姐妹研究队列中的抑郁、抗抑郁药使用和乳腺癌发病率。

IF 5.6 1区 医学 Q1 Medicine
Mary V Díaz-Santana, Jihye Park, Molly Rogers, Katie M O'Brien, Hazel B Nichols, Aimee A D'Aloisio, Deborah B Bookwalter, Dale P Sandler, Clarice R Weinberg
{"title":"姐妹研究队列中的抑郁、抗抑郁药使用和乳腺癌发病率。","authors":"Mary V Díaz-Santana, Jihye Park, Molly Rogers, Katie M O'Brien, Hazel B Nichols, Aimee A D'Aloisio, Deborah B Bookwalter, Dale P Sandler, Clarice R Weinberg","doi":"10.1186/s13058-025-02043-4","DOIUrl":null,"url":null,"abstract":"<p><strong>Background: </strong>Depression could affect breast cancer risk; however, epidemiologic findings are mixed. We assessed the association of breast cancer risk with self-reported history of diagnosed depression and time-dependent antidepressant use.</p><p><strong>Methods: </strong>We analyzed data from 45,746 women in the Sister Study cohort (2003-2009). Cox proportional hazard regression was used to estimate hazard ratios (HR) for breast cancer.</p><p><strong>Results: </strong>During follow-up (mean = 11.7 years), 3,899 breast cancers were diagnosed. There was no association between history of diagnosed depression and risk of breast cancer (HR = 0.98, 95%CI = 0.91-1.06). However, antidepressant use was associated with reduced risk of breast cancer (HR = 0.92, 95%CI = 0.85-1.00). Comparison of antidepressant drug classes revealed a suggestion of an inverse association with selective serotonin reuptake inhibitors (SSRIs, HR = 0.90, 95%CI = 0.81-1.00). Reduction was stronger in those with BMI < 25 (HR = 0.72, 95%CI = 0.59-0.89).</p><p><strong>Conclusions: </strong>Depression was not associated with breast cancer risk. We observed a suggestion of a reduction in risk associated with antidepressant use. The analysis evaluating the association by specific drug types, showed a suggestion of a reduction in breast cancer risk associated with use of SSRIs. The negative association with overall antidepressant use and SSRIs, was stronger in those with BMI < 25, which could reflect a dose effect. This was the first study to examine the association between depression, antidepressant use, and breast cancer risk in a large genetic-risk-enriched cohort.</p>","PeriodicalId":49227,"journal":{"name":"Breast Cancer Research","volume":"27 1","pages":"82"},"PeriodicalIF":5.6000,"publicationDate":"2025-05-15","publicationTypes":"Journal Article","fieldsOfStudy":null,"isOpenAccess":false,"openAccessPdf":"https://www.ncbi.nlm.nih.gov/pmc/articles/PMC12083028/pdf/","citationCount":"0","resultStr":"{\"title\":\"Depression, antidepressant use, and breast cancer incidence in the Sister Study cohort.\",\"authors\":\"Mary V Díaz-Santana, Jihye Park, Molly Rogers, Katie M O'Brien, Hazel B Nichols, Aimee A D'Aloisio, Deborah B Bookwalter, Dale P Sandler, Clarice R Weinberg\",\"doi\":\"10.1186/s13058-025-02043-4\",\"DOIUrl\":null,\"url\":null,\"abstract\":\"<p><strong>Background: </strong>Depression could affect breast cancer risk; however, epidemiologic findings are mixed. We assessed the association of breast cancer risk with self-reported history of diagnosed depression and time-dependent antidepressant use.</p><p><strong>Methods: </strong>We analyzed data from 45,746 women in the Sister Study cohort (2003-2009). Cox proportional hazard regression was used to estimate hazard ratios (HR) for breast cancer.</p><p><strong>Results: </strong>During follow-up (mean = 11.7 years), 3,899 breast cancers were diagnosed. There was no association between history of diagnosed depression and risk of breast cancer (HR = 0.98, 95%CI = 0.91-1.06). However, antidepressant use was associated with reduced risk of breast cancer (HR = 0.92, 95%CI = 0.85-1.00). Comparison of antidepressant drug classes revealed a suggestion of an inverse association with selective serotonin reuptake inhibitors (SSRIs, HR = 0.90, 95%CI = 0.81-1.00). Reduction was stronger in those with BMI < 25 (HR = 0.72, 95%CI = 0.59-0.89).</p><p><strong>Conclusions: </strong>Depression was not associated with breast cancer risk. We observed a suggestion of a reduction in risk associated with antidepressant use. The analysis evaluating the association by specific drug types, showed a suggestion of a reduction in breast cancer risk associated with use of SSRIs. The negative association with overall antidepressant use and SSRIs, was stronger in those with BMI < 25, which could reflect a dose effect. This was the first study to examine the association between depression, antidepressant use, and breast cancer risk in a large genetic-risk-enriched cohort.</p>\",\"PeriodicalId\":49227,\"journal\":{\"name\":\"Breast Cancer Research\",\"volume\":\"27 1\",\"pages\":\"82\"},\"PeriodicalIF\":5.6000,\"publicationDate\":\"2025-05-15\",\"publicationTypes\":\"Journal Article\",\"fieldsOfStudy\":null,\"isOpenAccess\":false,\"openAccessPdf\":\"https://www.ncbi.nlm.nih.gov/pmc/articles/PMC12083028/pdf/\",\"citationCount\":\"0\",\"resultStr\":null,\"platform\":\"Semanticscholar\",\"paperid\":null,\"PeriodicalName\":\"Breast Cancer Research\",\"FirstCategoryId\":\"3\",\"ListUrlMain\":\"https://doi.org/10.1186/s13058-025-02043-4\",\"RegionNum\":1,\"RegionCategory\":\"医学\",\"ArticlePicture\":[],\"TitleCN\":null,\"AbstractTextCN\":null,\"PMCID\":null,\"EPubDate\":\"\",\"PubModel\":\"\",\"JCR\":\"Q1\",\"JCRName\":\"Medicine\",\"Score\":null,\"Total\":0}","platform":"Semanticscholar","paperid":null,"PeriodicalName":"Breast Cancer Research","FirstCategoryId":"3","ListUrlMain":"https://doi.org/10.1186/s13058-025-02043-4","RegionNum":1,"RegionCategory":"医学","ArticlePicture":[],"TitleCN":null,"AbstractTextCN":null,"PMCID":null,"EPubDate":"","PubModel":"","JCR":"Q1","JCRName":"Medicine","Score":null,"Total":0}
引用次数: 0

摘要

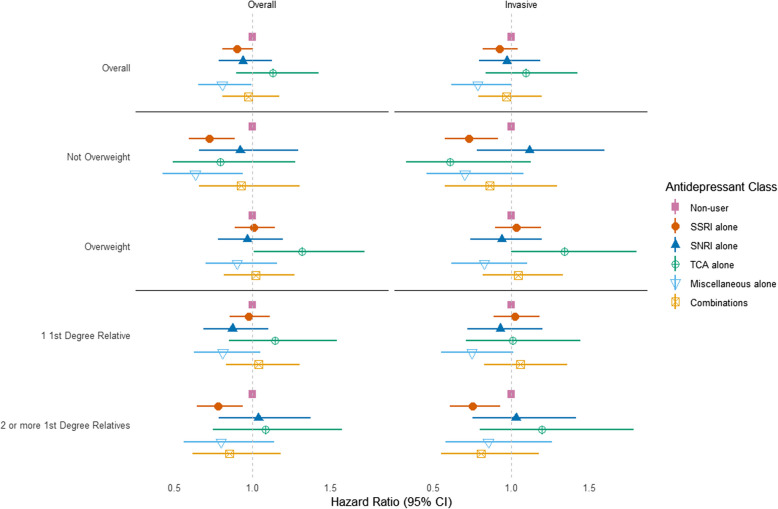
背景:抑郁可能影响乳腺癌风险;然而,流行病学研究结果喜忧参半。我们评估了乳腺癌风险与自我报告的抑郁症诊断史和时间依赖性抗抑郁药使用的关系。方法:我们分析了姐妹研究队列(2003-2009)中45,746名女性的数据。采用Cox比例风险回归法估计乳腺癌的风险比(HR)。结果:随访期间(平均11.7年),确诊乳腺癌3899例。抑郁症病史与乳腺癌风险无相关性(HR = 0.98, 95%CI = 0.91-1.06)。然而,抗抑郁药的使用与乳腺癌风险降低相关(HR = 0.92, 95%CI = 0.85-1.00)。抗抑郁药物类别的比较显示与选择性5 -羟色胺再摄取抑制剂呈负相关(SSRIs, HR = 0.90, 95%CI = 0.81-1.00)。结论:抑郁与乳腺癌风险无关。我们观察到与使用抗抑郁药相关的风险降低的提示。该分析评估了特定药物类型的相关性,表明使用ssri类药物可以降低乳腺癌风险。与总体抗抑郁药使用和SSRIs的负相关,在BMI较高的人群中更为明显
本文章由计算机程序翻译,如有差异,请以英文原文为准。

Depression, antidepressant use, and breast cancer incidence in the Sister Study cohort.

Depression, antidepressant use, and breast cancer incidence in the Sister Study cohort.

Background: Depression could affect breast cancer risk; however, epidemiologic findings are mixed. We assessed the association of breast cancer risk with self-reported history of diagnosed depression and time-dependent antidepressant use.

Methods: We analyzed data from 45,746 women in the Sister Study cohort (2003-2009). Cox proportional hazard regression was used to estimate hazard ratios (HR) for breast cancer.

Results: During follow-up (mean = 11.7 years), 3,899 breast cancers were diagnosed. There was no association between history of diagnosed depression and risk of breast cancer (HR = 0.98, 95%CI = 0.91-1.06). However, antidepressant use was associated with reduced risk of breast cancer (HR = 0.92, 95%CI = 0.85-1.00). Comparison of antidepressant drug classes revealed a suggestion of an inverse association with selective serotonin reuptake inhibitors (SSRIs, HR = 0.90, 95%CI = 0.81-1.00). Reduction was stronger in those with BMI < 25 (HR = 0.72, 95%CI = 0.59-0.89).

Conclusions: Depression was not associated with breast cancer risk. We observed a suggestion of a reduction in risk associated with antidepressant use. The analysis evaluating the association by specific drug types, showed a suggestion of a reduction in breast cancer risk associated with use of SSRIs. The negative association with overall antidepressant use and SSRIs, was stronger in those with BMI < 25, which could reflect a dose effect. This was the first study to examine the association between depression, antidepressant use, and breast cancer risk in a large genetic-risk-enriched cohort.

求助全文
通过发布文献求助,成功后即可免费获取论文全文。 去求助
来源期刊
CiteScore
12.00
自引率
0.00%
发文量
76
审稿时长
12 weeks
期刊介绍: Breast Cancer Research, an international, peer-reviewed online journal, publishes original research, reviews, editorials, and reports. It features open-access research articles of exceptional interest across all areas of biology and medicine relevant to breast cancer. This includes normal mammary gland biology, with a special emphasis on the genetic, biochemical, and cellular basis of breast cancer. In addition to basic research, the journal covers preclinical, translational, and clinical studies with a biological basis, including Phase I and Phase II trials.
×
引用
GB/T 7714-2015
复制
MLA
复制
APA
复制
导出至
BibTeX EndNote RefMan NoteFirst NoteExpress
×
提示
您的信息不完整,为了账户安全,请先补充。
现在去补充
×
提示
您因"违规操作"
具体请查看互助需知
我知道了
×
提示
确定
请完成安全验证×
copy
已复制链接
快去分享给好友吧!
我知道了
右上角分享
点击右上角分享
0
联系我们:info@booksci.cn Book学术提供免费学术资源搜索服务,方便国内外学者检索中英文文献。致力于提供最便捷和优质的服务体验。 Copyright © 2023 布克学术 All rights reserved.
京ICP备2023020795号-1
ghs 京公网安备 11010802042870号
Book学术文献互助
Book学术文献互助群
群 号:604180095
Book学术官方微信