结直肠肿瘤中钙摄入与T细胞浸润的关系

IF 2.6
Evertine Wesselink, Claire E Thomas, Yasutoshi Takashima, Hiroki Mizuno, Daniel D Buchanan, Conghui Qu, Li Hsu, Andressa Dias Costa, Satoko Ugai, Yuxue Zhong, Jeroen R Huyghe, Sushma Thomas, Steven Gallinger, Robert C Grant, Loϊc Le Marchand, Yohei Masugi, Fränzel J B van Duijnhoven, Tomotaka Ugai, Shuji Ogino, Jonathan A Nowak, Ulrike Peters, Amanda I Phipps
{"title":"结直肠肿瘤中钙摄入与T细胞浸润的关系","authors":"Evertine Wesselink, Claire E Thomas, Yasutoshi Takashima, Hiroki Mizuno, Daniel D Buchanan, Conghui Qu, Li Hsu, Andressa Dias Costa, Satoko Ugai, Yuxue Zhong, Jeroen R Huyghe, Sushma Thomas, Steven Gallinger, Robert C Grant, Loϊc Le Marchand, Yohei Masugi, Fränzel J B van Duijnhoven, Tomotaka Ugai, Shuji Ogino, Jonathan A Nowak, Ulrike Peters, Amanda I Phipps","doi":"10.1158/1940-6207.CAPR-25-0023","DOIUrl":null,"url":null,"abstract":"<p><p>Higher T-cell infiltration in colorectal tumors has been associated with better prognosis. Evidence indicates that calcium signaling is essential for T-cell functioning. However, as it is unknown whether calcium intake influences T-cell infiltration, we investigated the association of calcium intake with T-cell subsets in the tumor microenvironment of colorectal cancer. In total, 943 participants from three cohort studies, for which data on tumor-infiltrating T cells and calcium intake were available, were included for these analyses. Immune cell infiltration was quantified by digital image analyses with machine learning algorithms using a customized 9-plex multispectral immunofluorescence assay (CD3, CD4, CD8, CD45RA, CD45RO, FOXP3, KRT, MKI67, and di-(4-amidinophenyl)-1H-indole-6-carboxamidine). Associations between prediagnostic calcium intake and densities of nonoverlapping subsets of epithelial and stromal tissue area T cells were assessed using multivariable binary or ordinal logistic regression analyses. A higher dietary calcium intake was positively associated with CD3+CD4-CD8- double-negative T-cell density in the epithelial (OR, 1.57; 95% confidence interval, 1.13-2.24) and stromal (OR, 1.24; 95% confidence interval, 1.06-1.45) tumor tissue areas. No other statistically significant associations were observed after correcting for multiple testing. In conclusion, dietary calcium intake was associated with a higher density of CD4-CD8- double-negative T cells in the epithelial and stromal tumor tissue areas but not with the infiltration of CD4+ or CD8+ T cells. More research is needed to further unravel the role of calcium in tumor-immune profiles and associations with clinical outcomes. Our findings offer a promising basis for further research.</p><p><strong>Prevention relevance: </strong>Our research contributes to the understanding of how diet could influence immune cell infiltration in and around the tumor. Understanding which factors influence antitumor immune responses is of importance in the prevention of cancer recurrence and/or progression.</p>","PeriodicalId":72514,"journal":{"name":"Cancer prevention research (Philadelphia, Pa.)","volume":" ","pages":"561-571"},"PeriodicalIF":2.6000,"publicationDate":"2025-09-02","publicationTypes":"Journal Article","fieldsOfStudy":null,"isOpenAccess":false,"openAccessPdf":"https://www.ncbi.nlm.nih.gov/pmc/articles/PMC12402789/pdf/","citationCount":"0","resultStr":"{\"title\":\"Associations between Calcium Intake and T-cell Infiltration in Colorectal Tumors.\",\"authors\":\"Evertine Wesselink, Claire E Thomas, Yasutoshi Takashima, Hiroki Mizuno, Daniel D Buchanan, Conghui Qu, Li Hsu, Andressa Dias Costa, Satoko Ugai, Yuxue Zhong, Jeroen R Huyghe, Sushma Thomas, Steven Gallinger, Robert C Grant, Loϊc Le Marchand, Yohei Masugi, Fränzel J B van Duijnhoven, Tomotaka Ugai, Shuji Ogino, Jonathan A Nowak, Ulrike Peters, Amanda I Phipps\",\"doi\":\"10.1158/1940-6207.CAPR-25-0023\",\"DOIUrl\":null,\"url\":null,\"abstract\":\"<p><p>Higher T-cell infiltration in colorectal tumors has been associated with better prognosis. Evidence indicates that calcium signaling is essential for T-cell functioning. However, as it is unknown whether calcium intake influences T-cell infiltration, we investigated the association of calcium intake with T-cell subsets in the tumor microenvironment of colorectal cancer. In total, 943 participants from three cohort studies, for which data on tumor-infiltrating T cells and calcium intake were available, were included for these analyses. Immune cell infiltration was quantified by digital image analyses with machine learning algorithms using a customized 9-plex multispectral immunofluorescence assay (CD3, CD4, CD8, CD45RA, CD45RO, FOXP3, KRT, MKI67, and di-(4-amidinophenyl)-1H-indole-6-carboxamidine). Associations between prediagnostic calcium intake and densities of nonoverlapping subsets of epithelial and stromal tissue area T cells were assessed using multivariable binary or ordinal logistic regression analyses. A higher dietary calcium intake was positively associated with CD3+CD4-CD8- double-negative T-cell density in the epithelial (OR, 1.57; 95% confidence interval, 1.13-2.24) and stromal (OR, 1.24; 95% confidence interval, 1.06-1.45) tumor tissue areas. No other statistically significant associations were observed after correcting for multiple testing. In conclusion, dietary calcium intake was associated with a higher density of CD4-CD8- double-negative T cells in the epithelial and stromal tumor tissue areas but not with the infiltration of CD4+ or CD8+ T cells. More research is needed to further unravel the role of calcium in tumor-immune profiles and associations with clinical outcomes. Our findings offer a promising basis for further research.</p><p><strong>Prevention relevance: </strong>Our research contributes to the understanding of how diet could influence immune cell infiltration in and around the tumor. Understanding which factors influence antitumor immune responses is of importance in the prevention of cancer recurrence and/or progression.</p>\",\"PeriodicalId\":72514,\"journal\":{\"name\":\"Cancer prevention research (Philadelphia, Pa.)\",\"volume\":\" \",\"pages\":\"561-571\"},\"PeriodicalIF\":2.6000,\"publicationDate\":\"2025-09-02\",\"publicationTypes\":\"Journal Article\",\"fieldsOfStudy\":null,\"isOpenAccess\":false,\"openAccessPdf\":\"https://www.ncbi.nlm.nih.gov/pmc/articles/PMC12402789/pdf/\",\"citationCount\":\"0\",\"resultStr\":null,\"platform\":\"Semanticscholar\",\"paperid\":null,\"PeriodicalName\":\"Cancer prevention research (Philadelphia, Pa.)\",\"FirstCategoryId\":\"1085\",\"ListUrlMain\":\"https://doi.org/10.1158/1940-6207.CAPR-25-0023\",\"RegionNum\":0,\"RegionCategory\":null,\"ArticlePicture\":[],\"TitleCN\":null,\"AbstractTextCN\":null,\"PMCID\":null,\"EPubDate\":\"\",\"PubModel\":\"\",\"JCR\":\"\",\"JCRName\":\"\",\"Score\":null,\"Total\":0}","platform":"Semanticscholar","paperid":null,"PeriodicalName":"Cancer prevention research (Philadelphia, Pa.)","FirstCategoryId":"1085","ListUrlMain":"https://doi.org/10.1158/1940-6207.CAPR-25-0023","RegionNum":0,"RegionCategory":null,"ArticlePicture":[],"TitleCN":null,"AbstractTextCN":null,"PMCID":null,"EPubDate":"","PubModel":"","JCR":"","JCRName":"","Score":null,"Total":0}
引用次数: 0

摘要

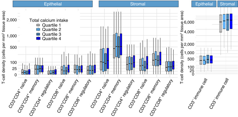
结直肠肿瘤中较高的T细胞浸润与较好的预后相关。有证据表明钙信号对T细胞的功能至关重要。然而,由于钙摄入是否影响T细胞浸润尚不清楚,我们研究了钙摄入与结直肠癌肿瘤微环境中T细胞亚群的关系。这些分析总共纳入了来自三个队列研究的943名参与者,这些研究有肿瘤浸润性T细胞和钙摄入量的数据。采用定制的9路多光谱免疫荧光法(CD3、CD4、CD8、CD45RA、CD45RO、FOXP3、KRT、MKI67、DAPI),通过数字图像分析和机器学习算法定量免疫细胞浸润。使用多变量二元或有序logistic回归分析评估诊断前钙摄入量与上皮和间质组织区域T细胞非重叠亚群密度之间的关系。较高的膳食钙摄入量与上皮细胞中CD3+CD4-CD8-双阴性T细胞密度呈正相关(OR 1.57;95% CI 1.13-2.24)和基质(OR 1.24;95%CI 1.06-1.45)肿瘤组织面积。经多重检验校正后,未观察到其他统计学上显著的关联。综上所述,膳食钙摄入与上皮和间质肿瘤组织区域CD4-CD8-双阴性T细胞密度升高有关,但与CD4+或CD8+ T细胞浸润无关。需要更多的研究来进一步阐明钙在肿瘤免疫谱中的作用及其与临床结果的关联。我们的发现为进一步的研究提供了有希望的基础。
本文章由计算机程序翻译,如有差异,请以英文原文为准。

Associations between Calcium Intake and T-cell Infiltration in Colorectal Tumors.

Associations between Calcium Intake and T-cell Infiltration in Colorectal Tumors.

Associations between Calcium Intake and T-cell Infiltration in Colorectal Tumors.

Higher T-cell infiltration in colorectal tumors has been associated with better prognosis. Evidence indicates that calcium signaling is essential for T-cell functioning. However, as it is unknown whether calcium intake influences T-cell infiltration, we investigated the association of calcium intake with T-cell subsets in the tumor microenvironment of colorectal cancer. In total, 943 participants from three cohort studies, for which data on tumor-infiltrating T cells and calcium intake were available, were included for these analyses. Immune cell infiltration was quantified by digital image analyses with machine learning algorithms using a customized 9-plex multispectral immunofluorescence assay (CD3, CD4, CD8, CD45RA, CD45RO, FOXP3, KRT, MKI67, and di-(4-amidinophenyl)-1H-indole-6-carboxamidine). Associations between prediagnostic calcium intake and densities of nonoverlapping subsets of epithelial and stromal tissue area T cells were assessed using multivariable binary or ordinal logistic regression analyses. A higher dietary calcium intake was positively associated with CD3+CD4-CD8- double-negative T-cell density in the epithelial (OR, 1.57; 95% confidence interval, 1.13-2.24) and stromal (OR, 1.24; 95% confidence interval, 1.06-1.45) tumor tissue areas. No other statistically significant associations were observed after correcting for multiple testing. In conclusion, dietary calcium intake was associated with a higher density of CD4-CD8- double-negative T cells in the epithelial and stromal tumor tissue areas but not with the infiltration of CD4+ or CD8+ T cells. More research is needed to further unravel the role of calcium in tumor-immune profiles and associations with clinical outcomes. Our findings offer a promising basis for further research.

Prevention relevance: Our research contributes to the understanding of how diet could influence immune cell infiltration in and around the tumor. Understanding which factors influence antitumor immune responses is of importance in the prevention of cancer recurrence and/or progression.

求助全文
通过发布文献求助,成功后即可免费获取论文全文。 去求助
来源期刊
自引率
0.00%
发文量
0
×
引用
GB/T 7714-2015
复制
MLA
复制
APA
复制
导出至
BibTeX EndNote RefMan NoteFirst NoteExpress
×
提示
您的信息不完整,为了账户安全,请先补充。
现在去补充
×
提示
您因"违规操作"
具体请查看互助需知
我知道了
×
提示
确定
请完成安全验证×
copy
已复制链接
快去分享给好友吧!
我知道了
右上角分享
点击右上角分享
0
联系我们:info@booksci.cn Book学术提供免费学术资源搜索服务,方便国内外学者检索中英文文献。致力于提供最便捷和优质的服务体验。 Copyright © 2023 布克学术 All rights reserved.
京ICP备2023020795号-1
ghs 京公网安备 11010802042870号
Book学术文献互助
Book学术文献互助群
群 号:604180095
Book学术官方微信