H10高功率密度霍尔推力器。

Journal of electric propulsion Pub Date : 2025-01-01 Epub Date: 2025-05-13 DOI:10.1007/s44205-025-00129-x
Richard R Hofer, Jacob B Simmonds, Dan M Goebel, Joel M Steinkraus, Adele R Payman
{"title":"H10高功率密度霍尔推力器。","authors":"Richard R Hofer, Jacob B Simmonds, Dan M Goebel, Joel M Steinkraus, Adele R Payman","doi":"10.1007/s44205-025-00129-x","DOIUrl":null,"url":null,"abstract":"<p><p>Magnetic shielding technology has extended the operating life of Hall thrusters to timescales enabling them to expand beyond missions in Earth orbit, which typically require less than 10 kh of operation, to deep-space missions requiring 10-30 kh of operation. While this has expanded potential mission capture, the specific impulse of flight Hall thrusters is still less than 2,000 s, which can limit their use on trajectories requiring velocity change greater than 10 km/s. To expand mission capture further, specific impulses greater than 3,000 s are needed over wide power throttling ratios. Towards those ends, JPL has developed a low-mass, 10-kW class, 3,000 s specific impulse Hall thruster that has demonstrated a 2:1 power throttling ratio at 800 V (~ 3,000 s specific impulse), efficiencies greater than 50% over 6:1 power throttling, and a 50:1 power throttling ratio over 0.2-10 kW. Thermal steady-state operation was reached at 15 kW, and a maximum operating power of 20 kW was briefly demonstrated. To achieve this performance requires novel approaches that can operate at power densities significantly exceeding the state-of-the-art. High power density operation is achieved in the H10 Hall thruster with an integrated, conducting wall, magnetically shielded discharge chamber assembly combined with a passive, multi-zone heat rejection system. Testing has demonstrated peak performance at 800 V, 10 kW of 457 mN thrust, 3400 s specific impulse, and an efficiency of 76%. The H10 represents a new class of high-power density Hall thrusters, enabling next generation robotic science and human exploration missions.</p>","PeriodicalId":73724,"journal":{"name":"Journal of electric propulsion","volume":"4 1","pages":"35"},"PeriodicalIF":0.0000,"publicationDate":"2025-01-01","publicationTypes":"Journal Article","fieldsOfStudy":null,"isOpenAccess":false,"openAccessPdf":"https://www.ncbi.nlm.nih.gov/pmc/articles/PMC12075345/pdf/","citationCount":"0","resultStr":"{\"title\":\"The H10 high power density hall thruster.\",\"authors\":\"Richard R Hofer, Jacob B Simmonds, Dan M Goebel, Joel M Steinkraus, Adele R Payman\",\"doi\":\"10.1007/s44205-025-00129-x\",\"DOIUrl\":null,\"url\":null,\"abstract\":\"<p><p>Magnetic shielding technology has extended the operating life of Hall thrusters to timescales enabling them to expand beyond missions in Earth orbit, which typically require less than 10 kh of operation, to deep-space missions requiring 10-30 kh of operation. While this has expanded potential mission capture, the specific impulse of flight Hall thrusters is still less than 2,000 s, which can limit their use on trajectories requiring velocity change greater than 10 km/s. To expand mission capture further, specific impulses greater than 3,000 s are needed over wide power throttling ratios. Towards those ends, JPL has developed a low-mass, 10-kW class, 3,000 s specific impulse Hall thruster that has demonstrated a 2:1 power throttling ratio at 800 V (~ 3,000 s specific impulse), efficiencies greater than 50% over 6:1 power throttling, and a 50:1 power throttling ratio over 0.2-10 kW. Thermal steady-state operation was reached at 15 kW, and a maximum operating power of 20 kW was briefly demonstrated. To achieve this performance requires novel approaches that can operate at power densities significantly exceeding the state-of-the-art. High power density operation is achieved in the H10 Hall thruster with an integrated, conducting wall, magnetically shielded discharge chamber assembly combined with a passive, multi-zone heat rejection system. Testing has demonstrated peak performance at 800 V, 10 kW of 457 mN thrust, 3400 s specific impulse, and an efficiency of 76%. The H10 represents a new class of high-power density Hall thrusters, enabling next generation robotic science and human exploration missions.</p>\",\"PeriodicalId\":73724,\"journal\":{\"name\":\"Journal of electric propulsion\",\"volume\":\"4 1\",\"pages\":\"35\"},\"PeriodicalIF\":0.0000,\"publicationDate\":\"2025-01-01\",\"publicationTypes\":\"Journal Article\",\"fieldsOfStudy\":null,\"isOpenAccess\":false,\"openAccessPdf\":\"https://www.ncbi.nlm.nih.gov/pmc/articles/PMC12075345/pdf/\",\"citationCount\":\"0\",\"resultStr\":null,\"platform\":\"Semanticscholar\",\"paperid\":null,\"PeriodicalName\":\"Journal of electric propulsion\",\"FirstCategoryId\":\"1085\",\"ListUrlMain\":\"https://doi.org/10.1007/s44205-025-00129-x\",\"RegionNum\":0,\"RegionCategory\":null,\"ArticlePicture\":[],\"TitleCN\":null,\"AbstractTextCN\":null,\"PMCID\":null,\"EPubDate\":\"2025/5/13 0:00:00\",\"PubModel\":\"Epub\",\"JCR\":\"\",\"JCRName\":\"\",\"Score\":null,\"Total\":0}","platform":"Semanticscholar","paperid":null,"PeriodicalName":"Journal of electric propulsion","FirstCategoryId":"1085","ListUrlMain":"https://doi.org/10.1007/s44205-025-00129-x","RegionNum":0,"RegionCategory":null,"ArticlePicture":[],"TitleCN":null,"AbstractTextCN":null,"PMCID":null,"EPubDate":"2025/5/13 0:00:00","PubModel":"Epub","JCR":"","JCRName":"","Score":null,"Total":0}
引用次数: 0

摘要

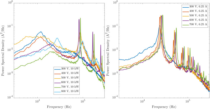
磁屏蔽技术已经将霍尔推进器的使用寿命延长到一定的时间尺度,使它们能够扩展到地球轨道上的任务(通常需要不到10kh的操作)到需要10- 30kh操作的深空任务。虽然这扩大了潜在的任务捕获,但飞行霍尔推进器的比冲仍然小于2000秒,这限制了它们在需要速度变化大于10公里/秒的轨迹上的使用。为了进一步扩大任务捕获,在宽功率节流比下需要大于3000秒的特定脉冲。为了实现这些目标,JPL开发了一种低质量、10千瓦级、3000秒比冲霍尔推进器,该推进器在800 V(~ 3000秒比冲)时具有2:1的功率节流比,在6:1功率节流时效率大于50%,在0.2-10千瓦时具有50:1的功率节流比。热稳态运行功率为15kw,最大运行功率为20kw。要实现这种性能,需要新颖的方法,可以在功率密度大大超过最先进的情况下运行。高功率密度操作是实现在H10霍尔推进器集成,导电壁,磁屏蔽放电室组件相结合的被动,多区散热系统。测试表明,在800 V、10 kW、457 mN推力、3400 s比冲和76%的效率下,其峰值性能达到了峰值。H10代表了一种新型的高功率密度霍尔推进器,使下一代机器人科学和人类探索任务成为可能。
本文章由计算机程序翻译,如有差异,请以英文原文为准。

The H10 high power density hall thruster.

The H10 high power density hall thruster.

The H10 high power density hall thruster.

The H10 high power density hall thruster.

Magnetic shielding technology has extended the operating life of Hall thrusters to timescales enabling them to expand beyond missions in Earth orbit, which typically require less than 10 kh of operation, to deep-space missions requiring 10-30 kh of operation. While this has expanded potential mission capture, the specific impulse of flight Hall thrusters is still less than 2,000 s, which can limit their use on trajectories requiring velocity change greater than 10 km/s. To expand mission capture further, specific impulses greater than 3,000 s are needed over wide power throttling ratios. Towards those ends, JPL has developed a low-mass, 10-kW class, 3,000 s specific impulse Hall thruster that has demonstrated a 2:1 power throttling ratio at 800 V (~ 3,000 s specific impulse), efficiencies greater than 50% over 6:1 power throttling, and a 50:1 power throttling ratio over 0.2-10 kW. Thermal steady-state operation was reached at 15 kW, and a maximum operating power of 20 kW was briefly demonstrated. To achieve this performance requires novel approaches that can operate at power densities significantly exceeding the state-of-the-art. High power density operation is achieved in the H10 Hall thruster with an integrated, conducting wall, magnetically shielded discharge chamber assembly combined with a passive, multi-zone heat rejection system. Testing has demonstrated peak performance at 800 V, 10 kW of 457 mN thrust, 3400 s specific impulse, and an efficiency of 76%. The H10 represents a new class of high-power density Hall thrusters, enabling next generation robotic science and human exploration missions.

求助全文
通过发布文献求助,成功后即可免费获取论文全文。 去求助
来源期刊
自引率
0.00%
发文量
0
×
引用
GB/T 7714-2015
复制
MLA
复制
APA
复制
导出至
BibTeX EndNote RefMan NoteFirst NoteExpress
×
提示
您的信息不完整,为了账户安全,请先补充。
现在去补充
×
提示
您因"违规操作"
具体请查看互助需知
我知道了
×
提示
确定
请完成安全验证×
copy
已复制链接
快去分享给好友吧!
我知道了
右上角分享
点击右上角分享
0
联系我们:info@booksci.cn Book学术提供免费学术资源搜索服务,方便国内外学者检索中英文文献。致力于提供最便捷和优质的服务体验。 Copyright © 2023 布克学术 All rights reserved.
京ICP备2023020795号-1
ghs 京公网安备 11010802042870号
Book学术文献互助
Book学术文献互助群
群 号:604180095
Book学术官方微信