增材制造镍钛诺形状记忆合金的残余应力评价。

npj Advanced Manufacturing Pub Date : 2025-01-01 Epub Date: 2025-04-30 DOI:10.1038/s44334-025-00027-y
Sampreet Rangaswamy, Josiah Cherian Chekotu, Thomas Gillick, Cian Hughes, Jayne Nicholl, David Easton, Caner Şimşir, Dermot Brabazon
{"title":"增材制造镍钛诺形状记忆合金的残余应力评价。","authors":"Sampreet Rangaswamy, Josiah Cherian Chekotu, Thomas Gillick, Cian Hughes, Jayne Nicholl, David Easton, Caner Şimşir, Dermot Brabazon","doi":"10.1038/s44334-025-00027-y","DOIUrl":null,"url":null,"abstract":"<p><p>This study provides a comprehensive analysis of residual stress characteristics in nitinol parts fabricated via laser powder bed fusion (PBF-LB). Unlike previous works that primarily focus on qualitative assessments or single-measurement techniques, this research employs a multi-modal experimental approach, Electronic Speckle Pattern Interferometry-Hole Drilling (ESPI-HD) and X-ray Diffraction (XRD), to achieve a more precise and spatially resolved evaluation of residual stress distribution. Furthermore, the study establishes a direct correlation between residual stress evolution and in situ pyrometric melt pool temperature data, an aspect that has not been extensively explored in prior investigations. A key novel finding is the non-monotonic relationship between volumetric energy density (VED) and residual stress. In this work, laser power was kept constant, and VED was varied by adjusting scanning speed and hatch spacing. The results show that the average residual stress initially increases with decreasing scan speed and hatch spacing, plateaus at a critical threshold, and subsequently decreases. However, residual stress was also found to vary in the build direction, indicating the complex stress distributions and accommodation mechanisms within the material. Additionally, an inverse relationship was recorded between the thermal gradient and VED which challenges conventional assumptions about their relationship. These insights offer a new perspective on optimizing PBF-LB process parameters for enhanced structural performance and long-term reliability of additively manufactured nitinol.</p>","PeriodicalId":501702,"journal":{"name":"npj Advanced Manufacturing","volume":"2 1","pages":"16"},"PeriodicalIF":0.0000,"publicationDate":"2025-01-01","publicationTypes":"Journal Article","fieldsOfStudy":null,"isOpenAccess":false,"openAccessPdf":"https://www.ncbi.nlm.nih.gov/pmc/articles/PMC12043501/pdf/","citationCount":"0","resultStr":"{\"title\":\"Evaluating residual stress in additively manufactured nitinol shape memory alloy.\",\"authors\":\"Sampreet Rangaswamy, Josiah Cherian Chekotu, Thomas Gillick, Cian Hughes, Jayne Nicholl, David Easton, Caner Şimşir, Dermot Brabazon\",\"doi\":\"10.1038/s44334-025-00027-y\",\"DOIUrl\":null,\"url\":null,\"abstract\":\"<p><p>This study provides a comprehensive analysis of residual stress characteristics in nitinol parts fabricated via laser powder bed fusion (PBF-LB). Unlike previous works that primarily focus on qualitative assessments or single-measurement techniques, this research employs a multi-modal experimental approach, Electronic Speckle Pattern Interferometry-Hole Drilling (ESPI-HD) and X-ray Diffraction (XRD), to achieve a more precise and spatially resolved evaluation of residual stress distribution. Furthermore, the study establishes a direct correlation between residual stress evolution and in situ pyrometric melt pool temperature data, an aspect that has not been extensively explored in prior investigations. A key novel finding is the non-monotonic relationship between volumetric energy density (VED) and residual stress. In this work, laser power was kept constant, and VED was varied by adjusting scanning speed and hatch spacing. The results show that the average residual stress initially increases with decreasing scan speed and hatch spacing, plateaus at a critical threshold, and subsequently decreases. However, residual stress was also found to vary in the build direction, indicating the complex stress distributions and accommodation mechanisms within the material. Additionally, an inverse relationship was recorded between the thermal gradient and VED which challenges conventional assumptions about their relationship. These insights offer a new perspective on optimizing PBF-LB process parameters for enhanced structural performance and long-term reliability of additively manufactured nitinol.</p>\",\"PeriodicalId\":501702,\"journal\":{\"name\":\"npj Advanced Manufacturing\",\"volume\":\"2 1\",\"pages\":\"16\"},\"PeriodicalIF\":0.0000,\"publicationDate\":\"2025-01-01\",\"publicationTypes\":\"Journal Article\",\"fieldsOfStudy\":null,\"isOpenAccess\":false,\"openAccessPdf\":\"https://www.ncbi.nlm.nih.gov/pmc/articles/PMC12043501/pdf/\",\"citationCount\":\"0\",\"resultStr\":null,\"platform\":\"Semanticscholar\",\"paperid\":null,\"PeriodicalName\":\"npj Advanced Manufacturing\",\"FirstCategoryId\":\"1085\",\"ListUrlMain\":\"https://doi.org/10.1038/s44334-025-00027-y\",\"RegionNum\":0,\"RegionCategory\":null,\"ArticlePicture\":[],\"TitleCN\":null,\"AbstractTextCN\":null,\"PMCID\":null,\"EPubDate\":\"2025/4/30 0:00:00\",\"PubModel\":\"Epub\",\"JCR\":\"\",\"JCRName\":\"\",\"Score\":null,\"Total\":0}","platform":"Semanticscholar","paperid":null,"PeriodicalName":"npj Advanced Manufacturing","FirstCategoryId":"1085","ListUrlMain":"https://doi.org/10.1038/s44334-025-00027-y","RegionNum":0,"RegionCategory":null,"ArticlePicture":[],"TitleCN":null,"AbstractTextCN":null,"PMCID":null,"EPubDate":"2025/4/30 0:00:00","PubModel":"Epub","JCR":"","JCRName":"","Score":null,"Total":0}
引用次数: 0

摘要

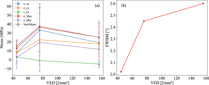
本研究全面分析了激光粉末床熔合(PBF-LB)制备镍钛诺零件的残余应力特性。与以往的工作主要集中在定性评估或单一测量技术不同,本研究采用了多模态实验方法,电子散斑干涉-钻孔(ESPI-HD)和x射线衍射(XRD),以实现更精确和空间分辨的残余应力分布评估。此外,该研究建立了残余应力演化与原位高温熔池温度数据之间的直接关联,这是先前研究中尚未广泛探讨的一个方面。一个关键的新发现是体积能量密度(VED)和残余应力之间的非单调关系。在此工作中,保持激光功率恒定,并通过调整扫描速度和舱口间距来改变VED。结果表明:随着扫描速度和舱口间距的减小,平均残余应力开始增大,在临界阈值处趋于平稳,随后减小;然而,残余应力也在构建方向上变化,表明材料内部复杂的应力分布和调节机制。此外,在热梯度和VED之间记录了反比关系,这挑战了关于它们之间关系的传统假设。这些见解为优化PBF-LB工艺参数,提高增材制造镍钛诺的结构性能和长期可靠性提供了新的视角。
本文章由计算机程序翻译,如有差异,请以英文原文为准。

Evaluating residual stress in additively manufactured nitinol shape memory alloy.

Evaluating residual stress in additively manufactured nitinol shape memory alloy.

Evaluating residual stress in additively manufactured nitinol shape memory alloy.

Evaluating residual stress in additively manufactured nitinol shape memory alloy.

This study provides a comprehensive analysis of residual stress characteristics in nitinol parts fabricated via laser powder bed fusion (PBF-LB). Unlike previous works that primarily focus on qualitative assessments or single-measurement techniques, this research employs a multi-modal experimental approach, Electronic Speckle Pattern Interferometry-Hole Drilling (ESPI-HD) and X-ray Diffraction (XRD), to achieve a more precise and spatially resolved evaluation of residual stress distribution. Furthermore, the study establishes a direct correlation between residual stress evolution and in situ pyrometric melt pool temperature data, an aspect that has not been extensively explored in prior investigations. A key novel finding is the non-monotonic relationship between volumetric energy density (VED) and residual stress. In this work, laser power was kept constant, and VED was varied by adjusting scanning speed and hatch spacing. The results show that the average residual stress initially increases with decreasing scan speed and hatch spacing, plateaus at a critical threshold, and subsequently decreases. However, residual stress was also found to vary in the build direction, indicating the complex stress distributions and accommodation mechanisms within the material. Additionally, an inverse relationship was recorded between the thermal gradient and VED which challenges conventional assumptions about their relationship. These insights offer a new perspective on optimizing PBF-LB process parameters for enhanced structural performance and long-term reliability of additively manufactured nitinol.

求助全文
通过发布文献求助,成功后即可免费获取论文全文。 去求助
来源期刊
自引率
0.00%
发文量
0
×
引用
GB/T 7714-2015
复制
MLA
复制
APA
复制
导出至
BibTeX EndNote RefMan NoteFirst NoteExpress
×
提示
您的信息不完整,为了账户安全,请先补充。
现在去补充
×
提示
您因"违规操作"
具体请查看互助需知
我知道了
×
提示
确定
请完成安全验证×
copy
已复制链接
快去分享给好友吧!
我知道了
右上角分享
点击右上角分享
0
联系我们:info@booksci.cn Book学术提供免费学术资源搜索服务,方便国内外学者检索中英文文献。致力于提供最便捷和优质的服务体验。 Copyright © 2023 布克学术 All rights reserved.
京ICP备2023020795号-1
ghs 京公网安备 11010802042870号
Book学术文献互助
Book学术文献互助群
群 号:604180095
Book学术官方微信