晚期甲状腺乳头状癌病因特异性死亡率的危险因素识别和竞争风险模型的构建:基于seer的研究。

IF 2.6 4区 医学 Q3 ONCOLOGY
Cancer Control Pub Date : 2025-01-01 Epub Date: 2025-04-23 DOI:10.1177/10732748251336412
Yunyi Yang, Xiaoli He, Xiaoxiao Qu, Shufa Tan, Xinyi Fu, Jiawen You, Weijin Huang, Jiayuan Cai, Yanming He, Hongjie Yang
{"title":"晚期甲状腺乳头状癌病因特异性死亡率的危险因素识别和竞争风险模型的构建:基于seer的研究。","authors":"Yunyi Yang, Xiaoli He, Xiaoxiao Qu, Shufa Tan, Xinyi Fu, Jiawen You, Weijin Huang, Jiayuan Cai, Yanming He, Hongjie Yang","doi":"10.1177/10732748251336412","DOIUrl":null,"url":null,"abstract":"<p><p>IntroductionPapillary thyroid carcinoma (PTC) generally has a favorable prognosis, yet advanced PTC has higher recurrence and mortality risks. This study constructs and validates a competing risk model for cause-specific mortality (CSM) in advanced PTC.MethodsStage III-IV PTC cases (AJCC 7th edition) from the SEER database (2010-2015) were analyzed. Patients were split into training and validation sets (7:3). Univariate and multivariate analyses identified independent CSM predictors, forming the basis of a risk prediction nomogram. Model accuracy was evaluated via the C-index and calibration curve.ResultsA total of 11 913 advanced PTC cases were analyzed. Competing risk model analysis unraveled that age, race, sex, grade, stage, T stage, M stage, surgery, chemotherapy, and tumor size were risk factors for CSM in advanced PTC. The AUC values of the constructed nomogram in predicting 3-, 5-, and 8-year survival were 0.931 (95%CI 0.909-0.953), 0.915 (95%CI 0.897-0.933), and 0.902 (95%CI 0.883-0.92) in the training set, and 0.948 (95%CI 0.916-0.981), 0.93 (95 % CI 0.903-0.957), and 0.917 (95%CI 0.891-0.943) in the validation cohort, respectively. The C-index of the nomogram for advanced PTC was 0.908 and 0.921 in the training and validation cohorts, respectively. The calibration curve unveiled that the predicted estimates by the model were basically congruent with the observed values, suggesting a high degree of calibration.ConclusionThe competing risk model offers a reliable tool for assessing prognosis in advanced PTC, supporting personalized treatment and risk management in clinical practice.</p>","PeriodicalId":49093,"journal":{"name":"Cancer Control","volume":"32 ","pages":"10732748251336412"},"PeriodicalIF":2.6000,"publicationDate":"2025-01-01","publicationTypes":"Journal Article","fieldsOfStudy":null,"isOpenAccess":false,"openAccessPdf":"https://www.ncbi.nlm.nih.gov/pmc/articles/PMC12034963/pdf/","citationCount":"0","resultStr":"{\"title\":\"Identification of Risk Factors for Cause-specific Mortality in Advanced Papillary Thyroid Cancer and Construction of a Competing Risk Model: A SEER-Based Study.\",\"authors\":\"Yunyi Yang, Xiaoli He, Xiaoxiao Qu, Shufa Tan, Xinyi Fu, Jiawen You, Weijin Huang, Jiayuan Cai, Yanming He, Hongjie Yang\",\"doi\":\"10.1177/10732748251336412\",\"DOIUrl\":null,\"url\":null,\"abstract\":\"<p><p>IntroductionPapillary thyroid carcinoma (PTC) generally has a favorable prognosis, yet advanced PTC has higher recurrence and mortality risks. This study constructs and validates a competing risk model for cause-specific mortality (CSM) in advanced PTC.MethodsStage III-IV PTC cases (AJCC 7th edition) from the SEER database (2010-2015) were analyzed. Patients were split into training and validation sets (7:3). Univariate and multivariate analyses identified independent CSM predictors, forming the basis of a risk prediction nomogram. Model accuracy was evaluated via the C-index and calibration curve.ResultsA total of 11 913 advanced PTC cases were analyzed. Competing risk model analysis unraveled that age, race, sex, grade, stage, T stage, M stage, surgery, chemotherapy, and tumor size were risk factors for CSM in advanced PTC. The AUC values of the constructed nomogram in predicting 3-, 5-, and 8-year survival were 0.931 (95%CI 0.909-0.953), 0.915 (95%CI 0.897-0.933), and 0.902 (95%CI 0.883-0.92) in the training set, and 0.948 (95%CI 0.916-0.981), 0.93 (95 % CI 0.903-0.957), and 0.917 (95%CI 0.891-0.943) in the validation cohort, respectively. The C-index of the nomogram for advanced PTC was 0.908 and 0.921 in the training and validation cohorts, respectively. The calibration curve unveiled that the predicted estimates by the model were basically congruent with the observed values, suggesting a high degree of calibration.ConclusionThe competing risk model offers a reliable tool for assessing prognosis in advanced PTC, supporting personalized treatment and risk management in clinical practice.</p>\",\"PeriodicalId\":49093,\"journal\":{\"name\":\"Cancer Control\",\"volume\":\"32 \",\"pages\":\"10732748251336412\"},\"PeriodicalIF\":2.6000,\"publicationDate\":\"2025-01-01\",\"publicationTypes\":\"Journal Article\",\"fieldsOfStudy\":null,\"isOpenAccess\":false,\"openAccessPdf\":\"https://www.ncbi.nlm.nih.gov/pmc/articles/PMC12034963/pdf/\",\"citationCount\":\"0\",\"resultStr\":null,\"platform\":\"Semanticscholar\",\"paperid\":null,\"PeriodicalName\":\"Cancer Control\",\"FirstCategoryId\":\"3\",\"ListUrlMain\":\"https://doi.org/10.1177/10732748251336412\",\"RegionNum\":4,\"RegionCategory\":\"医学\",\"ArticlePicture\":[],\"TitleCN\":null,\"AbstractTextCN\":null,\"PMCID\":null,\"EPubDate\":\"2025/4/23 0:00:00\",\"PubModel\":\"Epub\",\"JCR\":\"Q3\",\"JCRName\":\"ONCOLOGY\",\"Score\":null,\"Total\":0}","platform":"Semanticscholar","paperid":null,"PeriodicalName":"Cancer Control","FirstCategoryId":"3","ListUrlMain":"https://doi.org/10.1177/10732748251336412","RegionNum":4,"RegionCategory":"医学","ArticlePicture":[],"TitleCN":null,"AbstractTextCN":null,"PMCID":null,"EPubDate":"2025/4/23 0:00:00","PubModel":"Epub","JCR":"Q3","JCRName":"ONCOLOGY","Score":null,"Total":0}
引用次数: 0

摘要

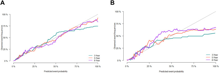
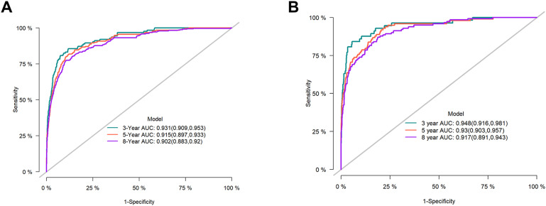
摘要甲状腺乳头状癌(PTC)通常预后良好,但晚期PTC有较高的复发率和死亡率。本研究构建并验证了晚期PTC病因特异性死亡率(CSM)的竞争风险模型。方法对2010-2015年SEER数据库中III-IV期PTC病例(AJCC第7版)进行分析。患者被分为训练组和验证组(7:3)。单变量和多变量分析确定了独立的CSM预测因子,形成了风险预测图的基础。通过c指数和标定曲线对模型精度进行评价。结果共分析11 913例晚期PTC病例。竞争风险模型分析显示,年龄、种族、性别、分级、分期、T期、M期、手术、化疗和肿瘤大小是晚期PTC患者发生CSM的危险因素。构建的nomogram预测3年、5年和8年生存率的AUC值在训练集中分别为0.931 (95%CI 0.909-0.953)、0.915 (95%CI 0.897-0.933)和0.902 (95%CI 0.883-0.92),在验证队列中分别为0.948 (95%CI 0.916-0.981)、0.93 (95%CI 0.903-0.957)和0.917 (95%CI 0.891-0.943)。训练组和验证组晚期PTC的nomogram C-index分别为0.908和0.921。校正曲线显示,模型预测估计值与观测值基本一致,校正程度较高。结论竞争风险模型为晚期PTC患者的预后评估提供了可靠的工具,支持临床个体化治疗和风险管理。
本文章由计算机程序翻译,如有差异,请以英文原文为准。

Identification of Risk Factors for Cause-specific Mortality in Advanced Papillary Thyroid Cancer and Construction of a Competing Risk Model: A SEER-Based Study.

Identification of Risk Factors for Cause-specific Mortality in Advanced Papillary Thyroid Cancer and Construction of a Competing Risk Model: A SEER-Based Study.

Identification of Risk Factors for Cause-specific Mortality in Advanced Papillary Thyroid Cancer and Construction of a Competing Risk Model: A SEER-Based Study.

Identification of Risk Factors for Cause-specific Mortality in Advanced Papillary Thyroid Cancer and Construction of a Competing Risk Model: A SEER-Based Study.

IntroductionPapillary thyroid carcinoma (PTC) generally has a favorable prognosis, yet advanced PTC has higher recurrence and mortality risks. This study constructs and validates a competing risk model for cause-specific mortality (CSM) in advanced PTC.MethodsStage III-IV PTC cases (AJCC 7th edition) from the SEER database (2010-2015) were analyzed. Patients were split into training and validation sets (7:3). Univariate and multivariate analyses identified independent CSM predictors, forming the basis of a risk prediction nomogram. Model accuracy was evaluated via the C-index and calibration curve.ResultsA total of 11 913 advanced PTC cases were analyzed. Competing risk model analysis unraveled that age, race, sex, grade, stage, T stage, M stage, surgery, chemotherapy, and tumor size were risk factors for CSM in advanced PTC. The AUC values of the constructed nomogram in predicting 3-, 5-, and 8-year survival were 0.931 (95%CI 0.909-0.953), 0.915 (95%CI 0.897-0.933), and 0.902 (95%CI 0.883-0.92) in the training set, and 0.948 (95%CI 0.916-0.981), 0.93 (95 % CI 0.903-0.957), and 0.917 (95%CI 0.891-0.943) in the validation cohort, respectively. The C-index of the nomogram for advanced PTC was 0.908 and 0.921 in the training and validation cohorts, respectively. The calibration curve unveiled that the predicted estimates by the model were basically congruent with the observed values, suggesting a high degree of calibration.ConclusionThe competing risk model offers a reliable tool for assessing prognosis in advanced PTC, supporting personalized treatment and risk management in clinical practice.

求助全文
通过发布文献求助,成功后即可免费获取论文全文。 去求助
来源期刊
Cancer Control
Cancer Control ONCOLOGY-
CiteScore
3.80
自引率
0.00%
发文量
148
审稿时长
>12 weeks
期刊介绍: Cancer Control is a JCR-ranked, peer-reviewed open access journal whose mission is to advance the prevention, detection, diagnosis, treatment, and palliative care of cancer by enabling researchers, doctors, policymakers, and other healthcare professionals to freely share research along the cancer control continuum. Our vision is a world where gold-standard cancer care is the norm, not the exception.
×
引用
GB/T 7714-2015
复制
MLA
复制
APA
复制
导出至
BibTeX EndNote RefMan NoteFirst NoteExpress
×
提示
您的信息不完整,为了账户安全,请先补充。
现在去补充
×
提示
您因"违规操作"
具体请查看互助需知
我知道了
×
提示
确定
请完成安全验证×
copy
已复制链接
快去分享给好友吧!
我知道了
右上角分享
点击右上角分享
0
联系我们:info@booksci.cn Book学术提供免费学术资源搜索服务,方便国内外学者检索中英文文献。致力于提供最便捷和优质的服务体验。 Copyright © 2023 布克学术 All rights reserved.
京ICP备2023020795号-1
ghs 京公网安备 11010802042870号
Book学术文献互助
Book学术文献互助群
群 号:604180095
Book学术官方微信