哮喘合并症对慢性鼻窦炎鼻息肉患者生活质量的影响。

IF 3 3区 医学 Q2 ALLERGY
Journal of Asthma and Allergy Pub Date : 2025-04-17 eCollection Date: 2025-01-01 DOI:10.2147/JAA.S517258
Pei-Wen Wu, Po-Hung Chang, Chi-Che Huang, Ta-Jen Lee, Yu-Hsi Fan, Chien-Chia Huang
{"title":"哮喘合并症对慢性鼻窦炎鼻息肉患者生活质量的影响。","authors":"Pei-Wen Wu, Po-Hung Chang, Chi-Che Huang, Ta-Jen Lee, Yu-Hsi Fan, Chien-Chia Huang","doi":"10.2147/JAA.S517258","DOIUrl":null,"url":null,"abstract":"<p><strong>Objective: </strong>This study aimed to characterize the clinical features of patients with comorbid asthma and chronic rhinosinusitis with nasal polyps and to evaluate the impact of comorbid asthma on the quality of life of these patients.</p><p><strong>Methods: </strong>Adult patients with bilateral chronic rhinosinusitis with nasal polyps scheduled for sinus surgery were prospectively enrolled. Clinical information of the participants, including laboratory data and computed tomography images. The Sinonasal Outcome Test-22 was used to evaluate nasal symptoms and quality of life impairment of participants.</p><p><strong>Results: </strong>A total of 170 participants were recruited, of whom 32 (18.8%) had comorbid asthma. Compared to patients with chronic rhinosinusitis with nasal polyps and without comorbid asthma, patients with asthma exhibited significant higher age, computed tomography ethmoid/maxillary ratio, computed tomography olfactory cleft opacification score, serum total IgE, serum eosinophil cationic protein levels, and blood and tissue eosinophil count. Patients with comorbid chronic rhinosinusitis with nasal polyps and asthma exhibited significant higher total, and rhinologic- and sleep-related domains of the Sinonasal Outcome Test-22 than did those without comorbid asthma.</p><p><strong>Conclusion: </strong>Comorbid asthma is associated with more severe type 2 eosinophilic inflammation and has a significant impact on the nasal symptoms and quality of life of patients with chronic rhinosinusitis with nasal polyps, particularly as shown in the rhinologic- and sleep-related domains of the Sinonasal Outcome Test-22. This information may assist physicians in decision-making when treating these patients.</p>","PeriodicalId":15079,"journal":{"name":"Journal of Asthma and Allergy","volume":"18 ","pages":"567-578"},"PeriodicalIF":3.0000,"publicationDate":"2025-04-17","publicationTypes":"Journal Article","fieldsOfStudy":null,"isOpenAccess":false,"openAccessPdf":"https://www.ncbi.nlm.nih.gov/pmc/articles/PMC12011049/pdf/","citationCount":"0","resultStr":"{\"title\":\"Impact of Comorbid Asthma on Life Quality of Patients with Chronic Rhinosinusitis and Nasal Polyps.\",\"authors\":\"Pei-Wen Wu, Po-Hung Chang, Chi-Che Huang, Ta-Jen Lee, Yu-Hsi Fan, Chien-Chia Huang\",\"doi\":\"10.2147/JAA.S517258\",\"DOIUrl\":null,\"url\":null,\"abstract\":\"<p><strong>Objective: </strong>This study aimed to characterize the clinical features of patients with comorbid asthma and chronic rhinosinusitis with nasal polyps and to evaluate the impact of comorbid asthma on the quality of life of these patients.</p><p><strong>Methods: </strong>Adult patients with bilateral chronic rhinosinusitis with nasal polyps scheduled for sinus surgery were prospectively enrolled. Clinical information of the participants, including laboratory data and computed tomography images. The Sinonasal Outcome Test-22 was used to evaluate nasal symptoms and quality of life impairment of participants.</p><p><strong>Results: </strong>A total of 170 participants were recruited, of whom 32 (18.8%) had comorbid asthma. Compared to patients with chronic rhinosinusitis with nasal polyps and without comorbid asthma, patients with asthma exhibited significant higher age, computed tomography ethmoid/maxillary ratio, computed tomography olfactory cleft opacification score, serum total IgE, serum eosinophil cationic protein levels, and blood and tissue eosinophil count. Patients with comorbid chronic rhinosinusitis with nasal polyps and asthma exhibited significant higher total, and rhinologic- and sleep-related domains of the Sinonasal Outcome Test-22 than did those without comorbid asthma.</p><p><strong>Conclusion: </strong>Comorbid asthma is associated with more severe type 2 eosinophilic inflammation and has a significant impact on the nasal symptoms and quality of life of patients with chronic rhinosinusitis with nasal polyps, particularly as shown in the rhinologic- and sleep-related domains of the Sinonasal Outcome Test-22. This information may assist physicians in decision-making when treating these patients.</p>\",\"PeriodicalId\":15079,\"journal\":{\"name\":\"Journal of Asthma and Allergy\",\"volume\":\"18 \",\"pages\":\"567-578\"},\"PeriodicalIF\":3.0000,\"publicationDate\":\"2025-04-17\",\"publicationTypes\":\"Journal Article\",\"fieldsOfStudy\":null,\"isOpenAccess\":false,\"openAccessPdf\":\"https://www.ncbi.nlm.nih.gov/pmc/articles/PMC12011049/pdf/\",\"citationCount\":\"0\",\"resultStr\":null,\"platform\":\"Semanticscholar\",\"paperid\":null,\"PeriodicalName\":\"Journal of Asthma and Allergy\",\"FirstCategoryId\":\"3\",\"ListUrlMain\":\"https://doi.org/10.2147/JAA.S517258\",\"RegionNum\":3,\"RegionCategory\":\"医学\",\"ArticlePicture\":[],\"TitleCN\":null,\"AbstractTextCN\":null,\"PMCID\":null,\"EPubDate\":\"2025/1/1 0:00:00\",\"PubModel\":\"eCollection\",\"JCR\":\"Q2\",\"JCRName\":\"ALLERGY\",\"Score\":null,\"Total\":0}","platform":"Semanticscholar","paperid":null,"PeriodicalName":"Journal of Asthma and Allergy","FirstCategoryId":"3","ListUrlMain":"https://doi.org/10.2147/JAA.S517258","RegionNum":3,"RegionCategory":"医学","ArticlePicture":[],"TitleCN":null,"AbstractTextCN":null,"PMCID":null,"EPubDate":"2025/1/1 0:00:00","PubModel":"eCollection","JCR":"Q2","JCRName":"ALLERGY","Score":null,"Total":0}
引用次数: 0

摘要

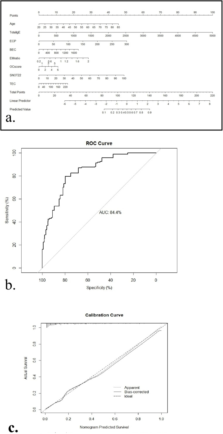
目的:探讨哮喘合并慢性鼻窦炎合并鼻息肉患者的临床特征,并评价哮喘合并鼻窦炎对患者生活质量的影响。方法:前瞻性纳入拟行鼻窦手术的双侧慢性鼻窦炎合并鼻息肉的成年患者。参与者的临床信息,包括实验室数据和计算机断层扫描图像。使用鼻窦预后测试-22来评估参与者的鼻部症状和生活质量损害。结果:共招募了170名参与者,其中32名(18.8%)患有共病哮喘。与合并鼻息肉的慢性鼻窦炎患者相比,哮喘患者的年龄、ct筛/上颌比值、ct嗅裂混浊评分、血清总IgE、血清嗜酸性粒细胞阳离子蛋白水平、血液和组织嗜酸性粒细胞计数均显著高于合并鼻息肉的慢性鼻窦炎患者。合并慢性鼻窦炎并鼻息肉和哮喘的患者在鼻窦预后测试22中表现出显著高于未合并哮喘的患者。结论:哮喘合并症与更严重的2型嗜酸性粒细胞炎症相关,并对慢性鼻窦炎伴鼻息肉患者的鼻症状和生活质量有显著影响,特别是在鼻窦预后测试(Sinonasal Outcome test)的鼻和睡眠相关领域22中显示。这些信息可以帮助医生在治疗这些患者时做出决策。
本文章由计算机程序翻译,如有差异,请以英文原文为准。

Impact of Comorbid Asthma on Life Quality of Patients with Chronic Rhinosinusitis and Nasal Polyps.

Impact of Comorbid Asthma on Life Quality of Patients with Chronic Rhinosinusitis and Nasal Polyps.

Impact of Comorbid Asthma on Life Quality of Patients with Chronic Rhinosinusitis and Nasal Polyps.

Objective: This study aimed to characterize the clinical features of patients with comorbid asthma and chronic rhinosinusitis with nasal polyps and to evaluate the impact of comorbid asthma on the quality of life of these patients.

Methods: Adult patients with bilateral chronic rhinosinusitis with nasal polyps scheduled for sinus surgery were prospectively enrolled. Clinical information of the participants, including laboratory data and computed tomography images. The Sinonasal Outcome Test-22 was used to evaluate nasal symptoms and quality of life impairment of participants.

Results: A total of 170 participants were recruited, of whom 32 (18.8%) had comorbid asthma. Compared to patients with chronic rhinosinusitis with nasal polyps and without comorbid asthma, patients with asthma exhibited significant higher age, computed tomography ethmoid/maxillary ratio, computed tomography olfactory cleft opacification score, serum total IgE, serum eosinophil cationic protein levels, and blood and tissue eosinophil count. Patients with comorbid chronic rhinosinusitis with nasal polyps and asthma exhibited significant higher total, and rhinologic- and sleep-related domains of the Sinonasal Outcome Test-22 than did those without comorbid asthma.

Conclusion: Comorbid asthma is associated with more severe type 2 eosinophilic inflammation and has a significant impact on the nasal symptoms and quality of life of patients with chronic rhinosinusitis with nasal polyps, particularly as shown in the rhinologic- and sleep-related domains of the Sinonasal Outcome Test-22. This information may assist physicians in decision-making when treating these patients.

求助全文
通过发布文献求助,成功后即可免费获取论文全文。 去求助
来源期刊
Journal of Asthma and Allergy
Journal of Asthma and Allergy Medicine-Immunology and Allergy
CiteScore
5.30
自引率
6.20%
发文量
185
审稿时长
16 weeks
期刊介绍: An international, peer-reviewed journal publishing original research, reports, editorials and commentaries on the following topics: Asthma; Pulmonary physiology; Asthma related clinical health; Clinical immunology and the immunological basis of disease; Pharmacological interventions and new therapies. Although the main focus of the journal will be to publish research and clinical results in humans, preclinical, animal and in vitro studies will be published where they shed light on disease processes and potential new therapies.
×
引用
GB/T 7714-2015
复制
MLA
复制
APA
复制
导出至
BibTeX EndNote RefMan NoteFirst NoteExpress
×
提示
您的信息不完整,为了账户安全,请先补充。
现在去补充
×
提示
您因"违规操作"
具体请查看互助需知
我知道了
×
提示
确定
请完成安全验证×
copy
已复制链接
快去分享给好友吧!
我知道了
右上角分享
点击右上角分享
0
联系我们:info@booksci.cn Book学术提供免费学术资源搜索服务,方便国内外学者检索中英文文献。致力于提供最便捷和优质的服务体验。 Copyright © 2023 布克学术 All rights reserved.
京ICP备2023020795号-1
ghs 京公网安备 11010802042870号
Book学术文献互助
Book学术文献互助群
群 号:604180095
Book学术官方微信