuscitation & Emergency Medicine\",\"volume\":\"33 1\",\"pages\":\"89\"},\"PeriodicalIF\":3.1000,\"publicationDate\":\"2025-05-16\",\"publicationTypes\":\"Journal Article\",\"fieldsOfStudy\":null,\"isOpenAccess\":false,\"openAccessPdf\":\"https://www.ncbi.nlm.nih.gov/pmc/articles/PMC12082994/pdf/\",\"citationCount\":\"0\",\"resultStr\":null,\"platform\":\"Semanticscholar\",\"paperid\":null,\"PeriodicalName\":\"Scandinavian Journal of Trauma Resuscitation & Emergency Medicine\",\"FirstCategoryId\":\"3\",\"ListUrlMain\":\"https://doi.org/10.1186/s13049-025-01393-4\",\"RegionNum\":2,\"RegionCategory\":\"医学\",\"ArticlePicture\":[],\"TitleCN\":null,\"AbstractTextCN\":null,\"PMCID\":null,\"EPubDate\":\"\",\"PubModel\":\"\",\"JCR\":\"Q1\",\"JCRName\":\"EMERGENCY MEDICINE\",\"Score\":null,\"Total\":0}","platform":"Semanticscholar","paperid":null,"PeriodicalName":"Scandinavian Journal of Trauma Resuscitation & Emergency Medicine","FirstCategoryId":"3","ListUrlMain":"https://doi.org/10.1186/s13049-025-01393-4","RegionNum":2,"RegionCategory":"医学","ArticlePicture":[],"TitleCN":null,"AbstractTextCN":null,"PMCID":null,"EPubDate":"","PubModel":"","JCR":"Q1","JCRName":"EMERGENCY MEDICINE","Score":null,"Total":0}
引用次数: 0

摘要

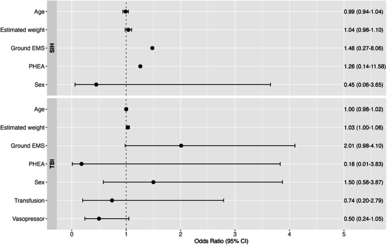
背景:预防继发性脑损伤的神经保护措施是急性创伤性脑损伤(TBI)和自发性颅内出血(sICH)患者院前管理的关键方面。无创血压(NIBP)测量指导下的血流动力学优化是一项重要的神经保护措施,因为大脑自动调节经常缺失或受损。对脑损伤患者进行有创动脉血压(IBP)监测以优化血流动力学管理的准确性和临床相关性尚未建立。方法:回顾性临床诊断准确性研究,以确定ibp引导血流动力学优化在TBI或siich患者中的准确性和临床相关性。评估了英国直升机紧急医疗服务(HEMS)在2022年1月6日至2024年1月6日期间就诊的患者中IBP-NIBP差异的发生率和临床相关性。构建Bland-Altman图,对重复测量进行调整,以分析绝对血压值的差异。使用随机效应的广义线性混合效应回归(GLMER)模型进行多变量分析,以确定不一致的预测因素。误差网格分析(EGA)对临床相关性差异进行分类。主要终点是IBP和NIBP的两两一致,定义为平均动脉压(MAP)差异小于10%。结果:209例患者(159例TBI和50例sICH)可同时进行1020次IBP和NIBP测量。MAP的平均[95% CI]差异为-1.4 mmHg(-3.09至0.27),TBI的平均[95% CI]差异为2.6mmHg。只有459例(54.7%)MAP数据符合成对一致的标准。多因素回归分析显示,MAP不一致与地面紧急医疗服务运送有较强的相关性(aOR 2.01, 95% CI 0.98-4.10)。Bland-Altman分析显示了比例偏倚,NIBP在血压较高时低估MAP,在血压较低时高估MAP。EGA显示,在6.1% (95% CI: 4.5-7.7)的TBI和12.5% (95% CI: 7.8-17.2)的sICH患者中,两两差异与中度至危险的过度或治疗不足风险相关。结论:NIBP引导的TBI或sICH患者院前血流动力学管理受到相当比例患者临床相关测量不准确的阻碍。院前IBP有可能改善早期血流动力学优化,特别是当存在低血压或高血压时,可在超急性期提供量身定制的神经保护。
本文章由计算机程序翻译,如有差异,请以英文原文为准。

Diagnostic accuracy of pre-hospital invasive arterial blood pressure monitoring for haemodynamic management in traumatic brain injury and spontaneous intracranial haemorrhage.

Diagnostic accuracy of pre-hospital invasive arterial blood pressure monitoring for haemodynamic management in traumatic brain injury and spontaneous intracranial haemorrhage.

Diagnostic accuracy of pre-hospital invasive arterial blood pressure monitoring for haemodynamic management in traumatic brain injury and spontaneous intracranial haemorrhage.

Diagnostic accuracy of pre-hospital invasive arterial blood pressure monitoring for haemodynamic management in traumatic brain injury and spontaneous intracranial haemorrhage.

Background: Neuroprotective measures to prevent secondary brain injury are a critical aspect of pre-hospital management in patients with acute traumatic brain injury (TBI) and spontaneous intracranial haemorrhage (sICH). Haemodynamic optimisation guided by non-invasive blood pressure (NIBP) measurements is an important neuroprotective measure, as cerebral autoregulation is often absent or impaired. The accuracy and clinical relevance of invasive arterial blood pressure (IBP) monitoring to optimise haemodynamic management has not been established in patients with a brain insult.

Methods: A retrospective clinical diagnostic accuracy study to establish the accuracy and clinical relevance of IBP-guided haemodynamic optimisation in patients with TBI or sICH. The occurrence- and clinical relevance of IBP-NIBP discrepancies in patients attended by a UK Helicopter Emergency Medical Service (HEMS) between 6 January 2022 and 6 January 2024 was evaluated. Bland-Altman plots with adjustment for repeated measures were constructed to analyse disagreement in relation to absolute blood pressure values. Multivariate analysis was performed using generalised linear mixed effects regression (GLMER) models with random effects to identify predictors of disagreement. Error Grid Analysis (EGA) classified the clinical relevance of discrepancies. The primary outcome was pairwise agreement between IBP and NIBP, defined as less than 10% difference in mean arterial pressure (MAP).

Results: For 209 patients (159 TBI and 50 sICH) 1020 concurrent IBP and NIBP measurements were available. The average [95% CI] difference in MAP was -1.4 mmHg (-3.09 to 0.27) and 2.6mmHg in TBI. Only 459 (54.7%) MAP data met criteria for pairwise agreement. Multivariate regression analysis revealed a strong association between MAP disagreement and ground emergency medical service conveyance (aOR 2.01, 95% CI 0.98-4.10). Bland-Altman analysis demonstrated proportional bias, with NIBP underestimation of MAP at higher blood pressures and overestimation at lower blood pressures. EGA revealed that in 6.1% (95% CI: 4.5-7.7) of TBI and 12.5% (95% CI: 7.8-17.2) of patients with sICH pairwise disagreement was associated with a moderate to dangerous risk of over- or undertreatment.

Conclusion: NIBP guided pre-hospital haemodynamic management of patients with TBI or sICH is hampered by clinically relevant measurement inaccuracies in a significant proportion of patients. Pre-hospital IBP has the potential to improve early haemodynamic optimisation, especially when hypo- or hypertension is present, enabling tailored neuroprotection in the hyperacute phase.

求助全文
通过发布文献求助,成功后即可免费获取论文全文。 去求助
来源期刊
CiteScore
6.10
自引率
6.10%
发文量
57
审稿时长
6-12 weeks
期刊介绍: The primary topics of interest in Scandinavian Journal of Trauma, Resuscitation and Emergency Medicine (SJTREM) are the pre-hospital and early in-hospital diagnostic and therapeutic aspects of emergency medicine, trauma, and resuscitation. Contributions focusing on dispatch, major incidents, etiology, pathophysiology, rehabilitation, epidemiology, prevention, education, training, implementation, work environment, as well as ethical and socio-economic aspects may also be assessed for publication.
×
引用
GB/T 7714-2015
复制
MLA
复制
APA
复制
导出至
BibTeX EndNote RefMan NoteFirst NoteExpress
×
提示
您的信息不完整,为了账户安全,请先补充。
现在去补充
×
提示
您因"违规操作"
具体请查看互助需知
我知道了
×
提示
确定
请完成安全验证×
copy
已复制链接
快去分享给好友吧!
我知道了
右上角分享
点击右上角分享
0
联系我们:info@booksci.cn Book学术提供免费学术资源搜索服务,方便国内外学者检索中英文文献。致力于提供最便捷和优质的服务体验。 Copyright © 2023 布克学术 All rights reserved.
京ICP备2023020795号-1
ghs 京公网安备 11010802042870号
Book学术文献互助
Book学术文献互助群
群 号:604180095
Book学术官方微信