椎体终板断裂及其对椎体压缩性骨折风险影响的扩展分析。

IF 3.3 2区 医学 Q2 ONCOLOGY
Khaled Dibs, Prasath Mageswaran, Raju Raval, Evan Thomas, Emile Gogineni, Jeff Pan, Brett Klamer, Ahmet Ayan, Eric Bourekas, Daniel Boulter, Nicholas Fetko, Eric Cochran, Vikram Chakravarthy, John McGregor, Esmerina Tili, Joshua Palmer, Natalie Peters, Russell Lonser, Ahmed Elguindy, Eugene Yap, Soheil Soghrati, William Marras, John Grecula, Arnab Chakravarti, James Elder, Dukagjin Blakaj
{"title":"椎体终板断裂及其对椎体压缩性骨折风险影响的扩展分析。","authors":"Khaled Dibs, Prasath Mageswaran, Raju Raval, Evan Thomas, Emile Gogineni, Jeff Pan, Brett Klamer, Ahmet Ayan, Eric Bourekas, Daniel Boulter, Nicholas Fetko, Eric Cochran, Vikram Chakravarthy, John McGregor, Esmerina Tili, Joshua Palmer, Natalie Peters, Russell Lonser, Ahmed Elguindy, Eugene Yap, Soheil Soghrati, William Marras, John Grecula, Arnab Chakravarti, James Elder, Dukagjin Blakaj","doi":"10.1186/s13014-025-02658-z","DOIUrl":null,"url":null,"abstract":"<p><strong>Background and objectives: </strong>Vertebral compression fracture (VCF) is a potential serious complication of spinal stereotactic body radiotherapy (SBRT). Previously we noted a correlation between advanced Spinal Instability Neoplastic Score (SINS), tumor-related endplate (EP) disruption, and certain primary pathologies with increased VCF risk. Here, we report on an expanded patient cohort to further examine EP disruption's role in VCF.</p><p><strong>Methods: </strong>This retrospective cohort study was conducted at a single institution, gathering demographic and treatment data from patients who underwent spinal SBRT between 2013 and 2020. EP disruption was identified on pre-SBRT CT scans. Chronic steroid use was defined as steroids administered for 4 weeks or more. The 1-year cumulative incidence of VCF was evaluated by follow-up MRI and CT scans at 3-month intervals post-treatment. Based on multivariate analysis, a nomogram was created using four independent predictors: EP disruption, steroid use, SINS ≥ 7, and adverse histology.</p><p><strong>Results: </strong>A total of 173 patients were included. The median follow-up was 19 months. Approximately 69 patients (40%) had EP disruption. Thirty patients (17%) experienced a VCF at a median of 4.8 months from SBRT. Patients with adverse histology (HR 2.98, 95% CI [1.42-6.30], p 0.004), steroid use (HR 3.60, 95% CI [1.36-9.51], p 0.01), EP disruption (HR 4.16, 95% CI [1.57-11.05], p 0.004) and a SINS of ≥ 7 (HR 3.63, 95% CI [1.39-9.46], p 0.001) were associated with increased risk of VCF. Based on these findings, a nomogram was created with these four variables stratifying groups at low, intermediate, and high risk of VCF correlating with rates of 2%, 21% and 58% risk (P <.001).</p><p><strong>Conclusion: </strong>In this expanded pooled analysis, consistent with previously published findings, EP disruption, adverse pathology, and higher SINS scores were associated with an increased risk of VCF. Additionally, we found that chronic steroid use for four weeks or greater also correlated with a higher risk of VCF.</p>","PeriodicalId":49639,"journal":{"name":"Radiation Oncology","volume":"20 1","pages":"74"},"PeriodicalIF":3.3000,"publicationDate":"2025-05-14","publicationTypes":"Journal Article","fieldsOfStudy":null,"isOpenAccess":false,"openAccessPdf":"https://www.ncbi.nlm.nih.gov/pmc/articles/PMC12076872/pdf/","citationCount":"0","resultStr":"{\"title\":\"Expanded analysis of vertebral endplate disruption and its impact on vertebral compression fracture risk.\",\"authors\":\"Khaled Dibs, Prasath Mageswaran, Raju Raval, Evan Thomas, Emile Gogineni, Jeff Pan, Brett Klamer, Ahmet Ayan, Eric Bourekas, Daniel Boulter, Nicholas Fetko, Eric Cochran, Vikram Chakravarthy, John McGregor, Esmerina Tili, Joshua Palmer, Natalie Peters, Russell Lonser, Ahmed Elguindy, Eugene Yap, Soheil Soghrati, William Marras, John Grecula, Arnab Chakravarti, James Elder, Dukagjin Blakaj\",\"doi\":\"10.1186/s13014-025-02658-z\",\"DOIUrl\":null,\"url\":null,\"abstract\":\"<p><strong>Background and objectives: </strong>Vertebral compression fracture (VCF) is a potential serious complication of spinal stereotactic body radiotherapy (SBRT). Previously we noted a correlation between advanced Spinal Instability Neoplastic Score (SINS), tumor-related endplate (EP) disruption, and certain primary pathologies with increased VCF risk. Here, we report on an expanded patient cohort to further examine EP disruption's role in VCF.</p><p><strong>Methods: </strong>This retrospective cohort study was conducted at a single institution, gathering demographic and treatment data from patients who underwent spinal SBRT between 2013 and 2020. EP disruption was identified on pre-SBRT CT scans. Chronic steroid use was defined as steroids administered for 4 weeks or more. The 1-year cumulative incidence of VCF was evaluated by follow-up MRI and CT scans at 3-month intervals post-treatment. Based on multivariate analysis, a nomogram was created using four independent predictors: EP disruption, steroid use, SINS ≥ 7, and adverse histology.</p><p><strong>Results: </strong>A total of 173 patients were included. The median follow-up was 19 months. Approximately 69 patients (40%) had EP disruption. Thirty patients (17%) experienced a VCF at a median of 4.8 months from SBRT. Patients with adverse histology (HR 2.98, 95% CI [1.42-6.30], p 0.004), steroid use (HR 3.60, 95% CI [1.36-9.51], p 0.01), EP disruption (HR 4.16, 95% CI [1.57-11.05], p 0.004) and a SINS of ≥ 7 (HR 3.63, 95% CI [1.39-9.46], p 0.001) were associated with increased risk of VCF. Based on these findings, a nomogram was created with these four variables stratifying groups at low, intermediate, and high risk of VCF correlating with rates of 2%, 21% and 58% risk (P <.001).</p><p><strong>Conclusion: </strong>In this expanded pooled analysis, consistent with previously published findings, EP disruption, adverse pathology, and higher SINS scores were associated with an increased risk of VCF. Additionally, we found that chronic steroid use for four weeks or greater also correlated with a higher risk of VCF.</p>\",\"PeriodicalId\":49639,\"journal\":{\"name\":\"Radiation Oncology\",\"volume\":\"20 1\",\"pages\":\"74\"},\"PeriodicalIF\":3.3000,\"publicationDate\":\"2025-05-14\",\"publicationTypes\":\"Journal Article\",\"fieldsOfStudy\":null,\"isOpenAccess\":false,\"openAccessPdf\":\"https://www.ncbi.nlm.nih.gov/pmc/articles/PMC12076872/pdf/\",\"citationCount\":\"0\",\"resultStr\":null,\"platform\":\"Semanticscholar\",\"paperid\":null,\"PeriodicalName\":\"Radiation Oncology\",\"FirstCategoryId\":\"3\",\"ListUrlMain\":\"https://doi.org/10.1186/s13014-025-02658-z\",\"RegionNum\":2,\"RegionCategory\":\"医学\",\"ArticlePicture\":[],\"TitleCN\":null,\"AbstractTextCN\":null,\"PMCID\":null,\"EPubDate\":\"\",\"PubModel\":\"\",\"JCR\":\"Q2\",\"JCRName\":\"ONCOLOGY\",\"Score\":null,\"Total\":0}","platform":"Semanticscholar","paperid":null,"PeriodicalName":"Radiation Oncology","FirstCategoryId":"3","ListUrlMain":"https://doi.org/10.1186/s13014-025-02658-z","RegionNum":2,"RegionCategory":"医学","ArticlePicture":[],"TitleCN":null,"AbstractTextCN":null,"PMCID":null,"EPubDate":"","PubModel":"","JCR":"Q2","JCRName":"ONCOLOGY","Score":null,"Total":0}
引用次数: 0

摘要

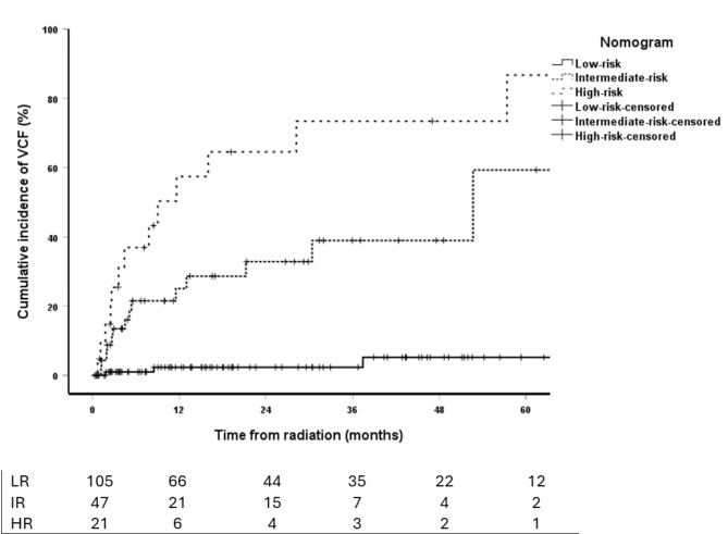
背景和目的:椎体压缩性骨折(VCF)是脊柱立体定向放射治疗(SBRT)的潜在严重并发症。先前我们注意到晚期脊柱不稳定肿瘤评分(SINS)、肿瘤相关终板(EP)破坏和某些原发性病理与VCF风险增加之间的相关性。在这里,我们报告了一个扩大的患者队列,以进一步研究EP中断在VCF中的作用。方法:本回顾性队列研究在单一机构进行,收集2013年至2020年间接受脊柱SBRT患者的人口统计学和治疗数据。在sbrt前的CT扫描中发现了脑电图中断。慢性类固醇使用被定义为使用类固醇4周或更长时间。治疗后每隔3个月通过随访MRI和CT扫描评估1年VCF累积发生率。基于多变量分析,使用四个独立的预测因素:EP破坏、类固醇使用、SINS≥7和不良组织学,创建了一个nomogram。结果:共纳入173例患者。中位随访时间为19个月。约69例患者(40%)出现EP中断。30例患者(17%)在SBRT后4.8个月发生VCF。组织学不良(HR 2.98, 95% CI [1.42-6.30], p 0.004)、类固醇使用(HR 3.60, 95% CI [1.36-9.51], p 0.01)、EP中断(HR 4.16, 95% CI [1.57-11.05], p 0.004)和SINS≥7 (HR 3.63, 95% CI [1.39-9.46], p 0.001)的患者与VCF风险增加相关。基于这些发现,我们创建了一个由这四个变量组成的nomogram,将VCF的低、中、高风险(分别为2%、21%和58%)分组。结论:在这个扩展的汇总分析中,与之前发表的研究结果一致,EP中断、不良病理和较高的SINS评分与VCF的风险增加相关。此外,我们发现慢性类固醇使用四周或更长时间也与VCF的高风险相关。
本文章由计算机程序翻译,如有差异,请以英文原文为准。

Expanded analysis of vertebral endplate disruption and its impact on vertebral compression fracture risk.

Expanded analysis of vertebral endplate disruption and its impact on vertebral compression fracture risk.

Expanded analysis of vertebral endplate disruption and its impact on vertebral compression fracture risk.

Background and objectives: Vertebral compression fracture (VCF) is a potential serious complication of spinal stereotactic body radiotherapy (SBRT). Previously we noted a correlation between advanced Spinal Instability Neoplastic Score (SINS), tumor-related endplate (EP) disruption, and certain primary pathologies with increased VCF risk. Here, we report on an expanded patient cohort to further examine EP disruption's role in VCF.

Methods: This retrospective cohort study was conducted at a single institution, gathering demographic and treatment data from patients who underwent spinal SBRT between 2013 and 2020. EP disruption was identified on pre-SBRT CT scans. Chronic steroid use was defined as steroids administered for 4 weeks or more. The 1-year cumulative incidence of VCF was evaluated by follow-up MRI and CT scans at 3-month intervals post-treatment. Based on multivariate analysis, a nomogram was created using four independent predictors: EP disruption, steroid use, SINS ≥ 7, and adverse histology.

Results: A total of 173 patients were included. The median follow-up was 19 months. Approximately 69 patients (40%) had EP disruption. Thirty patients (17%) experienced a VCF at a median of 4.8 months from SBRT. Patients with adverse histology (HR 2.98, 95% CI [1.42-6.30], p 0.004), steroid use (HR 3.60, 95% CI [1.36-9.51], p 0.01), EP disruption (HR 4.16, 95% CI [1.57-11.05], p 0.004) and a SINS of ≥ 7 (HR 3.63, 95% CI [1.39-9.46], p 0.001) were associated with increased risk of VCF. Based on these findings, a nomogram was created with these four variables stratifying groups at low, intermediate, and high risk of VCF correlating with rates of 2%, 21% and 58% risk (P <.001).

Conclusion: In this expanded pooled analysis, consistent with previously published findings, EP disruption, adverse pathology, and higher SINS scores were associated with an increased risk of VCF. Additionally, we found that chronic steroid use for four weeks or greater also correlated with a higher risk of VCF.

求助全文
通过发布文献求助,成功后即可免费获取论文全文。 去求助
来源期刊
Radiation Oncology
Radiation Oncology ONCOLOGY-RADIOLOGY, NUCLEAR MEDICINE & MEDICAL IMAGING
CiteScore
6.50
自引率
2.80%
发文量
181
审稿时长
3-6 weeks
期刊介绍: Radiation Oncology encompasses all aspects of research that impacts on the treatment of cancer using radiation. It publishes findings in molecular and cellular radiation biology, radiation physics, radiation technology, and clinical oncology.
×
引用
GB/T 7714-2015
复制
MLA
复制
APA
复制
导出至
BibTeX EndNote RefMan NoteFirst NoteExpress
×
提示
您的信息不完整,为了账户安全,请先补充。
现在去补充
×
提示
您因"违规操作"
具体请查看互助需知
我知道了
×
提示
确定
请完成安全验证×
copy
已复制链接
快去分享给好友吧!
我知道了
右上角分享
点击右上角分享
0
联系我们:info@booksci.cn Book学术提供免费学术资源搜索服务,方便国内外学者检索中英文文献。致力于提供最便捷和优质的服务体验。 Copyright © 2023 布克学术 All rights reserved.
京ICP备2023020795号-1
ghs 京公网安备 11010802042870号
Book学术文献互助
Book学术文献互助群
群 号:604180095
Book学术官方微信