基于acros XB剂量计算优化的治疗方案是否对肺癌在线适应性放疗中剂量均匀性的解剖变化具有鲁棒性?

IF 3.3 2区 医学 Q2 ONCOLOGY
Khouya Aymane, Santiago Alina, Ringbaek Toke, Guberina Nika, Guberina Maja, Gauler Thomas, Lübcke Wolfgang, Zylka Waldemar, Pöttgen Christoph, Stuschke Martin
{"title":"基于acros XB剂量计算优化的治疗方案是否对肺癌在线适应性放疗中剂量均匀性的解剖变化具有鲁棒性?","authors":"Khouya Aymane, Santiago Alina, Ringbaek Toke, Guberina Nika, Guberina Maja, Gauler Thomas, Lübcke Wolfgang, Zylka Waldemar, Pöttgen Christoph, Stuschke Martin","doi":"10.1186/s13014-025-02656-1","DOIUrl":null,"url":null,"abstract":"<p><strong>Introduction: </strong>The Acuros XB dose calculation algorithm implements advanced modelling of lateral electron transport, making dose distributions sensitive to density changes between source and subsequent CT. The aim of this study was to analyse the robustness of dose distribution in the central bronchial wall (CBW) of treatment plans from lung cancer patients treated with adaptive radiotherapy.</p><p><strong>Material and methods: </strong>IMRT or VMAT plans from patients with locally advanced lung cancer from a prospective registry cohort were analysed, who received definitive radiotherapy in surface-guided inspiratory breath-hold on the Ethos™ closed-bore linac, equipped with the HyperSight™ cone beam CT (CBCT). Dose homogeneity of the scheduled plans, optimized on planning CT (CTplan), was verified on the initial CBCT of a dose fraction (CBCT1). The adaptive plans were verified on a subsequent post-adaptation CBCT (CBCT2) of the same dose fraction. A predictive model was built for maximum dose (Dmax) in CBW in dependence on plan sensitivity in the central bronchial air lumen overlapping the planning target volume (CBAL<sub>PTV</sub>) to water override (WOR) of the air lumen.</p><p><strong>Results: </strong>Ninety-one dose-fractions from 10 patients were analysed. Dmax values in the CBW of the scheduled plans showed over all significant inter-fractional increases from CTplan to subsequent CBCT1 (p < 0.0001, Wilcoxon test, stratified by patient) with significant heterogeneity between patients (p < 0.0001, Kruskal-Wallis Test). The median Dmax increase per dose fraction was 2.15% (-3.15 - 19.30%). Reducing the PTV overlap of scheduled plans with CBAL led to lower inter-fractional Dmax increases in CBW (p < 0.0001, signed rank test). Dose accumulation showed, that Dmax and D1cc values in CBW over the treatment course stayed in all patients below 110.5% and 107.5% and that the equivalent uniform dose in CTV around the CBW stayed > 95% for scheduled plans. A predictive model showed the dependence of inter-fractional Dmax increases in CBW of scheduled plans on an interaction between plan sensitivity on CTplan to WOR in CBAL<sub>PTV</sub> and density change at the Dmax point in CBCT1 between CTplan and CBCT1 (p < 0.0001, t-test). Intra-fractional Dmax increases of adaptive plans in CBW amounted to only 20% +/- 1.1% of the inter-fractional increases of scheduled plans, as intra-fractional deformations were smaller than inter-fractional (p < 0.0001, signed rank test).</p><p><strong>Conclusion: </strong>Dose homogeneity in CBW of Ethos plans were found sufficiently robust against intra-fractional deformations during course of online adaptive radiotherapy. Plan sensitivity to anatomic changes can be detected and controlled on the planning CT by the WOR of air in CBAL<sub>PTV</sub>.</p>","PeriodicalId":49639,"journal":{"name":"Radiation Oncology","volume":"20 1","pages":"75"},"PeriodicalIF":3.3000,"publicationDate":"2025-05-15","publicationTypes":"Journal Article","fieldsOfStudy":null,"isOpenAccess":false,"openAccessPdf":"https://www.ncbi.nlm.nih.gov/pmc/articles/PMC12082940/pdf/","citationCount":"0","resultStr":"{\"title\":\"Are treatment plans optimized on the basis of acuros XB dose calculation robust against anatomic changes during online adaptive radiotherapy for lung cancer regarding dose homogeneity?\",\"authors\":\"Khouya Aymane, Santiago Alina, Ringbaek Toke, Guberina Nika, Guberina Maja, Gauler Thomas, Lübcke Wolfgang, Zylka Waldemar, Pöttgen Christoph, Stuschke Martin\",\"doi\":\"10.1186/s13014-025-02656-1\",\"DOIUrl\":null,\"url\":null,\"abstract\":\"<p><strong>Introduction: </strong>The Acuros XB dose calculation algorithm implements advanced modelling of lateral electron transport, making dose distributions sensitive to density changes between source and subsequent CT. The aim of this study was to analyse the robustness of dose distribution in the central bronchial wall (CBW) of treatment plans from lung cancer patients treated with adaptive radiotherapy.</p><p><strong>Material and methods: </strong>IMRT or VMAT plans from patients with locally advanced lung cancer from a prospective registry cohort were analysed, who received definitive radiotherapy in surface-guided inspiratory breath-hold on the Ethos™ closed-bore linac, equipped with the HyperSight™ cone beam CT (CBCT). Dose homogeneity of the scheduled plans, optimized on planning CT (CTplan), was verified on the initial CBCT of a dose fraction (CBCT1). The adaptive plans were verified on a subsequent post-adaptation CBCT (CBCT2) of the same dose fraction. A predictive model was built for maximum dose (Dmax) in CBW in dependence on plan sensitivity in the central bronchial air lumen overlapping the planning target volume (CBAL<sub>PTV</sub>) to water override (WOR) of the air lumen.</p><p><strong>Results: </strong>Ninety-one dose-fractions from 10 patients were analysed. Dmax values in the CBW of the scheduled plans showed over all significant inter-fractional increases from CTplan to subsequent CBCT1 (p < 0.0001, Wilcoxon test, stratified by patient) with significant heterogeneity between patients (p < 0.0001, Kruskal-Wallis Test). The median Dmax increase per dose fraction was 2.15% (-3.15 - 19.30%). Reducing the PTV overlap of scheduled plans with CBAL led to lower inter-fractional Dmax increases in CBW (p < 0.0001, signed rank test). Dose accumulation showed, that Dmax and D1cc values in CBW over the treatment course stayed in all patients below 110.5% and 107.5% and that the equivalent uniform dose in CTV around the CBW stayed > 95% for scheduled plans. A predictive model showed the dependence of inter-fractional Dmax increases in CBW of scheduled plans on an interaction between plan sensitivity on CTplan to WOR in CBAL<sub>PTV</sub> and density change at the Dmax point in CBCT1 between CTplan and CBCT1 (p < 0.0001, t-test). Intra-fractional Dmax increases of adaptive plans in CBW amounted to only 20% +/- 1.1% of the inter-fractional increases of scheduled plans, as intra-fractional deformations were smaller than inter-fractional (p < 0.0001, signed rank test).</p><p><strong>Conclusion: </strong>Dose homogeneity in CBW of Ethos plans were found sufficiently robust against intra-fractional deformations during course of online adaptive radiotherapy. Plan sensitivity to anatomic changes can be detected and controlled on the planning CT by the WOR of air in CBAL<sub>PTV</sub>.</p>\",\"PeriodicalId\":49639,\"journal\":{\"name\":\"Radiation Oncology\",\"volume\":\"20 1\",\"pages\":\"75\"},\"PeriodicalIF\":3.3000,\"publicationDate\":\"2025-05-15\",\"publicationTypes\":\"Journal Article\",\"fieldsOfStudy\":null,\"isOpenAccess\":false,\"openAccessPdf\":\"https://www.ncbi.nlm.nih.gov/pmc/articles/PMC12082940/pdf/\",\"citationCount\":\"0\",\"resultStr\":null,\"platform\":\"Semanticscholar\",\"paperid\":null,\"PeriodicalName\":\"Radiation Oncology\",\"FirstCategoryId\":\"3\",\"ListUrlMain\":\"https://doi.org/10.1186/s13014-025-02656-1\",\"RegionNum\":2,\"RegionCategory\":\"医学\",\"ArticlePicture\":[],\"TitleCN\":null,\"AbstractTextCN\":null,\"PMCID\":null,\"EPubDate\":\"\",\"PubModel\":\"\",\"JCR\":\"Q2\",\"JCRName\":\"ONCOLOGY\",\"Score\":null,\"Total\":0}","platform":"Semanticscholar","paperid":null,"PeriodicalName":"Radiation Oncology","FirstCategoryId":"3","ListUrlMain":"https://doi.org/10.1186/s13014-025-02656-1","RegionNum":2,"RegionCategory":"医学","ArticlePicture":[],"TitleCN":null,"AbstractTextCN":null,"PMCID":null,"EPubDate":"","PubModel":"","JCR":"Q2","JCRName":"ONCOLOGY","Score":null,"Total":0}
引用次数: 0

摘要

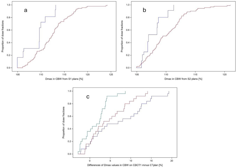
acros XB剂量计算算法实现了先进的横向电子传递建模,使剂量分布对源和后续CT之间的密度变化敏感。本研究的目的是分析肺癌患者接受适应性放射治疗方案中剂量分布在中央支气管壁(CBW)的稳健性。材料和方法:对前瞻性登记队列中局部晚期肺癌患者的IMRT或VMAT计划进行分析,这些患者在配备HyperSight™锥形束CT (CBCT)的Ethos™闭孔直线加速器上接受表面引导吸气屏气的最终放疗。在计划CT (CTplan)上优化的计划计划的剂量均匀性在剂量分数(CBCT1)的初始CBCT上得到验证。适应性计划在随后的相同剂量分数的适应后CBCT (CBCT2)上进行验证。建立了CBW最大剂量(Dmax)的预测模型,该模型依赖于中央支气管空气腔重叠计划靶体积(CBALPTV)对空气腔水覆盖(WOR)的计划敏感性。结果:对10例患者的91个剂量组分进行了分析。预定计划CBW的Dmax值显示,从计划到随后的CBCT1,所有计划的分数间显着增加(p为95%)。预测模型显示,计划方案中CBW的分级间Dmax增加依赖于CBALPTV中CTplan对WOR的敏感性和CTplan与CBCT1中Dmax点密度变化之间的相互作用(p)。结论:Ethos方案中CBW的剂量均匀性在在线适应放疗过程中对分级内变形具有足够的稳受性。利用CBALPTV中空气的WOR可以检测和控制计划CT对解剖变化的计划敏感性。
本文章由计算机程序翻译,如有差异,请以英文原文为准。

Are treatment plans optimized on the basis of acuros XB dose calculation robust against anatomic changes during online adaptive radiotherapy for lung cancer regarding dose homogeneity?

Are treatment plans optimized on the basis of acuros XB dose calculation robust against anatomic changes during online adaptive radiotherapy for lung cancer regarding dose homogeneity?

Are treatment plans optimized on the basis of acuros XB dose calculation robust against anatomic changes during online adaptive radiotherapy for lung cancer regarding dose homogeneity?

Are treatment plans optimized on the basis of acuros XB dose calculation robust against anatomic changes during online adaptive radiotherapy for lung cancer regarding dose homogeneity?

Introduction: The Acuros XB dose calculation algorithm implements advanced modelling of lateral electron transport, making dose distributions sensitive to density changes between source and subsequent CT. The aim of this study was to analyse the robustness of dose distribution in the central bronchial wall (CBW) of treatment plans from lung cancer patients treated with adaptive radiotherapy.

Material and methods: IMRT or VMAT plans from patients with locally advanced lung cancer from a prospective registry cohort were analysed, who received definitive radiotherapy in surface-guided inspiratory breath-hold on the Ethos™ closed-bore linac, equipped with the HyperSight™ cone beam CT (CBCT). Dose homogeneity of the scheduled plans, optimized on planning CT (CTplan), was verified on the initial CBCT of a dose fraction (CBCT1). The adaptive plans were verified on a subsequent post-adaptation CBCT (CBCT2) of the same dose fraction. A predictive model was built for maximum dose (Dmax) in CBW in dependence on plan sensitivity in the central bronchial air lumen overlapping the planning target volume (CBALPTV) to water override (WOR) of the air lumen.

Results: Ninety-one dose-fractions from 10 patients were analysed. Dmax values in the CBW of the scheduled plans showed over all significant inter-fractional increases from CTplan to subsequent CBCT1 (p < 0.0001, Wilcoxon test, stratified by patient) with significant heterogeneity between patients (p < 0.0001, Kruskal-Wallis Test). The median Dmax increase per dose fraction was 2.15% (-3.15 - 19.30%). Reducing the PTV overlap of scheduled plans with CBAL led to lower inter-fractional Dmax increases in CBW (p < 0.0001, signed rank test). Dose accumulation showed, that Dmax and D1cc values in CBW over the treatment course stayed in all patients below 110.5% and 107.5% and that the equivalent uniform dose in CTV around the CBW stayed > 95% for scheduled plans. A predictive model showed the dependence of inter-fractional Dmax increases in CBW of scheduled plans on an interaction between plan sensitivity on CTplan to WOR in CBALPTV and density change at the Dmax point in CBCT1 between CTplan and CBCT1 (p < 0.0001, t-test). Intra-fractional Dmax increases of adaptive plans in CBW amounted to only 20% +/- 1.1% of the inter-fractional increases of scheduled plans, as intra-fractional deformations were smaller than inter-fractional (p < 0.0001, signed rank test).

Conclusion: Dose homogeneity in CBW of Ethos plans were found sufficiently robust against intra-fractional deformations during course of online adaptive radiotherapy. Plan sensitivity to anatomic changes can be detected and controlled on the planning CT by the WOR of air in CBALPTV.

求助全文
通过发布文献求助,成功后即可免费获取论文全文。 去求助
来源期刊
Radiation Oncology
Radiation Oncology ONCOLOGY-RADIOLOGY, NUCLEAR MEDICINE & MEDICAL IMAGING
CiteScore
6.50
自引率
2.80%
发文量
181
审稿时长
3-6 weeks
期刊介绍: Radiation Oncology encompasses all aspects of research that impacts on the treatment of cancer using radiation. It publishes findings in molecular and cellular radiation biology, radiation physics, radiation technology, and clinical oncology.
×
引用
GB/T 7714-2015
复制
MLA
复制
APA
复制
导出至
BibTeX EndNote RefMan NoteFirst NoteExpress
×
提示
您的信息不完整,为了账户安全,请先补充。
现在去补充
×
提示
您因"违规操作"
具体请查看互助需知
我知道了
×
提示
确定
请完成安全验证×
copy
已复制链接
快去分享给好友吧!
我知道了
右上角分享
点击右上角分享
0
联系我们:info@booksci.cn Book学术提供免费学术资源搜索服务,方便国内外学者检索中英文文献。致力于提供最便捷和优质的服务体验。 Copyright © 2023 布克学术 All rights reserved.
京ICP备2023020795号-1
ghs 京公网安备 11010802042870号
Book学术文献互助
Book学术文献互助群
群 号:604180095
Book学术官方微信