通过使用可与多通道EEG系统相媲美的最佳EEG通道对EEG特征进行最佳配对,改进了驾驶员的嗜睡检测。

IF 2.6 4区 医学 Q2 COMPUTER SCIENCE, INTERDISCIPLINARY APPLICATIONS
Riaz Minhas, Nur Yasin Peker, Mustafa Abdullah Hakkoz, Semih Arbatli, Yeliz Celik, Cigdem Eroglu Erdem, Yuksel Peker, Beren Semiz
{"title":"通过使用可与多通道EEG系统相媲美的最佳EEG通道对EEG特征进行最佳配对,改进了驾驶员的嗜睡检测。","authors":"Riaz Minhas, Nur Yasin Peker, Mustafa Abdullah Hakkoz, Semih Arbatli, Yeliz Celik, Cigdem Eroglu Erdem, Yuksel Peker, Beren Semiz","doi":"10.1007/s11517-025-03375-1","DOIUrl":null,"url":null,"abstract":"<p><p>Multichannel electroencephalography (EEG)-based drowsiness detection (DD) offers higher coverage but comes with increased computational demands, hardware requirements, and user discomfort, whereas single-channel devices are cost-effective and user-friendly but provide lower coverage. We hypothesized that an optimal channel with optimum paired EEG features could achieve coverage comparable to a multichannel system. Subject-specific, EEG-feature-specific thresholding techniques were introduced to classify 927 EEG epochs, derived from visual-based scoring through image processing of fifty drivers' facial expressions during a 50-min driving simulation, using six individual EEG channels with paired features. Ten normalized EEG features were extracted per epoch using discrete wavelet transform (DWT), and seven thresholding techniques were applied to identify the most consistent method across subjects. Epochs were classified as drowsy or wakeful based on whether their normalized values exceeded or fell below a specific threshold. We then assessed the coverage of each channel by comparing EEG patterns with visual-based scoring. To determine the optimal feature pair for classifying each epoch in alignment with visual-based scoring, 45 feature combinations were evaluated. The pairing of power spectral density (PSD) alpha and PSD theta in channels Frontal4 (F4) and Occipital2 (O2) yielded the highest coverage, achieving 96.1% and 95% with corresponding accuracies of 95.4% and 94.7%, respectively. These results slightly surpassed the coverage achieved using six channels with a single feature, with increases of 1.47% for F4 and 0.32% for O2. Our study demonstrates that an optimal EEG channel with optimum paired EEG features can reduce channels from six to one, lowering computational demands for wearable DD devices.</p>","PeriodicalId":49840,"journal":{"name":"Medical & Biological Engineering & Computing","volume":" ","pages":"3019-3036"},"PeriodicalIF":2.6000,"publicationDate":"2025-10-01","publicationTypes":"Journal Article","fieldsOfStudy":null,"isOpenAccess":false,"openAccessPdf":"https://www.ncbi.nlm.nih.gov/pmc/articles/PMC12436532/pdf/","citationCount":"0","resultStr":"{\"title\":\"Improved drowsiness detection in drivers through optimum pairing of EEG features using an optimal EEG channel comparable to a multichannel EEG system.\",\"authors\":\"Riaz Minhas, Nur Yasin Peker, Mustafa Abdullah Hakkoz, Semih Arbatli, Yeliz Celik, Cigdem Eroglu Erdem, Yuksel Peker, Beren Semiz\",\"doi\":\"10.1007/s11517-025-03375-1\",\"DOIUrl\":null,\"url\":null,\"abstract\":\"<p><p>Multichannel electroencephalography (EEG)-based drowsiness detection (DD) offers higher coverage but comes with increased computational demands, hardware requirements, and user discomfort, whereas single-channel devices are cost-effective and user-friendly but provide lower coverage. We hypothesized that an optimal channel with optimum paired EEG features could achieve coverage comparable to a multichannel system. Subject-specific, EEG-feature-specific thresholding techniques were introduced to classify 927 EEG epochs, derived from visual-based scoring through image processing of fifty drivers' facial expressions during a 50-min driving simulation, using six individual EEG channels with paired features. Ten normalized EEG features were extracted per epoch using discrete wavelet transform (DWT), and seven thresholding techniques were applied to identify the most consistent method across subjects. Epochs were classified as drowsy or wakeful based on whether their normalized values exceeded or fell below a specific threshold. We then assessed the coverage of each channel by comparing EEG patterns with visual-based scoring. To determine the optimal feature pair for classifying each epoch in alignment with visual-based scoring, 45 feature combinations were evaluated. The pairing of power spectral density (PSD) alpha and PSD theta in channels Frontal4 (F4) and Occipital2 (O2) yielded the highest coverage, achieving 96.1% and 95% with corresponding accuracies of 95.4% and 94.7%, respectively. These results slightly surpassed the coverage achieved using six channels with a single feature, with increases of 1.47% for F4 and 0.32% for O2. Our study demonstrates that an optimal EEG channel with optimum paired EEG features can reduce channels from six to one, lowering computational demands for wearable DD devices.</p>\",\"PeriodicalId\":49840,\"journal\":{\"name\":\"Medical & Biological Engineering & Computing\",\"volume\":\" \",\"pages\":\"3019-3036\"},\"PeriodicalIF\":2.6000,\"publicationDate\":\"2025-10-01\",\"publicationTypes\":\"Journal Article\",\"fieldsOfStudy\":null,\"isOpenAccess\":false,\"openAccessPdf\":\"https://www.ncbi.nlm.nih.gov/pmc/articles/PMC12436532/pdf/\",\"citationCount\":\"0\",\"resultStr\":null,\"platform\":\"Semanticscholar\",\"paperid\":null,\"PeriodicalName\":\"Medical & Biological Engineering & Computing\",\"FirstCategoryId\":\"5\",\"ListUrlMain\":\"https://doi.org/10.1007/s11517-025-03375-1\",\"RegionNum\":4,\"RegionCategory\":\"医学\",\"ArticlePicture\":[],\"TitleCN\":null,\"AbstractTextCN\":null,\"PMCID\":null,\"EPubDate\":\"2025/5/16 0:00:00\",\"PubModel\":\"Epub\",\"JCR\":\"Q2\",\"JCRName\":\"COMPUTER SCIENCE, INTERDISCIPLINARY APPLICATIONS\",\"Score\":null,\"Total\":0}","platform":"Semanticscholar","paperid":null,"PeriodicalName":"Medical & Biological Engineering & Computing","FirstCategoryId":"5","ListUrlMain":"https://doi.org/10.1007/s11517-025-03375-1","RegionNum":4,"RegionCategory":"医学","ArticlePicture":[],"TitleCN":null,"AbstractTextCN":null,"PMCID":null,"EPubDate":"2025/5/16 0:00:00","PubModel":"Epub","JCR":"Q2","JCRName":"COMPUTER SCIENCE, INTERDISCIPLINARY APPLICATIONS","Score":null,"Total":0}
引用次数: 0

摘要

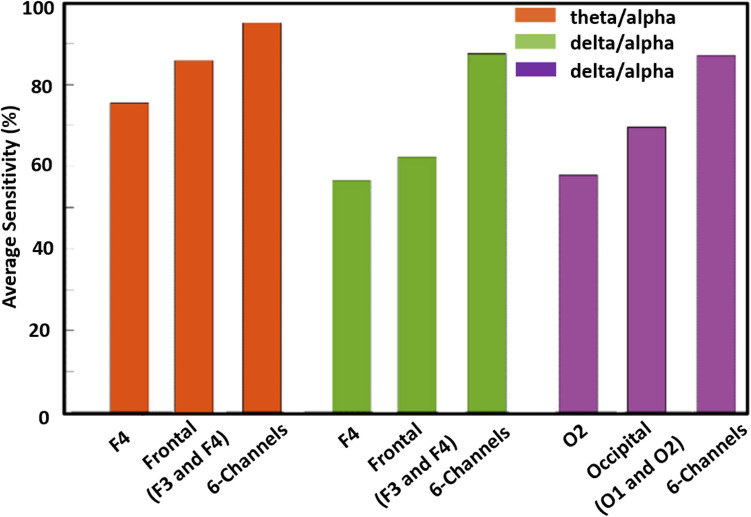
基于多通道脑电图(EEG)的睡意检测(DD)提供了更高的覆盖范围,但会增加计算需求、硬件要求和用户不适,而单通道设备具有成本效益和用户友好性,但覆盖范围较低。我们假设具有最优配对EEG特征的最优通道可以实现与多通道系统相当的覆盖。通过对50名驾驶员在50分钟驾驶模拟过程中的面部表情进行图像处理,利用6个具有配对特征的单独脑电通道,采用基于视觉的评分方法对927个脑电epoch进行分类。采用离散小波变换(DWT)每历元提取10个归一化脑电特征,并采用7种阈值分割技术识别出最一致的方法。epoch根据其标准化值是否超过或低于特定阈值被分类为昏昏欲睡或清醒。然后我们通过比较脑电图模式和基于视觉的评分来评估每个通道的覆盖范围。为了确定与基于视觉的评分相一致的最优特征对,对45个特征组合进行了评估。在Frontal4 (F4)和Occipital2 (O2)通道中配对的功率谱密度(PSD) α和PSD θ覆盖率最高,分别达到96.1%和95%,对应的准确率分别为95.4%和94.7%。这些结果略微超过了使用单个特征的六个通道所达到的覆盖率,F4增加了1.47%,O2增加了0.32%。我们的研究表明,具有最优配对EEG特征的最优EEG通道可以将通道从6个减少到1个,从而降低可穿戴DD设备的计算需求。
本文章由计算机程序翻译,如有差异,请以英文原文为准。

Improved drowsiness detection in drivers through optimum pairing of EEG features using an optimal EEG channel comparable to a multichannel EEG system.

Improved drowsiness detection in drivers through optimum pairing of EEG features using an optimal EEG channel comparable to a multichannel EEG system.

Improved drowsiness detection in drivers through optimum pairing of EEG features using an optimal EEG channel comparable to a multichannel EEG system.

Improved drowsiness detection in drivers through optimum pairing of EEG features using an optimal EEG channel comparable to a multichannel EEG system.

Multichannel electroencephalography (EEG)-based drowsiness detection (DD) offers higher coverage but comes with increased computational demands, hardware requirements, and user discomfort, whereas single-channel devices are cost-effective and user-friendly but provide lower coverage. We hypothesized that an optimal channel with optimum paired EEG features could achieve coverage comparable to a multichannel system. Subject-specific, EEG-feature-specific thresholding techniques were introduced to classify 927 EEG epochs, derived from visual-based scoring through image processing of fifty drivers' facial expressions during a 50-min driving simulation, using six individual EEG channels with paired features. Ten normalized EEG features were extracted per epoch using discrete wavelet transform (DWT), and seven thresholding techniques were applied to identify the most consistent method across subjects. Epochs were classified as drowsy or wakeful based on whether their normalized values exceeded or fell below a specific threshold. We then assessed the coverage of each channel by comparing EEG patterns with visual-based scoring. To determine the optimal feature pair for classifying each epoch in alignment with visual-based scoring, 45 feature combinations were evaluated. The pairing of power spectral density (PSD) alpha and PSD theta in channels Frontal4 (F4) and Occipital2 (O2) yielded the highest coverage, achieving 96.1% and 95% with corresponding accuracies of 95.4% and 94.7%, respectively. These results slightly surpassed the coverage achieved using six channels with a single feature, with increases of 1.47% for F4 and 0.32% for O2. Our study demonstrates that an optimal EEG channel with optimum paired EEG features can reduce channels from six to one, lowering computational demands for wearable DD devices.

求助全文
通过发布文献求助,成功后即可免费获取论文全文。 去求助
来源期刊
Medical & Biological Engineering & Computing
Medical & Biological Engineering & Computing 医学-工程:生物医学
CiteScore
6.00
自引率
3.10%
发文量
249
审稿时长
3.5 months
期刊介绍: Founded in 1963, Medical & Biological Engineering & Computing (MBEC) continues to serve the biomedical engineering community, covering the entire spectrum of biomedical and clinical engineering. The journal presents exciting and vital experimental and theoretical developments in biomedical science and technology, and reports on advances in computer-based methodologies in these multidisciplinary subjects. The journal also incorporates new and evolving technologies including cellular engineering and molecular imaging. MBEC publishes original research articles as well as reviews and technical notes. Its Rapid Communications category focuses on material of immediate value to the readership, while the Controversies section provides a forum to exchange views on selected issues, stimulating a vigorous and informed debate in this exciting and high profile field. MBEC is an official journal of the International Federation of Medical and Biological Engineering (IFMBE).
×
引用
GB/T 7714-2015
复制
MLA
复制
APA
复制
导出至
BibTeX EndNote RefMan NoteFirst NoteExpress
×
提示
您的信息不完整,为了账户安全,请先补充。
现在去补充
×
提示
您因"违规操作"
具体请查看互助需知
我知道了
×
提示
确定
请完成安全验证×
copy
已复制链接
快去分享给好友吧!
我知道了
右上角分享
点击右上角分享
0
联系我们:info@booksci.cn Book学术提供免费学术资源搜索服务,方便国内外学者检索中英文文献。致力于提供最便捷和优质的服务体验。 Copyright © 2023 布克学术 All rights reserved.
京ICP备2023020795号-1
ghs 京公网安备 11010802042870号
Book学术文献互助
Book学术文献互助群
群 号:604180095
Book学术官方微信