托法替尼治疗对类风湿关节炎患者体重和体质指数的影响分析。

IF 2.8 Q2 RHEUMATOLOGY
Jürgen Wollenhaupt, Jacques Morel, Claire Daien, Adeline Ruyssen-Witrand, Cédric Lukas, Christophe Richez, Andrea Shapiro, Douglass S Chapman, Magali Cros, Jose L Rivas, Gustavo Citera
{"title":"托法替尼治疗对类风湿关节炎患者体重和体质指数的影响分析。","authors":"Jürgen Wollenhaupt, Jacques Morel, Claire Daien, Adeline Ruyssen-Witrand, Cédric Lukas, Christophe Richez, Andrea Shapiro, Douglass S Chapman, Magali Cros, Jose L Rivas, Gustavo Citera","doi":"10.1002/acr2.70040","DOIUrl":null,"url":null,"abstract":"<p><strong>Objectives: </strong>This post hoc analysis evaluated change from baseline (Δ) in weight/body mass index (BMI) and association with disease activity or lipid changes in tofacitinib-treated patients with rheumatoid arthritis (RA).</p><p><strong>Methods: </strong>Data up to month 12 were pooled from eight phase 3 and 3b/4 studies of patients with RA receiving tofacitinib 5 or 10 mg twice daily or tofacitinib 11 mg modified-release once daily (alone or combined with conventional synthetic disease-modifying antirheumatic drugs), or placebo. Assessments included Δweight/BMI and the proportion of patients with weight gain ≥5%, at months 3, 6, and 12. Correlations between ∆weight/∆BMI and baseline/∆Disease Activity Score in 28 joints, erythrocyte sedimentation rate (DAS28-4[ESR]), baseline C-reactive protein (CRP), and ∆lipids were assessed. Statistical analysis included a longitudinal linear mixed model for repeated measures.</p><p><strong>Results: </strong>The analysis included 5,335 patients (tofacitinib 5 mg twice daily [n = 2,349], 10 mg twice daily [n = 1,611], 11 mg once daily [n = 694], and placebo [n = 681]). Increases in least squares mean Δweight and ΔBMI were significantly greater (P < 0.05) at months 3 and 6 with all tofacitinib doses versus placebo; increases continued to month 12. Significantly greater (at least P < 0.05) proportions of tofacitinib-treated patients (all doses) had weight gain ≥5% at months 3 and 6 versus placebo. There were weak correlations between weight/BMI changes with tofacitinib and DAS28-4(ESR), baseline CRP, or lipid changes.</p><p><strong>Conclusion: </strong>Patients receiving tofacitinib experienced weight and BMI changes (primarily increases) over time, with weak correlations with disease activity or lipids.</p>","PeriodicalId":93845,"journal":{"name":"ACR open rheumatology","volume":"7 5","pages":"e70040"},"PeriodicalIF":2.8000,"publicationDate":"2025-05-01","publicationTypes":"Journal Article","fieldsOfStudy":null,"isOpenAccess":false,"openAccessPdf":"https://www.ncbi.nlm.nih.gov/pmc/articles/PMC12062792/pdf/","citationCount":"0","resultStr":"{\"title\":\"Analysis of the Impact of Tofacitinib Treatment on Weight and Body Mass Index in Patients With Rheumatoid Arthritis.\",\"authors\":\"Jürgen Wollenhaupt, Jacques Morel, Claire Daien, Adeline Ruyssen-Witrand, Cédric Lukas, Christophe Richez, Andrea Shapiro, Douglass S Chapman, Magali Cros, Jose L Rivas, Gustavo Citera\",\"doi\":\"10.1002/acr2.70040\",\"DOIUrl\":null,\"url\":null,\"abstract\":\"<p><strong>Objectives: </strong>This post hoc analysis evaluated change from baseline (Δ) in weight/body mass index (BMI) and association with disease activity or lipid changes in tofacitinib-treated patients with rheumatoid arthritis (RA).</p><p><strong>Methods: </strong>Data up to month 12 were pooled from eight phase 3 and 3b/4 studies of patients with RA receiving tofacitinib 5 or 10 mg twice daily or tofacitinib 11 mg modified-release once daily (alone or combined with conventional synthetic disease-modifying antirheumatic drugs), or placebo. Assessments included Δweight/BMI and the proportion of patients with weight gain ≥5%, at months 3, 6, and 12. Correlations between ∆weight/∆BMI and baseline/∆Disease Activity Score in 28 joints, erythrocyte sedimentation rate (DAS28-4[ESR]), baseline C-reactive protein (CRP), and ∆lipids were assessed. Statistical analysis included a longitudinal linear mixed model for repeated measures.</p><p><strong>Results: </strong>The analysis included 5,335 patients (tofacitinib 5 mg twice daily [n = 2,349], 10 mg twice daily [n = 1,611], 11 mg once daily [n = 694], and placebo [n = 681]). Increases in least squares mean Δweight and ΔBMI were significantly greater (P < 0.05) at months 3 and 6 with all tofacitinib doses versus placebo; increases continued to month 12. Significantly greater (at least P < 0.05) proportions of tofacitinib-treated patients (all doses) had weight gain ≥5% at months 3 and 6 versus placebo. There were weak correlations between weight/BMI changes with tofacitinib and DAS28-4(ESR), baseline CRP, or lipid changes.</p><p><strong>Conclusion: </strong>Patients receiving tofacitinib experienced weight and BMI changes (primarily increases) over time, with weak correlations with disease activity or lipids.</p>\",\"PeriodicalId\":93845,\"journal\":{\"name\":\"ACR open rheumatology\",\"volume\":\"7 5\",\"pages\":\"e70040\"},\"PeriodicalIF\":2.8000,\"publicationDate\":\"2025-05-01\",\"publicationTypes\":\"Journal Article\",\"fieldsOfStudy\":null,\"isOpenAccess\":false,\"openAccessPdf\":\"https://www.ncbi.nlm.nih.gov/pmc/articles/PMC12062792/pdf/\",\"citationCount\":\"0\",\"resultStr\":null,\"platform\":\"Semanticscholar\",\"paperid\":null,\"PeriodicalName\":\"ACR open rheumatology\",\"FirstCategoryId\":\"1085\",\"ListUrlMain\":\"https://doi.org/10.1002/acr2.70040\",\"RegionNum\":0,\"RegionCategory\":null,\"ArticlePicture\":[],\"TitleCN\":null,\"AbstractTextCN\":null,\"PMCID\":null,\"EPubDate\":\"\",\"PubModel\":\"\",\"JCR\":\"Q2\",\"JCRName\":\"RHEUMATOLOGY\",\"Score\":null,\"Total\":0}","platform":"Semanticscholar","paperid":null,"PeriodicalName":"ACR open rheumatology","FirstCategoryId":"1085","ListUrlMain":"https://doi.org/10.1002/acr2.70040","RegionNum":0,"RegionCategory":null,"ArticlePicture":[],"TitleCN":null,"AbstractTextCN":null,"PMCID":null,"EPubDate":"","PubModel":"","JCR":"Q2","JCRName":"RHEUMATOLOGY","Score":null,"Total":0}
引用次数: 0

摘要

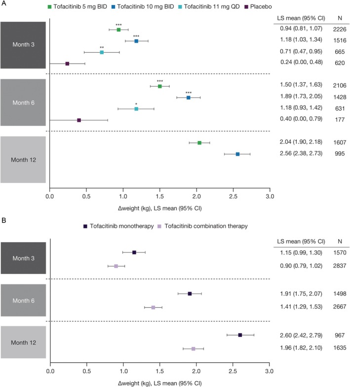
目的:本事后分析评估了托法替尼治疗的类风湿性关节炎(RA)患者的体重/体重指数(BMI)与基线(Δ)的变化以及与疾病活动性或脂质变化的关联。方法:截至第12个月的数据来自8项iii期和3b/4期研究,这些研究的RA患者接受托法替尼5或10mg每日2次或托法替尼11mg缓释每日1次(单独或与常规合成疾病改善抗风湿药物联合)或安慰剂治疗。评估包括Δweight/BMI和在第3、6和12个月体重增加≥5%的患者比例。评估28个关节的∆体重/∆BMI与基线/∆疾病活动评分、红细胞沉降率(DAS28-4[ESR])、基线c反应蛋白(CRP)和∆脂质的相关性。统计分析包括重复测量的纵向线性混合模型。结果:分析包括5335例患者(托法替尼5 mg每日2次[n = 2349], 10 mg每日2次[n = 1611], 11 mg每日1次[n = 694]和安慰剂[n = 681])。在第3个月和第6个月,与安慰剂相比,所有托法替尼剂量的最小二乘平均值Δweight和ΔBMI的增加显著大于(P < 0.05);12月继续增长。与安慰剂相比,托法替尼治疗的患者(所有剂量)在第3个月和第6个月体重增加≥5%的比例显著增加(至少P < 0.05)。体重/BMI变化与托法替尼和DAS28-4(ESR)、基线CRP或脂质变化之间存在弱相关性。结论:接受托法替尼治疗的患者随着时间的推移体重和BMI发生变化(主要是增加),与疾病活动性或血脂的相关性较弱。
本文章由计算机程序翻译,如有差异,请以英文原文为准。

Analysis of the Impact of Tofacitinib Treatment on Weight and Body Mass Index in Patients With Rheumatoid Arthritis.

Analysis of the Impact of Tofacitinib Treatment on Weight and Body Mass Index in Patients With Rheumatoid Arthritis.

Analysis of the Impact of Tofacitinib Treatment on Weight and Body Mass Index in Patients With Rheumatoid Arthritis.

Objectives: This post hoc analysis evaluated change from baseline (Δ) in weight/body mass index (BMI) and association with disease activity or lipid changes in tofacitinib-treated patients with rheumatoid arthritis (RA).

Methods: Data up to month 12 were pooled from eight phase 3 and 3b/4 studies of patients with RA receiving tofacitinib 5 or 10 mg twice daily or tofacitinib 11 mg modified-release once daily (alone or combined with conventional synthetic disease-modifying antirheumatic drugs), or placebo. Assessments included Δweight/BMI and the proportion of patients with weight gain ≥5%, at months 3, 6, and 12. Correlations between ∆weight/∆BMI and baseline/∆Disease Activity Score in 28 joints, erythrocyte sedimentation rate (DAS28-4[ESR]), baseline C-reactive protein (CRP), and ∆lipids were assessed. Statistical analysis included a longitudinal linear mixed model for repeated measures.

Results: The analysis included 5,335 patients (tofacitinib 5 mg twice daily [n = 2,349], 10 mg twice daily [n = 1,611], 11 mg once daily [n = 694], and placebo [n = 681]). Increases in least squares mean Δweight and ΔBMI were significantly greater (P < 0.05) at months 3 and 6 with all tofacitinib doses versus placebo; increases continued to month 12. Significantly greater (at least P < 0.05) proportions of tofacitinib-treated patients (all doses) had weight gain ≥5% at months 3 and 6 versus placebo. There were weak correlations between weight/BMI changes with tofacitinib and DAS28-4(ESR), baseline CRP, or lipid changes.

Conclusion: Patients receiving tofacitinib experienced weight and BMI changes (primarily increases) over time, with weak correlations with disease activity or lipids.

求助全文
通过发布文献求助,成功后即可免费获取论文全文。 去求助
来源期刊
CiteScore
5.80
自引率
0.00%
发文量
0
审稿时长
10 weeks
×
引用
GB/T 7714-2015
复制
MLA
复制
APA
复制
导出至
BibTeX EndNote RefMan NoteFirst NoteExpress
×
提示
您的信息不完整,为了账户安全,请先补充。
现在去补充
×
提示
您因"违规操作"
具体请查看互助需知
我知道了
×
提示
确定
请完成安全验证×
copy
已复制链接
快去分享给好友吧!
我知道了
右上角分享
点击右上角分享
0
联系我们:info@booksci.cn Book学术提供免费学术资源搜索服务,方便国内外学者检索中英文文献。致力于提供最便捷和优质的服务体验。 Copyright © 2023 布克学术 All rights reserved.
京ICP备2023020795号-1
ghs 京公网安备 11010802042870号
Book学术文献互助
Book学术文献互助群
群 号:604180095
Book学术官方微信