逆休克指数乘以简化运动评分作为急诊科腹部创伤患者临床结局的指标:一项回顾性队列研究

IF 1
Ilker Şirin, Tuğba Sanalp Menekşe, Muzaffer Akkoca
{"title":"逆休克指数乘以简化运动评分作为急诊科腹部创伤患者临床结局的指标:一项回顾性队列研究","authors":"Ilker Şirin, Tuğba Sanalp Menekşe, Muzaffer Akkoca","doi":"10.14744/tjtes.2025.23798","DOIUrl":null,"url":null,"abstract":"<p><strong>Background: </strong>This study aimed to determine the diagnostic value of the product of the reverse Shock Index (rSI) and the simplified Motor Score (sMS) (rSIsMS) as a predictor of clinical outcomes in patients with abdominal trauma.</p><p><strong>Methods: </strong>Patients who presented with abdominal trauma to the emergency department of a tertiary care hospital between 2023 and 2024 were included in the study. Using the patients' data, we calculated the Abbreviated Injury Scale (AIS), Injury Severity Score (ISS), Revised Trauma Score (RTS), and Trauma and Injury Severity Score (TRISS). Additionally, the rSIsMS and the product of the rSI and Glasgow Coma Scale (GCS) (rSIG) were calculated.</p><p><strong>Results: </strong>A total of 270 patients were included in the study. The diagnostic validity of the TRISS, rSIsMS, and rSIG, which had the highest area under the curve (AUC) values for mortality outcomes, was examined; the AUC values were 0.928, 0.908, and 0.886, respectively. The AUC values of the TRISS and rSIsMS concerning intensive care unit (ICU) needs were 0.844 and 0.852, respectively. With regard to surgical intervention needs, the AUC values of the TRISS and rSIsMS were 0.774 and 0.881, respectively. The diagnostic validity of the rSIsMS for surgical intervention needs was significantly higher than that of the TRISS (p<0.001, DeLong test). Concerning massive transfusion protocol (MTP) requirements, the AUC values of the TRISS and rSIsMS were 0.799 and 0.930, respectively. The diagnostic validity of the rSIsMS for MTP requirements was significantly higher than that of the TRISS (p<0.001, DeLong test).</p><p><strong>Conclusion: </strong>The rSIsMS is superior to other trauma scores in predicting MTP and surgical intervention needs in patients with abdominal trauma, and it performs similarly to other trauma scores in predicting mortality and ICU needs. The ease of calculation and its ability to be obtained at the bedside may further enhance the clinical utility of the rSIsMS in the emergency department.</p>","PeriodicalId":94263,"journal":{"name":"Ulusal travma ve acil cerrahi dergisi = Turkish journal of trauma & emergency surgery : TJTES","volume":"31 4","pages":"332-340"},"PeriodicalIF":1.0000,"publicationDate":"2025-04-01","publicationTypes":"Journal Article","fieldsOfStudy":null,"isOpenAccess":false,"openAccessPdf":"https://www.ncbi.nlm.nih.gov/pmc/articles/PMC12000983/pdf/","citationCount":"0","resultStr":"{\"title\":\"Reverse shock index multiplied by simplified motor score as an indicator of clinical outcomes in patients with abdominal trauma in the emergency department: a retrospective cohort study.\",\"authors\":\"Ilker Şirin, Tuğba Sanalp Menekşe, Muzaffer Akkoca\",\"doi\":\"10.14744/tjtes.2025.23798\",\"DOIUrl\":null,\"url\":null,\"abstract\":\"<p><strong>Background: </strong>This study aimed to determine the diagnostic value of the product of the reverse Shock Index (rSI) and the simplified Motor Score (sMS) (rSIsMS) as a predictor of clinical outcomes in patients with abdominal trauma.</p><p><strong>Methods: </strong>Patients who presented with abdominal trauma to the emergency department of a tertiary care hospital between 2023 and 2024 were included in the study. Using the patients' data, we calculated the Abbreviated Injury Scale (AIS), Injury Severity Score (ISS), Revised Trauma Score (RTS), and Trauma and Injury Severity Score (TRISS). Additionally, the rSIsMS and the product of the rSI and Glasgow Coma Scale (GCS) (rSIG) were calculated.</p><p><strong>Results: </strong>A total of 270 patients were included in the study. The diagnostic validity of the TRISS, rSIsMS, and rSIG, which had the highest area under the curve (AUC) values for mortality outcomes, was examined; the AUC values were 0.928, 0.908, and 0.886, respectively. The AUC values of the TRISS and rSIsMS concerning intensive care unit (ICU) needs were 0.844 and 0.852, respectively. With regard to surgical intervention needs, the AUC values of the TRISS and rSIsMS were 0.774 and 0.881, respectively. The diagnostic validity of the rSIsMS for surgical intervention needs was significantly higher than that of the TRISS (p<0.001, DeLong test). Concerning massive transfusion protocol (MTP) requirements, the AUC values of the TRISS and rSIsMS were 0.799 and 0.930, respectively. The diagnostic validity of the rSIsMS for MTP requirements was significantly higher than that of the TRISS (p<0.001, DeLong test).</p><p><strong>Conclusion: </strong>The rSIsMS is superior to other trauma scores in predicting MTP and surgical intervention needs in patients with abdominal trauma, and it performs similarly to other trauma scores in predicting mortality and ICU needs. The ease of calculation and its ability to be obtained at the bedside may further enhance the clinical utility of the rSIsMS in the emergency department.</p>\",\"PeriodicalId\":94263,\"journal\":{\"name\":\"Ulusal travma ve acil cerrahi dergisi = Turkish journal of trauma & emergency surgery : TJTES\",\"volume\":\"31 4\",\"pages\":\"332-340\"},\"PeriodicalIF\":1.0000,\"publicationDate\":\"2025-04-01\",\"publicationTypes\":\"Journal Article\",\"fieldsOfStudy\":null,\"isOpenAccess\":false,\"openAccessPdf\":\"https://www.ncbi.nlm.nih.gov/pmc/articles/PMC12000983/pdf/\",\"citationCount\":\"0\",\"resultStr\":null,\"platform\":\"Semanticscholar\",\"paperid\":null,\"PeriodicalName\":\"Ulusal travma ve acil cerrahi dergisi = Turkish journal of trauma & emergency surgery : TJTES\",\"FirstCategoryId\":\"1085\",\"ListUrlMain\":\"https://doi.org/10.14744/tjtes.2025.23798\",\"RegionNum\":0,\"RegionCategory\":null,\"ArticlePicture\":[],\"TitleCN\":null,\"AbstractTextCN\":null,\"PMCID\":null,\"EPubDate\":\"\",\"PubModel\":\"\",\"JCR\":\"\",\"JCRName\":\"\",\"Score\":null,\"Total\":0}","platform":"Semanticscholar","paperid":null,"PeriodicalName":"Ulusal travma ve acil cerrahi dergisi = Turkish journal of trauma & emergency surgery : TJTES","FirstCategoryId":"1085","ListUrlMain":"https://doi.org/10.14744/tjtes.2025.23798","RegionNum":0,"RegionCategory":null,"ArticlePicture":[],"TitleCN":null,"AbstractTextCN":null,"PMCID":null,"EPubDate":"","PubModel":"","JCR":"","JCRName":"","Score":null,"Total":0}
引用次数: 0

摘要

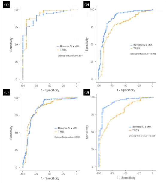
背景:本研究旨在确定反向休克指数(rSI)和简化运动评分(sMS) (risms)乘积作为腹部创伤患者临床预后预测因子的诊断价值。方法:将2023年至2024年间在三级医院急诊科就诊的腹部创伤患者纳入研究。根据患者资料,我们计算了简略损伤量表(AIS)、损伤严重程度评分(ISS)、修订创伤评分(RTS)和创伤和损伤严重程度评分(TRISS)。此外,计算rSI和rSI与格拉斯哥昏迷量表(GCS) (rSIG)的乘积。结果:共纳入270例患者。对死亡率结果曲线下面积(AUC)值最高的TRISS、risms和rSIG的诊断有效性进行了检验;AUC值分别为0.928、0.908和0.886。重症监护病房(ICU)需求的TRISS和risms的AUC值分别为0.844和0.852。在手术干预需求方面,TRISS和rsis的AUC值分别为0.774和0.881。结论:risms在预测腹部创伤患者MTP和手术干预需求方面优于其他创伤评分,在预测死亡率和ICU需求方面与其他创伤评分相似。计算的便利性和在床边获得的能力可能会进一步提高rsis在急诊科的临床应用。
本文章由计算机程序翻译,如有差异,请以英文原文为准。

Reverse shock index multiplied by simplified motor score as an indicator of clinical outcomes in patients with abdominal trauma in the emergency department: a retrospective cohort study.

Reverse shock index multiplied by simplified motor score as an indicator of clinical outcomes in patients with abdominal trauma in the emergency department: a retrospective cohort study.

Reverse shock index multiplied by simplified motor score as an indicator of clinical outcomes in patients with abdominal trauma in the emergency department: a retrospective cohort study.

Background: This study aimed to determine the diagnostic value of the product of the reverse Shock Index (rSI) and the simplified Motor Score (sMS) (rSIsMS) as a predictor of clinical outcomes in patients with abdominal trauma.

Methods: Patients who presented with abdominal trauma to the emergency department of a tertiary care hospital between 2023 and 2024 were included in the study. Using the patients' data, we calculated the Abbreviated Injury Scale (AIS), Injury Severity Score (ISS), Revised Trauma Score (RTS), and Trauma and Injury Severity Score (TRISS). Additionally, the rSIsMS and the product of the rSI and Glasgow Coma Scale (GCS) (rSIG) were calculated.

Results: A total of 270 patients were included in the study. The diagnostic validity of the TRISS, rSIsMS, and rSIG, which had the highest area under the curve (AUC) values for mortality outcomes, was examined; the AUC values were 0.928, 0.908, and 0.886, respectively. The AUC values of the TRISS and rSIsMS concerning intensive care unit (ICU) needs were 0.844 and 0.852, respectively. With regard to surgical intervention needs, the AUC values of the TRISS and rSIsMS were 0.774 and 0.881, respectively. The diagnostic validity of the rSIsMS for surgical intervention needs was significantly higher than that of the TRISS (p<0.001, DeLong test). Concerning massive transfusion protocol (MTP) requirements, the AUC values of the TRISS and rSIsMS were 0.799 and 0.930, respectively. The diagnostic validity of the rSIsMS for MTP requirements was significantly higher than that of the TRISS (p<0.001, DeLong test).

Conclusion: The rSIsMS is superior to other trauma scores in predicting MTP and surgical intervention needs in patients with abdominal trauma, and it performs similarly to other trauma scores in predicting mortality and ICU needs. The ease of calculation and its ability to be obtained at the bedside may further enhance the clinical utility of the rSIsMS in the emergency department.

求助全文
通过发布文献求助,成功后即可免费获取论文全文。 去求助
来源期刊
自引率
0.00%
发文量
0
×
引用
GB/T 7714-2015
复制
MLA
复制
APA
复制
导出至
BibTeX EndNote RefMan NoteFirst NoteExpress
×
提示
您的信息不完整,为了账户安全,请先补充。
现在去补充
×
提示
您因"违规操作"
具体请查看互助需知
我知道了
×
提示
确定
请完成安全验证×
copy
已复制链接
快去分享给好友吧!
我知道了
右上角分享
点击右上角分享
0
联系我们:info@booksci.cn Book学术提供免费学术资源搜索服务,方便国内外学者检索中英文文献。致力于提供最便捷和优质的服务体验。 Copyright © 2023 布克学术 All rights reserved.
京ICP备2023020795号-1
ghs 京公网安备 11010802042870号
Book学术文献互助
Book学术文献互助群
群 号:604180095
Book学术官方微信