【急性冠脉综合征对老年人生活自理的不利影响】。

Paul Coello, Inti Chaves, Paul Pacheco, Fabricio Alverca, Cristian M Garmendia
{"title":"【急性冠脉综合征对老年人生活自理的不利影响】。","authors":"Paul Coello, Inti Chaves, Paul Pacheco, Fabricio Alverca, Cristian M Garmendia","doi":"10.47487/apcyccv.v6i1.454","DOIUrl":null,"url":null,"abstract":"<p><strong>Objectives: </strong>To evaluate the prognostic role of functional status in older adults hospitalized for acute coronary syndrome (ACS) and the implications of the coronary event on functional decline during follow-up.</p><p><strong>Materials and methods: </strong>This was a single-center, prospective cohort study including patients aged ≥65 years hospitalized for ACS with (STEMI) or without ST-segment elevation in 2022. Patients with total dependence or lacking a care network were excluded. Functional status was assessed using the Barthel Index and the Lawton and Brody scales at admission, 30 days, and one year post-discharge. The association between initial functional status and major adverse cardiovascular events (MACE) was analyzed, as well as the impact of ACS on functional status over the short and long term.</p><p><strong>Results: </strong>A total of 110 patients older than 65 years were included (mean age 78.8±4.6 years; 61.8% male). At admission, 94.3% presented mild functional dependence according to the Barthel Index, with similar findings on the Lawton and Brody scales. At 30 days, a significant functional decline was observed (Barthel: 71.2±11.3, p<0.001; Lawton: 4.8±2.5, p=0.02), which persisted at one year. Initial functional status was not associated with MACE. ST-segment elevation ACS (STEMI) was an independent predictor of short-term functional decline (adjusted OR 1.75; p=0.04).</p><p><strong>Conclusions: </strong>In older adults with ACS, initial functional status did not predict adverse events; however, significant functional decline was observed, particularly after STEMI. This underscores the importance of personalized strategies for managing this vulnerable population.</p>","PeriodicalId":72295,"journal":{"name":"Archivos Peruanos de cardiologia y cirugia cardiovascular","volume":"6 1","pages":"11-19"},"PeriodicalIF":0.0000,"publicationDate":"2025-02-12","publicationTypes":"Journal Article","fieldsOfStudy":null,"isOpenAccess":false,"openAccessPdf":"https://www.ncbi.nlm.nih.gov/pmc/articles/PMC12076765/pdf/","citationCount":"0","resultStr":"{\"title\":\"[Detrimental impact of acute coronary syndrome on the independence of the elderly].\",\"authors\":\"Paul Coello, Inti Chaves, Paul Pacheco, Fabricio Alverca, Cristian M Garmendia\",\"doi\":\"10.47487/apcyccv.v6i1.454\",\"DOIUrl\":null,\"url\":null,\"abstract\":\"<p><strong>Objectives: </strong>To evaluate the prognostic role of functional status in older adults hospitalized for acute coronary syndrome (ACS) and the implications of the coronary event on functional decline during follow-up.</p><p><strong>Materials and methods: </strong>This was a single-center, prospective cohort study including patients aged ≥65 years hospitalized for ACS with (STEMI) or without ST-segment elevation in 2022. Patients with total dependence or lacking a care network were excluded. Functional status was assessed using the Barthel Index and the Lawton and Brody scales at admission, 30 days, and one year post-discharge. The association between initial functional status and major adverse cardiovascular events (MACE) was analyzed, as well as the impact of ACS on functional status over the short and long term.</p><p><strong>Results: </strong>A total of 110 patients older than 65 years were included (mean age 78.8±4.6 years; 61.8% male). At admission, 94.3% presented mild functional dependence according to the Barthel Index, with similar findings on the Lawton and Brody scales. At 30 days, a significant functional decline was observed (Barthel: 71.2±11.3, p<0.001; Lawton: 4.8±2.5, p=0.02), which persisted at one year. Initial functional status was not associated with MACE. ST-segment elevation ACS (STEMI) was an independent predictor of short-term functional decline (adjusted OR 1.75; p=0.04).</p><p><strong>Conclusions: </strong>In older adults with ACS, initial functional status did not predict adverse events; however, significant functional decline was observed, particularly after STEMI. This underscores the importance of personalized strategies for managing this vulnerable population.</p>\",\"PeriodicalId\":72295,\"journal\":{\"name\":\"Archivos Peruanos de cardiologia y cirugia cardiovascular\",\"volume\":\"6 1\",\"pages\":\"11-19\"},\"PeriodicalIF\":0.0000,\"publicationDate\":\"2025-02-12\",\"publicationTypes\":\"Journal Article\",\"fieldsOfStudy\":null,\"isOpenAccess\":false,\"openAccessPdf\":\"https://www.ncbi.nlm.nih.gov/pmc/articles/PMC12076765/pdf/\",\"citationCount\":\"0\",\"resultStr\":null,\"platform\":\"Semanticscholar\",\"paperid\":null,\"PeriodicalName\":\"Archivos Peruanos de cardiologia y cirugia cardiovascular\",\"FirstCategoryId\":\"1085\",\"ListUrlMain\":\"https://doi.org/10.47487/apcyccv.v6i1.454\",\"RegionNum\":0,\"RegionCategory\":null,\"ArticlePicture\":[],\"TitleCN\":null,\"AbstractTextCN\":null,\"PMCID\":null,\"EPubDate\":\"2025/1/1 0:00:00\",\"PubModel\":\"eCollection\",\"JCR\":\"\",\"JCRName\":\"\",\"Score\":null,\"Total\":0}","platform":"Semanticscholar","paperid":null,"PeriodicalName":"Archivos Peruanos de cardiologia y cirugia cardiovascular","FirstCategoryId":"1085","ListUrlMain":"https://doi.org/10.47487/apcyccv.v6i1.454","RegionNum":0,"RegionCategory":null,"ArticlePicture":[],"TitleCN":null,"AbstractTextCN":null,"PMCID":null,"EPubDate":"2025/1/1 0:00:00","PubModel":"eCollection","JCR":"","JCRName":"","Score":null,"Total":0}
引用次数: 0

摘要

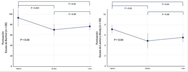
目的:评价因急性冠脉综合征(ACS)住院的老年人功能状态对预后的影响,以及随访期间冠脉事件对功能下降的影响。材料和方法:这是一项单中心前瞻性队列研究,纳入了2022年年龄≥65岁的ACS合并(STEMI)或未st段抬高患者。完全依赖或缺乏护理网络的患者被排除在外。在入院时、出院后30天和一年后使用Barthel指数和Lawton和Brody量表评估功能状态。分析初始功能状态与主要心血管不良事件(MACE)之间的关系,以及ACS对短期和长期功能状态的影响。结果:共纳入65岁以上患者110例(平均年龄78.8±4.6岁;61.8%的男性)。入院时,根据Barthel指数,94.3%的患者表现为轻度功能依赖,在Lawton和Brody量表上也有类似的结果。在第30天,观察到明显的功能下降(Barthel: 71.2±11.3,p)。结论:老年ACS患者,初始功能状态不能预测不良事件;然而,观察到明显的功能下降,特别是在STEMI之后。这突出了个性化战略对管理这一弱势群体的重要性。
本文章由计算机程序翻译,如有差异,请以英文原文为准。

[Detrimental impact of acute coronary syndrome on the independence of the elderly].

[Detrimental impact of acute coronary syndrome on the independence of the elderly].

[Detrimental impact of acute coronary syndrome on the independence of the elderly].

[Detrimental impact of acute coronary syndrome on the independence of the elderly].

Objectives: To evaluate the prognostic role of functional status in older adults hospitalized for acute coronary syndrome (ACS) and the implications of the coronary event on functional decline during follow-up.

Materials and methods: This was a single-center, prospective cohort study including patients aged ≥65 years hospitalized for ACS with (STEMI) or without ST-segment elevation in 2022. Patients with total dependence or lacking a care network were excluded. Functional status was assessed using the Barthel Index and the Lawton and Brody scales at admission, 30 days, and one year post-discharge. The association between initial functional status and major adverse cardiovascular events (MACE) was analyzed, as well as the impact of ACS on functional status over the short and long term.

Results: A total of 110 patients older than 65 years were included (mean age 78.8±4.6 years; 61.8% male). At admission, 94.3% presented mild functional dependence according to the Barthel Index, with similar findings on the Lawton and Brody scales. At 30 days, a significant functional decline was observed (Barthel: 71.2±11.3, p<0.001; Lawton: 4.8±2.5, p=0.02), which persisted at one year. Initial functional status was not associated with MACE. ST-segment elevation ACS (STEMI) was an independent predictor of short-term functional decline (adjusted OR 1.75; p=0.04).

Conclusions: In older adults with ACS, initial functional status did not predict adverse events; however, significant functional decline was observed, particularly after STEMI. This underscores the importance of personalized strategies for managing this vulnerable population.

求助全文
通过发布文献求助,成功后即可免费获取论文全文。 去求助
来源期刊
CiteScore
0.40
自引率
0.00%
发文量
0
审稿时长
4 weeks
×
引用
GB/T 7714-2015
复制
MLA
复制
APA
复制
导出至
BibTeX EndNote RefMan NoteFirst NoteExpress
×
提示
您的信息不完整,为了账户安全,请先补充。
现在去补充
×
提示
您因"违规操作"
具体请查看互助需知
我知道了
×
提示
确定
请完成安全验证×
copy
已复制链接
快去分享给好友吧!
我知道了
右上角分享
点击右上角分享
0
联系我们:info@booksci.cn Book学术提供免费学术资源搜索服务,方便国内外学者检索中英文文献。致力于提供最便捷和优质的服务体验。 Copyright © 2023 布克学术 All rights reserved.
京ICP备2023020795号-1
ghs 京公网安备 11010802042870号
Book学术文献互助
Book学术文献互助群
群 号:604180095
Book学术官方微信