了解生态分化在跨中美洲的雷蒙虫(Arremonops rufivirgatus)物种复合体孤立种群进化中的作用。

IF 2.6 Q2 ECOLOGY
Ronald A Fernández-Gómez, David A Prieto-Torres, Adolfo G Navarro-Sigüenza, Luis A Sánchez-González
{"title":"了解生态分化在跨中美洲的雷蒙虫(Arremonops rufivirgatus)物种复合体孤立种群进化中的作用。","authors":"Ronald A Fernández-Gómez, David A Prieto-Torres, Adolfo G Navarro-Sigüenza, Luis A Sánchez-González","doi":"10.1186/s12862-025-02373-z","DOIUrl":null,"url":null,"abstract":"<p><strong>Background: </strong>The topographic complexity and wide range of environmental conditions of the Neotropical region have allowed the evolution of the most diverse avifauna in the world. Distributional patterns within this avian diversity mirror this complexity, and many species show allopatric distributions in environmentally continuous regions. Here, we used environmental variables and historical presence records to understand the evolution of the distribution of three isolated groups (Gulf, Pacific, and Yucatan Peninsula) of the Olive Sparrow (Arremonops rufivirgatus) species complex. We assessed the role of environmental factors underlying geographic distribution patterns in the complex based on ecological niche modeling and performed paleoclimatic reconstructions to assess distributional changes based on suitable areas during the Late Pleistocene.</p><p><strong>Results: </strong>Niche similarity was not rejected in the Pacific/Yucatan comparison, but the Gulf/Pacific and Gulf/Yucatan comparisons showed niche differentiation. We found regions with low climatic suitability representing a biogeographic barrier for the Pacific and the Yucatan groups, but not for the Yucatan and the Gulf groups, suggesting that biotic factors, such as competition with ecologically similar species, may be involved in geographic isolation.</p><p><strong>Conclusions: </strong>Our results suggest that allopatric distributions in the three groups within the A. rufivirgatus complex probably evolved due to biotic interactions with ecologically similar species in the relatively environmentally continuous areas across the Gulf Slope, but to range contractions leading to isolation in the Yucatan and the Pacific groups.</p>","PeriodicalId":93910,"journal":{"name":"BMC ecology and evolution","volume":"25 1","pages":"34"},"PeriodicalIF":2.6000,"publicationDate":"2025-04-16","publicationTypes":"Journal Article","fieldsOfStudy":null,"isOpenAccess":false,"openAccessPdf":"https://www.ncbi.nlm.nih.gov/pmc/articles/PMC12001624/pdf/","citationCount":"0","resultStr":"{\"title\":\"Understanding the role of ecological divergence in the evolution of isolated populations in the Arremonops rufivirgatus species complex across Mesoamerica.\",\"authors\":\"Ronald A Fernández-Gómez, David A Prieto-Torres, Adolfo G Navarro-Sigüenza, Luis A Sánchez-González\",\"doi\":\"10.1186/s12862-025-02373-z\",\"DOIUrl\":null,\"url\":null,\"abstract\":\"<p><strong>Background: </strong>The topographic complexity and wide range of environmental conditions of the Neotropical region have allowed the evolution of the most diverse avifauna in the world. Distributional patterns within this avian diversity mirror this complexity, and many species show allopatric distributions in environmentally continuous regions. Here, we used environmental variables and historical presence records to understand the evolution of the distribution of three isolated groups (Gulf, Pacific, and Yucatan Peninsula) of the Olive Sparrow (Arremonops rufivirgatus) species complex. We assessed the role of environmental factors underlying geographic distribution patterns in the complex based on ecological niche modeling and performed paleoclimatic reconstructions to assess distributional changes based on suitable areas during the Late Pleistocene.</p><p><strong>Results: </strong>Niche similarity was not rejected in the Pacific/Yucatan comparison, but the Gulf/Pacific and Gulf/Yucatan comparisons showed niche differentiation. We found regions with low climatic suitability representing a biogeographic barrier for the Pacific and the Yucatan groups, but not for the Yucatan and the Gulf groups, suggesting that biotic factors, such as competition with ecologically similar species, may be involved in geographic isolation.</p><p><strong>Conclusions: </strong>Our results suggest that allopatric distributions in the three groups within the A. rufivirgatus complex probably evolved due to biotic interactions with ecologically similar species in the relatively environmentally continuous areas across the Gulf Slope, but to range contractions leading to isolation in the Yucatan and the Pacific groups.</p>\",\"PeriodicalId\":93910,\"journal\":{\"name\":\"BMC ecology and evolution\",\"volume\":\"25 1\",\"pages\":\"34\"},\"PeriodicalIF\":2.6000,\"publicationDate\":\"2025-04-16\",\"publicationTypes\":\"Journal Article\",\"fieldsOfStudy\":null,\"isOpenAccess\":false,\"openAccessPdf\":\"https://www.ncbi.nlm.nih.gov/pmc/articles/PMC12001624/pdf/\",\"citationCount\":\"0\",\"resultStr\":null,\"platform\":\"Semanticscholar\",\"paperid\":null,\"PeriodicalName\":\"BMC ecology and evolution\",\"FirstCategoryId\":\"1085\",\"ListUrlMain\":\"https://doi.org/10.1186/s12862-025-02373-z\",\"RegionNum\":0,\"RegionCategory\":null,\"ArticlePicture\":[],\"TitleCN\":null,\"AbstractTextCN\":null,\"PMCID\":null,\"EPubDate\":\"\",\"PubModel\":\"\",\"JCR\":\"Q2\",\"JCRName\":\"ECOLOGY\",\"Score\":null,\"Total\":0}","platform":"Semanticscholar","paperid":null,"PeriodicalName":"BMC ecology and evolution","FirstCategoryId":"1085","ListUrlMain":"https://doi.org/10.1186/s12862-025-02373-z","RegionNum":0,"RegionCategory":null,"ArticlePicture":[],"TitleCN":null,"AbstractTextCN":null,"PMCID":null,"EPubDate":"","PubModel":"","JCR":"Q2","JCRName":"ECOLOGY","Score":null,"Total":0}
引用次数: 0

摘要

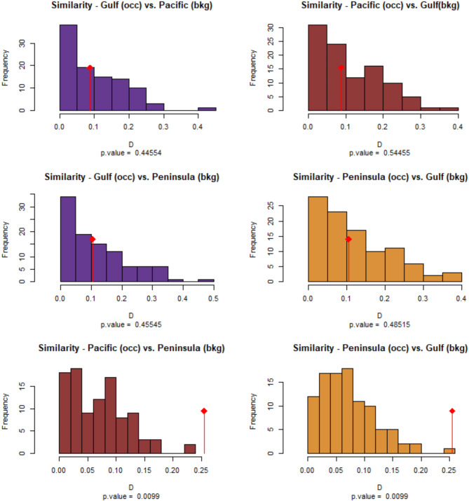
背景:新热带地区的地形复杂性和广泛的环境条件使得世界上最多样化的鸟类得以进化。这种鸟类多样性的分布模式反映了这种复杂性,许多物种在环境连续的地区表现出异域分布。本文利用环境变量和历史存在记录,研究了橄榄雀(Arremonops rufivirgatus)种群在墨西哥湾、太平洋和尤卡坦半岛三个孤立类群的分布演变。我们基于生态位模型,评估了环境因子在复杂地理分布格局中的作用,并进行了古气候重建,以评估晚更新世时期适合区域的分布变化。结果:在太平洋/尤卡坦比较中,生态位相似性没有被拒绝,但海湾/太平洋和海湾/尤卡坦比较存在生态位分化。我们发现气候适应性较低的地区代表了太平洋和尤卡坦群体的生物地理屏障,但对尤卡坦和海湾群体却没有,这表明生物因素,如生态相似物种的竞争,可能涉及地理隔离。结论:我们的研究结果表明,在海湾斜坡相对环境连续的地区,这三个类群的异域分布可能是由于与生态相似的物种的生物相互作用而进化的,但在尤卡坦和太平洋类群中,范围缩小导致了隔离。
本文章由计算机程序翻译,如有差异,请以英文原文为准。

Understanding the role of ecological divergence in the evolution of isolated populations in the Arremonops rufivirgatus species complex across Mesoamerica.

Understanding the role of ecological divergence in the evolution of isolated populations in the Arremonops rufivirgatus species complex across Mesoamerica.

Understanding the role of ecological divergence in the evolution of isolated populations in the Arremonops rufivirgatus species complex across Mesoamerica.

Understanding the role of ecological divergence in the evolution of isolated populations in the Arremonops rufivirgatus species complex across Mesoamerica.

Background: The topographic complexity and wide range of environmental conditions of the Neotropical region have allowed the evolution of the most diverse avifauna in the world. Distributional patterns within this avian diversity mirror this complexity, and many species show allopatric distributions in environmentally continuous regions. Here, we used environmental variables and historical presence records to understand the evolution of the distribution of three isolated groups (Gulf, Pacific, and Yucatan Peninsula) of the Olive Sparrow (Arremonops rufivirgatus) species complex. We assessed the role of environmental factors underlying geographic distribution patterns in the complex based on ecological niche modeling and performed paleoclimatic reconstructions to assess distributional changes based on suitable areas during the Late Pleistocene.

Results: Niche similarity was not rejected in the Pacific/Yucatan comparison, but the Gulf/Pacific and Gulf/Yucatan comparisons showed niche differentiation. We found regions with low climatic suitability representing a biogeographic barrier for the Pacific and the Yucatan groups, but not for the Yucatan and the Gulf groups, suggesting that biotic factors, such as competition with ecologically similar species, may be involved in geographic isolation.

Conclusions: Our results suggest that allopatric distributions in the three groups within the A. rufivirgatus complex probably evolved due to biotic interactions with ecologically similar species in the relatively environmentally continuous areas across the Gulf Slope, but to range contractions leading to isolation in the Yucatan and the Pacific groups.

求助全文
通过发布文献求助,成功后即可免费获取论文全文。 去求助
来源期刊
自引率
0.00%
发文量
0
×
引用
GB/T 7714-2015
复制
MLA
复制
APA
复制
导出至
BibTeX EndNote RefMan NoteFirst NoteExpress
×
提示
您的信息不完整,为了账户安全,请先补充。
现在去补充
×
提示
您因"违规操作"
具体请查看互助需知
我知道了
×
提示
确定
请完成安全验证×
copy
已复制链接
快去分享给好友吧!
我知道了
右上角分享
点击右上角分享
0
联系我们:info@booksci.cn Book学术提供免费学术资源搜索服务,方便国内外学者检索中英文文献。致力于提供最便捷和优质的服务体验。 Copyright © 2023 布克学术 All rights reserved.
京ICP备2023020795号-1
ghs 京公网安备 11010802042870号
Book学术文献互助
Book学术文献互助群
群 号:604180095
Book学术官方微信