基于贝叶斯模型的聚类中的维数诅咒。

IF 5.2 3区 计算机科学 Q1 AUTOMATION & CONTROL SYSTEMS
Journal of Machine Learning Research Pub Date : 2023-04-01
Noirrit Kiran Chandra, Antonio Canale, David B Dunson
{"title":"基于贝叶斯模型的聚类中的维数诅咒。","authors":"Noirrit Kiran Chandra, Antonio Canale, David B Dunson","doi":"","DOIUrl":null,"url":null,"abstract":"<p><p>Bayesian mixture models are widely used for clustering of high-dimensional data with appropriate uncertainty quantification. However, as the dimension of the observations increases, posterior inference often tends to favor too many or too few clusters. This article explains this behavior by studying the random partition posterior in a non-standard setting with a fixed sample size and increasing data dimensionality. We provide conditions under which the finite sample posterior tends to either assign every observation to a different cluster or all observations to the same cluster as the dimension grows. Interestingly, the conditions do not depend on the choice of clustering prior, as long as all possible partitions of observations into clusters have positive prior probabilities, and hold irrespective of the true data-generating model. We then propose a class of latent mixtures for Bayesian clustering (Lamb) on a set of low-dimensional latent variables inducing a partition on the observed data. The model is amenable to scalable posterior inference and we show that it can avoid the pitfalls of high-dimensionality under mild assumptions. The proposed approach is shown to have good performance in simulation studies and an application to inferring cell types based on scRNAseq.</p>","PeriodicalId":50161,"journal":{"name":"Journal of Machine Learning Research","volume":"24 ","pages":""},"PeriodicalIF":5.2000,"publicationDate":"2023-04-01","publicationTypes":"Journal Article","fieldsOfStudy":null,"isOpenAccess":false,"openAccessPdf":"https://www.ncbi.nlm.nih.gov/pmc/articles/PMC11999651/pdf/","citationCount":"0","resultStr":"{\"title\":\"Escaping The Curse of Dimensionality in Bayesian Model-Based Clustering.\",\"authors\":\"Noirrit Kiran Chandra, Antonio Canale, David B Dunson\",\"doi\":\"\",\"DOIUrl\":null,\"url\":null,\"abstract\":\"<p><p>Bayesian mixture models are widely used for clustering of high-dimensional data with appropriate uncertainty quantification. However, as the dimension of the observations increases, posterior inference often tends to favor too many or too few clusters. This article explains this behavior by studying the random partition posterior in a non-standard setting with a fixed sample size and increasing data dimensionality. We provide conditions under which the finite sample posterior tends to either assign every observation to a different cluster or all observations to the same cluster as the dimension grows. Interestingly, the conditions do not depend on the choice of clustering prior, as long as all possible partitions of observations into clusters have positive prior probabilities, and hold irrespective of the true data-generating model. We then propose a class of latent mixtures for Bayesian clustering (Lamb) on a set of low-dimensional latent variables inducing a partition on the observed data. The model is amenable to scalable posterior inference and we show that it can avoid the pitfalls of high-dimensionality under mild assumptions. The proposed approach is shown to have good performance in simulation studies and an application to inferring cell types based on scRNAseq.</p>\",\"PeriodicalId\":50161,\"journal\":{\"name\":\"Journal of Machine Learning Research\",\"volume\":\"24 \",\"pages\":\"\"},\"PeriodicalIF\":5.2000,\"publicationDate\":\"2023-04-01\",\"publicationTypes\":\"Journal Article\",\"fieldsOfStudy\":null,\"isOpenAccess\":false,\"openAccessPdf\":\"https://www.ncbi.nlm.nih.gov/pmc/articles/PMC11999651/pdf/\",\"citationCount\":\"0\",\"resultStr\":null,\"platform\":\"Semanticscholar\",\"paperid\":null,\"PeriodicalName\":\"Journal of Machine Learning Research\",\"FirstCategoryId\":\"94\",\"ListUrlMain\":\"\",\"RegionNum\":3,\"RegionCategory\":\"计算机科学\",\"ArticlePicture\":[],\"TitleCN\":null,\"AbstractTextCN\":null,\"PMCID\":null,\"EPubDate\":\"\",\"PubModel\":\"\",\"JCR\":\"Q1\",\"JCRName\":\"AUTOMATION & CONTROL SYSTEMS\",\"Score\":null,\"Total\":0}","platform":"Semanticscholar","paperid":null,"PeriodicalName":"Journal of Machine Learning Research","FirstCategoryId":"94","ListUrlMain":"","RegionNum":3,"RegionCategory":"计算机科学","ArticlePicture":[],"TitleCN":null,"AbstractTextCN":null,"PMCID":null,"EPubDate":"","PubModel":"","JCR":"Q1","JCRName":"AUTOMATION & CONTROL SYSTEMS","Score":null,"Total":0}
引用次数: 0

摘要

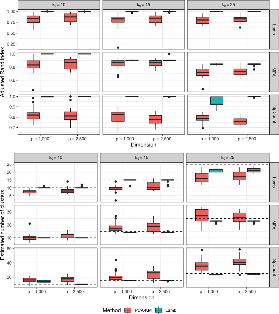
贝叶斯混合模型广泛用于高维数据的聚类,并对其进行适当的不确定性量化。然而,随着观察的维度增加,后验推理往往倾向于支持太多或太少的集群。本文通过研究固定样本量和增加数据维数的非标准设置下的随机后验分割来解释这种行为。我们提供了一些条件,在这些条件下,随着维数的增长,有限样本后验倾向于将每个观测值分配到不同的聚类,或者将所有观测值分配到同一聚类。有趣的是,这些条件并不依赖于聚类先验的选择,只要所有可能的观察划分到聚类中都具有正先验概率,并且与真实的数据生成模型无关。然后,我们提出了一类用于贝叶斯聚类(Lamb)的潜在混合在一组低维潜在变量上引起对观测数据的划分。该模型适用于可扩展的后验推理,并且在温和的假设条件下可以避免高维的缺陷。该方法在仿真研究和基于scRNAseq的细胞类型推断中具有良好的性能。
本文章由计算机程序翻译,如有差异,请以英文原文为准。

Escaping The Curse of Dimensionality in Bayesian Model-Based Clustering.

Escaping The Curse of Dimensionality in Bayesian Model-Based Clustering.

Escaping The Curse of Dimensionality in Bayesian Model-Based Clustering.

Escaping The Curse of Dimensionality in Bayesian Model-Based Clustering.

Bayesian mixture models are widely used for clustering of high-dimensional data with appropriate uncertainty quantification. However, as the dimension of the observations increases, posterior inference often tends to favor too many or too few clusters. This article explains this behavior by studying the random partition posterior in a non-standard setting with a fixed sample size and increasing data dimensionality. We provide conditions under which the finite sample posterior tends to either assign every observation to a different cluster or all observations to the same cluster as the dimension grows. Interestingly, the conditions do not depend on the choice of clustering prior, as long as all possible partitions of observations into clusters have positive prior probabilities, and hold irrespective of the true data-generating model. We then propose a class of latent mixtures for Bayesian clustering (Lamb) on a set of low-dimensional latent variables inducing a partition on the observed data. The model is amenable to scalable posterior inference and we show that it can avoid the pitfalls of high-dimensionality under mild assumptions. The proposed approach is shown to have good performance in simulation studies and an application to inferring cell types based on scRNAseq.

求助全文
通过发布文献求助,成功后即可免费获取论文全文。 去求助
来源期刊
Journal of Machine Learning Research
Journal of Machine Learning Research 工程技术-计算机:人工智能
CiteScore
18.80
自引率
0.00%
发文量
2
审稿时长
3 months
期刊介绍: The Journal of Machine Learning Research (JMLR) provides an international forum for the electronic and paper publication of high-quality scholarly articles in all areas of machine learning. All published papers are freely available online. JMLR has a commitment to rigorous yet rapid reviewing. JMLR seeks previously unpublished papers on machine learning that contain: new principled algorithms with sound empirical validation, and with justification of theoretical, psychological, or biological nature; experimental and/or theoretical studies yielding new insight into the design and behavior of learning in intelligent systems; accounts of applications of existing techniques that shed light on the strengths and weaknesses of the methods; formalization of new learning tasks (e.g., in the context of new applications) and of methods for assessing performance on those tasks; development of new analytical frameworks that advance theoretical studies of practical learning methods; computational models of data from natural learning systems at the behavioral or neural level; or extremely well-written surveys of existing work.
×
引用
GB/T 7714-2015
复制
MLA
复制
APA
复制
导出至
BibTeX EndNote RefMan NoteFirst NoteExpress
×
提示
您的信息不完整,为了账户安全,请先补充。
现在去补充
×
提示
您因"违规操作"
具体请查看互助需知
我知道了
×
提示
确定
请完成安全验证×
copy
已复制链接
快去分享给好友吧!
我知道了
右上角分享
点击右上角分享
0
联系我们:info@booksci.cn Book学术提供免费学术资源搜索服务,方便国内外学者检索中英文文献。致力于提供最便捷和优质的服务体验。 Copyright © 2023 布克学术 All rights reserved.
京ICP备2023020795号-1
ghs 京公网安备 11010802042870号
Book学术文献互助
Book学术文献互助群
群 号:604180095
Book学术官方微信