抗合成酶综合征和系统性硬化症免疫抑制治疗后间质性肺病的动态变化不同。

IF 3 3区 医学 Q2 RESPIRATORY SYSTEM
Ophir Freund, Tali Eviatar, Roni Meidan, Tamar Shalmon, Dana Stav, Tzlil Hershko, Tal Moshe Perluk, Ori Wand, Sonia Schneer, Yochai Adir, David Shitrit, Ori Elkayam, Amir Bar-Shai, Avraham Unterman
{"title":"抗合成酶综合征和系统性硬化症免疫抑制治疗后间质性肺病的动态变化不同。","authors":"Ophir Freund, Tali Eviatar, Roni Meidan, Tamar Shalmon, Dana Stav, Tzlil Hershko, Tal Moshe Perluk, Ori Wand, Sonia Schneer, Yochai Adir, David Shitrit, Ori Elkayam, Amir Bar-Shai, Avraham Unterman","doi":"10.1177/17534666251336896","DOIUrl":null,"url":null,"abstract":"<p><strong>Background: </strong>Interstitial lung disease (ILD) is the main clinical feature of antisynthetase syndrome (ASS). In the absence of randomized controlled trials to guide therapy, treatment strategies are often extrapolated from other diseases, mainly systemic sclerosis (SSc).</p><p><strong>Objectives: </strong>Our aim was to evaluate the dynamics of ILD severity following immunosuppressive treatment (IST) in ASS compared to SSc.</p><p><strong>Design: </strong>A multicenter retrospective observational study.</p><p><strong>Methods: </strong>ASS (<i>n</i> = 22) and SSc (<i>n</i> = 32) subjects with ILD were included in the registries of three medical centers. All patients received ISTs. We analyzed changes in forced vital capacity (FVC) and diffusion capacity for carbon monoxide corrected for hemoglobin (DLCOc) after treatment initiation using linear mixed-effects models. Changes in high-resolution chest CT scans were analyzed by a radiologist blinded to clinical data.</p><p><strong>Results: </strong>The median (interquartile range) age was 66 (59-71), 72% were females, and 81% of IST included mycophenolate mofetil (MMF). Baseline demographics, comorbidities, and pulmonary functions were similar between the groups. Among the ASS group, the mixed-effects models showed significant improvements in FVC% (<i>F</i> = 11.3, <i>p</i> < 0.01) and DLCOc% (<i>F</i> = 7.1, <i>p</i> = 0.015) after treatment initiation over time, while in the SSc group, there were no significant changes in FVC% (<i>F</i> = 0.4, <i>p</i> = 0.551) and DLCOc% (<i>F</i> = 0.8, <i>p</i> = 0.384). Changes in FVC% and DLCOc% were higher in the ASS group compared with SSc (<i>p</i> = 0.017 and <i>p</i> < 0.01, respectively), which persisted after adjustment to steroid use and in a sub-analysis of patients with serial pre- and post-IST pulmonary functions. Both groups had improved total CT scores after IST, without changes in other radiologic scores.</p><p><strong>Conclusion: </strong>Immunosuppressive treatment, mostly with MMF, was associated with significant improvement of FVC% and DLCOc% in ASS, compared to their stabilization only in SSc. This should encourage future randomized controlled studies of MMF in ASS patients.</p>","PeriodicalId":22884,"journal":{"name":"Therapeutic Advances in Respiratory Disease","volume":"19 ","pages":"17534666251336896"},"PeriodicalIF":3.0000,"publicationDate":"2025-01-01","publicationTypes":"Journal Article","fieldsOfStudy":null,"isOpenAccess":false,"openAccessPdf":"https://www.ncbi.nlm.nih.gov/pmc/articles/PMC12062639/pdf/","citationCount":"0","resultStr":"{\"title\":\"Dynamics of interstitial lung disease following immunosuppressive treatment differ between antisynthetase syndrome and systemic sclerosis.\",\"authors\":\"Ophir Freund, Tali Eviatar, Roni Meidan, Tamar Shalmon, Dana Stav, Tzlil Hershko, Tal Moshe Perluk, Ori Wand, Sonia Schneer, Yochai Adir, David Shitrit, Ori Elkayam, Amir Bar-Shai, Avraham Unterman\",\"doi\":\"10.1177/17534666251336896\",\"DOIUrl\":null,\"url\":null,\"abstract\":\"<p><strong>Background: </strong>Interstitial lung disease (ILD) is the main clinical feature of antisynthetase syndrome (ASS). In the absence of randomized controlled trials to guide therapy, treatment strategies are often extrapolated from other diseases, mainly systemic sclerosis (SSc).</p><p><strong>Objectives: </strong>Our aim was to evaluate the dynamics of ILD severity following immunosuppressive treatment (IST) in ASS compared to SSc.</p><p><strong>Design: </strong>A multicenter retrospective observational study.</p><p><strong>Methods: </strong>ASS (<i>n</i> = 22) and SSc (<i>n</i> = 32) subjects with ILD were included in the registries of three medical centers. All patients received ISTs. We analyzed changes in forced vital capacity (FVC) and diffusion capacity for carbon monoxide corrected for hemoglobin (DLCOc) after treatment initiation using linear mixed-effects models. Changes in high-resolution chest CT scans were analyzed by a radiologist blinded to clinical data.</p><p><strong>Results: </strong>The median (interquartile range) age was 66 (59-71), 72% were females, and 81% of IST included mycophenolate mofetil (MMF). Baseline demographics, comorbidities, and pulmonary functions were similar between the groups. Among the ASS group, the mixed-effects models showed significant improvements in FVC% (<i>F</i> = 11.3, <i>p</i> < 0.01) and DLCOc% (<i>F</i> = 7.1, <i>p</i> = 0.015) after treatment initiation over time, while in the SSc group, there were no significant changes in FVC% (<i>F</i> = 0.4, <i>p</i> = 0.551) and DLCOc% (<i>F</i> = 0.8, <i>p</i> = 0.384). Changes in FVC% and DLCOc% were higher in the ASS group compared with SSc (<i>p</i> = 0.017 and <i>p</i> < 0.01, respectively), which persisted after adjustment to steroid use and in a sub-analysis of patients with serial pre- and post-IST pulmonary functions. Both groups had improved total CT scores after IST, without changes in other radiologic scores.</p><p><strong>Conclusion: </strong>Immunosuppressive treatment, mostly with MMF, was associated with significant improvement of FVC% and DLCOc% in ASS, compared to their stabilization only in SSc. This should encourage future randomized controlled studies of MMF in ASS patients.</p>\",\"PeriodicalId\":22884,\"journal\":{\"name\":\"Therapeutic Advances in Respiratory Disease\",\"volume\":\"19 \",\"pages\":\"17534666251336896\"},\"PeriodicalIF\":3.0000,\"publicationDate\":\"2025-01-01\",\"publicationTypes\":\"Journal Article\",\"fieldsOfStudy\":null,\"isOpenAccess\":false,\"openAccessPdf\":\"https://www.ncbi.nlm.nih.gov/pmc/articles/PMC12062639/pdf/\",\"citationCount\":\"0\",\"resultStr\":null,\"platform\":\"Semanticscholar\",\"paperid\":null,\"PeriodicalName\":\"Therapeutic Advances in Respiratory Disease\",\"FirstCategoryId\":\"3\",\"ListUrlMain\":\"https://doi.org/10.1177/17534666251336896\",\"RegionNum\":3,\"RegionCategory\":\"医学\",\"ArticlePicture\":[],\"TitleCN\":null,\"AbstractTextCN\":null,\"PMCID\":null,\"EPubDate\":\"2025/5/8 0:00:00\",\"PubModel\":\"Epub\",\"JCR\":\"Q2\",\"JCRName\":\"RESPIRATORY SYSTEM\",\"Score\":null,\"Total\":0}","platform":"Semanticscholar","paperid":null,"PeriodicalName":"Therapeutic Advances in Respiratory Disease","FirstCategoryId":"3","ListUrlMain":"https://doi.org/10.1177/17534666251336896","RegionNum":3,"RegionCategory":"医学","ArticlePicture":[],"TitleCN":null,"AbstractTextCN":null,"PMCID":null,"EPubDate":"2025/5/8 0:00:00","PubModel":"Epub","JCR":"Q2","JCRName":"RESPIRATORY SYSTEM","Score":null,"Total":0}
引用次数: 0

摘要

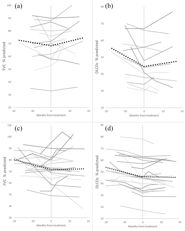
背景:间质性肺疾病(ILD)是抗合成酶综合征(ASS)的主要临床特征。在缺乏随机对照试验指导治疗的情况下,治疗策略通常是从其他疾病,主要是系统性硬化症(SSc)中推断出来的。目的:我们的目的是评估免疫抑制治疗(IST)后ASS与SSc之间ILD严重程度的动态变化。设计:多中心回顾性观察性研究。方法:在3个医疗中心登记的患有ILD的ASS (n = 22)和SSc (n = 32)受试者。所有患者均接受sts治疗。我们使用线性混合效应模型分析了治疗开始后强迫肺活量(FVC)和一氧化碳校正血红蛋白(DLCOc)扩散能力的变化。一位不了解临床数据的放射科医生分析了高分辨率胸部CT扫描的变化。结果:年龄中位数(四分位间距)为66岁(59-71岁),72%为女性,81%的IST含有霉酚酸酯(MMF)。两组之间的基线人口统计学、合并症和肺功能相似。在ASS组中,混合效应模型显示,随着时间的推移,FVC% (F = 11.3, p F = 7.1, p = 0.015)在治疗开始后显著改善,而在SSc组中,FVC% (F = 0.4, p = 0.551)和DLCOc% (F = 0.8, p = 0.384)没有显著变化。与SSc组相比,ASS组FVC%和DLCOc%的变化更高(p = 0.017和p)。结论:免疫抑制治疗(主要是MMF)与ASS组FVC%和DLCOc%的显著改善有关,而仅在SSc组中FVC%和DLCOc%保持稳定。这将鼓励未来在ASS患者中进行MMF的随机对照研究。
本文章由计算机程序翻译,如有差异,请以英文原文为准。

Dynamics of interstitial lung disease following immunosuppressive treatment differ between antisynthetase syndrome and systemic sclerosis.

Dynamics of interstitial lung disease following immunosuppressive treatment differ between antisynthetase syndrome and systemic sclerosis.

Dynamics of interstitial lung disease following immunosuppressive treatment differ between antisynthetase syndrome and systemic sclerosis.

Dynamics of interstitial lung disease following immunosuppressive treatment differ between antisynthetase syndrome and systemic sclerosis.

Background: Interstitial lung disease (ILD) is the main clinical feature of antisynthetase syndrome (ASS). In the absence of randomized controlled trials to guide therapy, treatment strategies are often extrapolated from other diseases, mainly systemic sclerosis (SSc).

Objectives: Our aim was to evaluate the dynamics of ILD severity following immunosuppressive treatment (IST) in ASS compared to SSc.

Design: A multicenter retrospective observational study.

Methods: ASS (n = 22) and SSc (n = 32) subjects with ILD were included in the registries of three medical centers. All patients received ISTs. We analyzed changes in forced vital capacity (FVC) and diffusion capacity for carbon monoxide corrected for hemoglobin (DLCOc) after treatment initiation using linear mixed-effects models. Changes in high-resolution chest CT scans were analyzed by a radiologist blinded to clinical data.

Results: The median (interquartile range) age was 66 (59-71), 72% were females, and 81% of IST included mycophenolate mofetil (MMF). Baseline demographics, comorbidities, and pulmonary functions were similar between the groups. Among the ASS group, the mixed-effects models showed significant improvements in FVC% (F = 11.3, p < 0.01) and DLCOc% (F = 7.1, p = 0.015) after treatment initiation over time, while in the SSc group, there were no significant changes in FVC% (F = 0.4, p = 0.551) and DLCOc% (F = 0.8, p = 0.384). Changes in FVC% and DLCOc% were higher in the ASS group compared with SSc (p = 0.017 and p < 0.01, respectively), which persisted after adjustment to steroid use and in a sub-analysis of patients with serial pre- and post-IST pulmonary functions. Both groups had improved total CT scores after IST, without changes in other radiologic scores.

Conclusion: Immunosuppressive treatment, mostly with MMF, was associated with significant improvement of FVC% and DLCOc% in ASS, compared to their stabilization only in SSc. This should encourage future randomized controlled studies of MMF in ASS patients.

求助全文
通过发布文献求助,成功后即可免费获取论文全文。 去求助
来源期刊
CiteScore
6.90
自引率
0.00%
发文量
57
审稿时长
15 weeks
期刊介绍: Therapeutic Advances in Respiratory Disease delivers the highest quality peer-reviewed articles, reviews, and scholarly comment on pioneering efforts and innovative studies across all areas of respiratory disease.
×
引用
GB/T 7714-2015
复制
MLA
复制
APA
复制
导出至
BibTeX EndNote RefMan NoteFirst NoteExpress
×
提示
您的信息不完整,为了账户安全,请先补充。
现在去补充
×
提示
您因"违规操作"
具体请查看互助需知
我知道了
×
提示
确定
请完成安全验证×
copy
已复制链接
快去分享给好友吧!
我知道了
右上角分享
点击右上角分享
0
联系我们:info@booksci.cn Book学术提供免费学术资源搜索服务,方便国内外学者检索中英文文献。致力于提供最便捷和优质的服务体验。 Copyright © 2023 布克学术 All rights reserved.
京ICP备2023020795号-1
ghs 京公网安备 11010802042870号
Book学术文献互助
Book学术文献互助群
群 号:604180095
Book学术官方微信