评估心率碎片化预测65岁人群心房颤动:PROOF-AF研究

European heart journal open Pub Date : 2025-03-19 eCollection Date: 2025-05-01 DOI:10.1093/ehjopen/oeaf030
Jean-Baptiste Guichard, David Hupin, Vincent Pichot, Mathieu Berger, Sébastien Celle, Roger Borràs, Ivo Roca-Luque, Lluís Mont, Antoine Da Costa, Jean-Claude Barthélémy, Frédéric Roche
{"title":"评估心率碎片化预测65岁人群心房颤动:PROOF-AF研究","authors":"Jean-Baptiste Guichard, David Hupin, Vincent Pichot, Mathieu Berger, Sébastien Celle, Roger Borràs, Ivo Roca-Luque, Lluís Mont, Antoine Da Costa, Jean-Claude Barthélémy, Frédéric Roche","doi":"10.1093/ehjopen/oeaf030","DOIUrl":null,"url":null,"abstract":"<p><strong>Aims: </strong>Screening the general population aged 65 for atrial fibrillation (AF) has been proposed as a preventive measure against potential complications. Metrics derived from heart rate variability (HRV) that depict heart rate fragmentation (HRF) have been suggested to reflect autonomic nervous system dysfunction. The aim of the study was to assess the predictive capacity of HRV markers, including HRF, for AF occurrence over an 18-year follow-up and to develop a predictive score for AF onset among the general population aged 65 at the study's inception.</p><p><strong>Methods and results: </strong>The PROOF prospective cohort consisted of 1011 subjects aged 65 with no history of AF nor history of cardiovascular disease. A 24 h Holter-electrocardiogram was performed at baseline and HRV, from which HRV indices using temporal, frequency, and non-linear methods, and the percentage of inflection points (PIPs) were calculated. The PROOF cohort demonstrated a cumulative incidence of AF of 13.0% during a median follow-up of 17.8 years. Male gender, hypertension, decreased heart rate and α1, and increased premature atrial complex burden, PNN50, and PIP were independent predictors of AF occurrence. Subsequently, the PROOF-AF risk score was developed, ranging from 0 to 7, providing interesting predictive capacity [area under the curve (AUC) = 70.1%, negative predictive value = 92.0%, and accuracy = 72.0%]. The high-risk group (PROOF-AF score from 5 to 7) and the intermediate-risk group (PROOF-AF score from 2 to 4) exhibited a 16.8- and 5.4-fold higher risk, respectively, of developing AF.</p><p><strong>Conclusion: </strong>Heart rate fragmentation parameters, included in the PROOF-AF score, may be used to identify healthy individuals aged 65 who are at high risk of developing AF and assist population screening.</p>","PeriodicalId":93995,"journal":{"name":"European heart journal open","volume":"5 3","pages":"oeaf030"},"PeriodicalIF":0.0000,"publicationDate":"2025-03-19","publicationTypes":"Journal Article","fieldsOfStudy":null,"isOpenAccess":false,"openAccessPdf":"https://www.ncbi.nlm.nih.gov/pmc/articles/PMC12042749/pdf/","citationCount":"0","resultStr":"{\"title\":\"Assessing heart rate fragmentation to predict atrial fibrillation in the general population aged 65: the PROOF-AF study.\",\"authors\":\"Jean-Baptiste Guichard, David Hupin, Vincent Pichot, Mathieu Berger, Sébastien Celle, Roger Borràs, Ivo Roca-Luque, Lluís Mont, Antoine Da Costa, Jean-Claude Barthélémy, Frédéric Roche\",\"doi\":\"10.1093/ehjopen/oeaf030\",\"DOIUrl\":null,\"url\":null,\"abstract\":\"<p><strong>Aims: </strong>Screening the general population aged 65 for atrial fibrillation (AF) has been proposed as a preventive measure against potential complications. Metrics derived from heart rate variability (HRV) that depict heart rate fragmentation (HRF) have been suggested to reflect autonomic nervous system dysfunction. The aim of the study was to assess the predictive capacity of HRV markers, including HRF, for AF occurrence over an 18-year follow-up and to develop a predictive score for AF onset among the general population aged 65 at the study's inception.</p><p><strong>Methods and results: </strong>The PROOF prospective cohort consisted of 1011 subjects aged 65 with no history of AF nor history of cardiovascular disease. A 24 h Holter-electrocardiogram was performed at baseline and HRV, from which HRV indices using temporal, frequency, and non-linear methods, and the percentage of inflection points (PIPs) were calculated. The PROOF cohort demonstrated a cumulative incidence of AF of 13.0% during a median follow-up of 17.8 years. Male gender, hypertension, decreased heart rate and α1, and increased premature atrial complex burden, PNN50, and PIP were independent predictors of AF occurrence. Subsequently, the PROOF-AF risk score was developed, ranging from 0 to 7, providing interesting predictive capacity [area under the curve (AUC) = 70.1%, negative predictive value = 92.0%, and accuracy = 72.0%]. The high-risk group (PROOF-AF score from 5 to 7) and the intermediate-risk group (PROOF-AF score from 2 to 4) exhibited a 16.8- and 5.4-fold higher risk, respectively, of developing AF.</p><p><strong>Conclusion: </strong>Heart rate fragmentation parameters, included in the PROOF-AF score, may be used to identify healthy individuals aged 65 who are at high risk of developing AF and assist population screening.</p>\",\"PeriodicalId\":93995,\"journal\":{\"name\":\"European heart journal open\",\"volume\":\"5 3\",\"pages\":\"oeaf030\"},\"PeriodicalIF\":0.0000,\"publicationDate\":\"2025-03-19\",\"publicationTypes\":\"Journal Article\",\"fieldsOfStudy\":null,\"isOpenAccess\":false,\"openAccessPdf\":\"https://www.ncbi.nlm.nih.gov/pmc/articles/PMC12042749/pdf/\",\"citationCount\":\"0\",\"resultStr\":null,\"platform\":\"Semanticscholar\",\"paperid\":null,\"PeriodicalName\":\"European heart journal open\",\"FirstCategoryId\":\"1085\",\"ListUrlMain\":\"https://doi.org/10.1093/ehjopen/oeaf030\",\"RegionNum\":0,\"RegionCategory\":null,\"ArticlePicture\":[],\"TitleCN\":null,\"AbstractTextCN\":null,\"PMCID\":null,\"EPubDate\":\"2025/5/1 0:00:00\",\"PubModel\":\"eCollection\",\"JCR\":\"\",\"JCRName\":\"\",\"Score\":null,\"Total\":0}","platform":"Semanticscholar","paperid":null,"PeriodicalName":"European heart journal open","FirstCategoryId":"1085","ListUrlMain":"https://doi.org/10.1093/ehjopen/oeaf030","RegionNum":0,"RegionCategory":null,"ArticlePicture":[],"TitleCN":null,"AbstractTextCN":null,"PMCID":null,"EPubDate":"2025/5/1 0:00:00","PubModel":"eCollection","JCR":"","JCRName":"","Score":null,"Total":0}
引用次数: 0

摘要

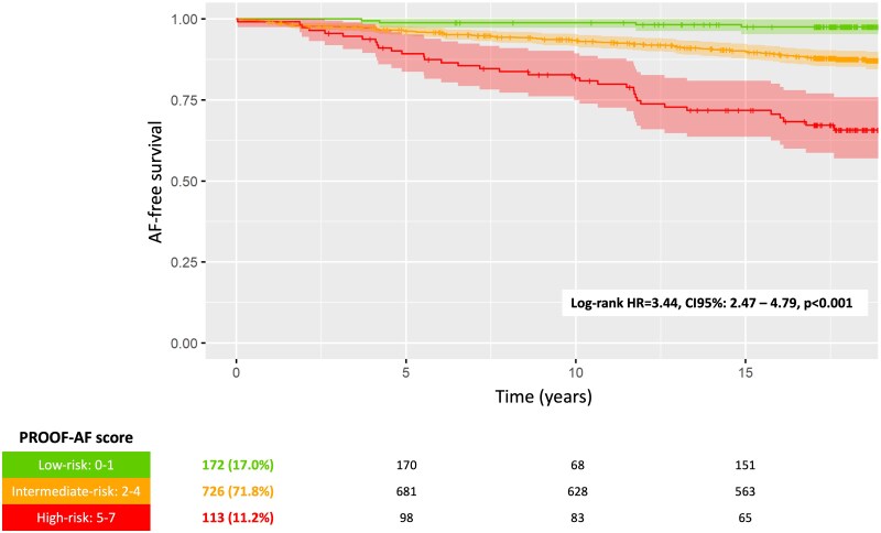
目的:对65岁的普通人群进行房颤(AF)筛查是预防潜在并发症的一项措施。从心率变异性(HRV)衍生的指标描述心率碎片(HRF)被认为反映自主神经系统功能障碍。该研究的目的是评估HRV标志物(包括HRF)在18年随访期间对房颤发生的预测能力,并在研究开始时对65岁的普通人群进行房颤发作的预测评分。方法和结果:PROOF前瞻性队列包括1011名年龄65岁、无房颤史和心血管疾病史的受试者。在基线和HRV下进行24小时动态心电图,计算HRV指数(时间、频率和非线性方法)和拐点百分比(pip)。PROOF队列显示,在17.8年的中位随访期间,AF的累积发病率为13.0%。男性、高血压、心率和α1降低、早房复合体负担增加、PNN50、PIP是房颤发生的独立预测因素。随后,我们制定了PROOF-AF风险评分,评分范围从0到7,提供了有趣的预测能力[曲线下面积(AUC) = 70.1%,阴性预测值= 92.0%,准确率= 72.0%]。高风险组(PROOF-AF评分从5到7)和中危组(PROOF-AF评分从2到4)发生房颤的风险分别高出16.8倍和5.4倍。结论:包含在PROOF-AF评分中的心率碎片参数可用于识别65岁健康人群发生房颤的高风险,并有助于人群筛查。
本文章由计算机程序翻译,如有差异,请以英文原文为准。

Assessing heart rate fragmentation to predict atrial fibrillation in the general population aged 65: the PROOF-AF study.

Assessing heart rate fragmentation to predict atrial fibrillation in the general population aged 65: the PROOF-AF study.

Assessing heart rate fragmentation to predict atrial fibrillation in the general population aged 65: the PROOF-AF study.

Assessing heart rate fragmentation to predict atrial fibrillation in the general population aged 65: the PROOF-AF study.

Aims: Screening the general population aged 65 for atrial fibrillation (AF) has been proposed as a preventive measure against potential complications. Metrics derived from heart rate variability (HRV) that depict heart rate fragmentation (HRF) have been suggested to reflect autonomic nervous system dysfunction. The aim of the study was to assess the predictive capacity of HRV markers, including HRF, for AF occurrence over an 18-year follow-up and to develop a predictive score for AF onset among the general population aged 65 at the study's inception.

Methods and results: The PROOF prospective cohort consisted of 1011 subjects aged 65 with no history of AF nor history of cardiovascular disease. A 24 h Holter-electrocardiogram was performed at baseline and HRV, from which HRV indices using temporal, frequency, and non-linear methods, and the percentage of inflection points (PIPs) were calculated. The PROOF cohort demonstrated a cumulative incidence of AF of 13.0% during a median follow-up of 17.8 years. Male gender, hypertension, decreased heart rate and α1, and increased premature atrial complex burden, PNN50, and PIP were independent predictors of AF occurrence. Subsequently, the PROOF-AF risk score was developed, ranging from 0 to 7, providing interesting predictive capacity [area under the curve (AUC) = 70.1%, negative predictive value = 92.0%, and accuracy = 72.0%]. The high-risk group (PROOF-AF score from 5 to 7) and the intermediate-risk group (PROOF-AF score from 2 to 4) exhibited a 16.8- and 5.4-fold higher risk, respectively, of developing AF.

Conclusion: Heart rate fragmentation parameters, included in the PROOF-AF score, may be used to identify healthy individuals aged 65 who are at high risk of developing AF and assist population screening.

求助全文
通过发布文献求助,成功后即可免费获取论文全文。 去求助
来源期刊
CiteScore
2.80
自引率
0.00%
发文量
0
×
引用
GB/T 7714-2015
复制
MLA
复制
APA
复制
导出至
BibTeX EndNote RefMan NoteFirst NoteExpress
×
提示
您的信息不完整,为了账户安全,请先补充。
现在去补充
×
提示
您因"违规操作"
具体请查看互助需知
我知道了
×
提示
确定
请完成安全验证×
copy
已复制链接
快去分享给好友吧!
我知道了
右上角分享
点击右上角分享
0
联系我们:info@booksci.cn Book学术提供免费学术资源搜索服务,方便国内外学者检索中英文文献。致力于提供最便捷和优质的服务体验。 Copyright © 2023 布克学术 All rights reserved.
京ICP备2023020795号-1
ghs 京公网安备 11010802042870号
Book学术文献互助
Book学术文献互助群
群 号:604180095
Book学术官方微信