孟加拉国市售大豆油和棕榈油中重金属的测量及相关健康风险评估。

IF 2.4 Q1 Medicine
Journal of Health and Pollution Pub Date : 2024-08-15 eCollection Date: 2024-12-01 DOI:10.1289/JHP1072
Nazma Shaheen, Sneha Sarwar, Md Musharraf Ashraf, Nusrat Jahan Shorovi, Nisarga Bahar, Fahmida Akter, Md Mokbul Hossain, Malay Kanti Mridha, Rubhana Raqib, Anjan Kumar Roy, Sk Shahriar Bin Rasul, Amir Hussain Khan, Mduduzi Nn Mbuya, Abu Ahmed Shamim
{"title":"孟加拉国市售大豆油和棕榈油中重金属的测量及相关健康风险评估。","authors":"Nazma Shaheen, Sneha Sarwar, Md Musharraf Ashraf, Nusrat Jahan Shorovi, Nisarga Bahar, Fahmida Akter, Md Mokbul Hossain, Malay Kanti Mridha, Rubhana Raqib, Anjan Kumar Roy, Sk Shahriar Bin Rasul, Amir Hussain Khan, Mduduzi Nn Mbuya, Abu Ahmed Shamim","doi":"10.1289/JHP1072","DOIUrl":null,"url":null,"abstract":"<p><strong>Background: </strong>Soybean and palm oils are widely consumed in Bangladesh.</p><p><strong>Objective: </strong>The study aimed to investigate the levels of heavy metals and estimate their health risks in nationally representative samples of branded and unbranded soybean and palm oils sold in retail stores in Bangladesh.</p><p><strong>Methods: </strong>A total of 1,521 soybean and palm oil samples were collected from eight administrative divisions. National composites of branded oil were prepared by combining at least 12 samples for each brand. In the case of unbranded oil, composites were prepared for each administrative division. A total of 44 composite samples, including 23 soybean oil samples (19 branded and 4 unbranded) and 21 palm oil samples (13 branded and 8 unbranded), were tested. Twenty-five individual samples (11 crude and 14 refined) collected from the refineries were also analyzed to trace the origin of the heavy metals. Market samples were analyzed for arsenic (As), cadmium (Cd), chromium (Cr), and lead (Pb) and only mercury (Hg) in both market and refinery samples using various atomic absorption spectrophotometric techniques. The possible adverse health effects of exposure to heavy metals content in edible oil were estimated using the tools of daily exposure ( <math> <mrow> <mrow> <msub><mrow><mi>D</mi></mrow> <mrow><mi>E</mi></mrow> </msub> </mrow> </mrow> </math> ) and noncarcinogenic risk assessment hazard quotient (HQ).</p><p><strong>Results: </strong>The median values of As, Cd, Cr, Pb, and Hg content in soybean and palm oil respectively ranged between <math><mrow><mn>6.9</mn> <mtext> and </mtext> <mn>8.8</mn> <mspace></mspace> <mi>μ</mi> <mi>g</mi> <mo>/</mo> <mi>kg</mi> <mtext> </mtext> <mrow><mrow><mo>(</mo> <mrow><mi>As</mi></mrow> <mo>)</mo></mrow> </mrow> </mrow> </math> , <math><mrow><mn>4.3</mn> <mtext> and </mtext> <mn>6.9</mn> <mspace></mspace> <mi>μ</mi> <mi>g</mi> <mo>/</mo> <mi>kg</mi> <mtext> </mtext> <mrow><mrow><mo>(</mo> <mrow><mi>Cd</mi></mrow> <mo>)</mo></mrow> </mrow> </mrow> </math> , <math><mrow><mn>12.3</mn> <mtext> and </mtext> <mn>42.3</mn> <mspace></mspace> <mi>μ</mi> <mi>g</mi> <mo>/</mo> <mi>kg</mi> <mtext> </mtext> <mrow><mrow><mo>(</mo> <mrow><mi>Cr</mi></mrow> <mo>)</mo></mrow> </mrow> </mrow> </math> , <math><mrow><mn>19.4</mn> <mtext> and </mtext> <mn>27.8</mn> <mspace></mspace> <mi>μ</mi> <mi>g</mi> <mo>/</mo> <mi>kg</mi> <mtext> </mtext> <mrow><mrow><mo>(</mo> <mrow><mi>Pb</mi></mrow> <mo>)</mo></mrow> </mrow> </mrow> </math> , and <math><mrow><mn>1.73</mn> <mtext> and </mtext> <mn>5.11</mn> <mspace></mspace> <mi>mg</mi> <mo>/</mo> <mi>kg</mi> <mtext> </mtext> <mrow><mrow><mo>(</mo> <mrow><mi>Hg</mi></mrow> <mo>)</mo></mrow> </mrow> </mrow> </math> . The differences in heavy metal contents between branded and unbranded oils were not statistically significant. Except for Hg, all other metal concentrations were within national and international standard limits. The estimated <math> <mrow> <mrow> <msub><mrow><mi>D</mi></mrow> <mrow><mi>E</mi></mrow> </msub> </mrow> </mrow> </math> of Hg through edible oil represented a considerable risk for noncarcinogenic health effects ( <math><mrow><mtext>HQ</mtext> <mo>></mo> <mn>1</mn></mrow> </math> ). The ranking orders of HQ for the oil samples were as follows: unbranded soybean oil (3.99) > branded soybean oil (3.50) > branded palm oil (2.61) > unbranded palm oil (1.69).</p><p><strong>Discussion: </strong>The present study evaluated the level of heavy metal contamination in soybean and palm oils and conducted risk assessments associated with their consumption in Bangladesh. It appears that the source of this contamination is the imported crude oil. Strong and effective monitoring infrastructure is needed to regulate the import of safe crude oils for refineries. https://doi.org/10.1289/JHP1072.</p>","PeriodicalId":52138,"journal":{"name":"Journal of Health and Pollution","volume":"12 1-4","pages":"017002"},"PeriodicalIF":2.4000,"publicationDate":"2024-08-15","publicationTypes":"Journal Article","fieldsOfStudy":null,"isOpenAccess":false,"openAccessPdf":"https://www.ncbi.nlm.nih.gov/pmc/articles/PMC12061262/pdf/","citationCount":"0","resultStr":"{\"title\":\"Measurement of Heavy Metals in Commercially Available Soybean and Palm Oils and Relevant Health Risk Assessment in Bangladesh.\",\"authors\":\"Nazma Shaheen, Sneha Sarwar, Md Musharraf Ashraf, Nusrat Jahan Shorovi, Nisarga Bahar, Fahmida Akter, Md Mokbul Hossain, Malay Kanti Mridha, Rubhana Raqib, Anjan Kumar Roy, Sk Shahriar Bin Rasul, Amir Hussain Khan, Mduduzi Nn Mbuya, Abu Ahmed Shamim\",\"doi\":\"10.1289/JHP1072\",\"DOIUrl\":null,\"url\":null,\"abstract\":\"<p><strong>Background: </strong>Soybean and palm oils are widely consumed in Bangladesh.</p><p><strong>Objective: </strong>The study aimed to investigate the levels of heavy metals and estimate their health risks in nationally representative samples of branded and unbranded soybean and palm oils sold in retail stores in Bangladesh.</p><p><strong>Methods: </strong>A total of 1,521 soybean and palm oil samples were collected from eight administrative divisions. National composites of branded oil were prepared by combining at least 12 samples for each brand. In the case of unbranded oil, composites were prepared for each administrative division. A total of 44 composite samples, including 23 soybean oil samples (19 branded and 4 unbranded) and 21 palm oil samples (13 branded and 8 unbranded), were tested. Twenty-five individual samples (11 crude and 14 refined) collected from the refineries were also analyzed to trace the origin of the heavy metals. Market samples were analyzed for arsenic (As), cadmium (Cd), chromium (Cr), and lead (Pb) and only mercury (Hg) in both market and refinery samples using various atomic absorption spectrophotometric techniques. The possible adverse health effects of exposure to heavy metals content in edible oil were estimated using the tools of daily exposure ( <math> <mrow> <mrow> <msub><mrow><mi>D</mi></mrow> <mrow><mi>E</mi></mrow> </msub> </mrow> </mrow> </math> ) and noncarcinogenic risk assessment hazard quotient (HQ).</p><p><strong>Results: </strong>The median values of As, Cd, Cr, Pb, and Hg content in soybean and palm oil respectively ranged between <math><mrow><mn>6.9</mn> <mtext> and </mtext> <mn>8.8</mn> <mspace></mspace> <mi>μ</mi> <mi>g</mi> <mo>/</mo> <mi>kg</mi> <mtext> </mtext> <mrow><mrow><mo>(</mo> <mrow><mi>As</mi></mrow> <mo>)</mo></mrow> </mrow> </mrow> </math> , <math><mrow><mn>4.3</mn> <mtext> and </mtext> <mn>6.9</mn> <mspace></mspace> <mi>μ</mi> <mi>g</mi> <mo>/</mo> <mi>kg</mi> <mtext> </mtext> <mrow><mrow><mo>(</mo> <mrow><mi>Cd</mi></mrow> <mo>)</mo></mrow> </mrow> </mrow> </math> , <math><mrow><mn>12.3</mn> <mtext> and </mtext> <mn>42.3</mn> <mspace></mspace> <mi>μ</mi> <mi>g</mi> <mo>/</mo> <mi>kg</mi> <mtext> </mtext> <mrow><mrow><mo>(</mo> <mrow><mi>Cr</mi></mrow> <mo>)</mo></mrow> </mrow> </mrow> </math> , <math><mrow><mn>19.4</mn> <mtext> and </mtext> <mn>27.8</mn> <mspace></mspace> <mi>μ</mi> <mi>g</mi> <mo>/</mo> <mi>kg</mi> <mtext> </mtext> <mrow><mrow><mo>(</mo> <mrow><mi>Pb</mi></mrow> <mo>)</mo></mrow> </mrow> </mrow> </math> , and <math><mrow><mn>1.73</mn> <mtext> and </mtext> <mn>5.11</mn> <mspace></mspace> <mi>mg</mi> <mo>/</mo> <mi>kg</mi> <mtext> </mtext> <mrow><mrow><mo>(</mo> <mrow><mi>Hg</mi></mrow> <mo>)</mo></mrow> </mrow> </mrow> </math> . The differences in heavy metal contents between branded and unbranded oils were not statistically significant. Except for Hg, all other metal concentrations were within national and international standard limits. The estimated <math> <mrow> <mrow> <msub><mrow><mi>D</mi></mrow> <mrow><mi>E</mi></mrow> </msub> </mrow> </mrow> </math> of Hg through edible oil represented a considerable risk for noncarcinogenic health effects ( <math><mrow><mtext>HQ</mtext> <mo>></mo> <mn>1</mn></mrow> </math> ). The ranking orders of HQ for the oil samples were as follows: unbranded soybean oil (3.99) > branded soybean oil (3.50) > branded palm oil (2.61) > unbranded palm oil (1.69).</p><p><strong>Discussion: </strong>The present study evaluated the level of heavy metal contamination in soybean and palm oils and conducted risk assessments associated with their consumption in Bangladesh. It appears that the source of this contamination is the imported crude oil. Strong and effective monitoring infrastructure is needed to regulate the import of safe crude oils for refineries. https://doi.org/10.1289/JHP1072.</p>\",\"PeriodicalId\":52138,\"journal\":{\"name\":\"Journal of Health and Pollution\",\"volume\":\"12 1-4\",\"pages\":\"017002\"},\"PeriodicalIF\":2.4000,\"publicationDate\":\"2024-08-15\",\"publicationTypes\":\"Journal Article\",\"fieldsOfStudy\":null,\"isOpenAccess\":false,\"openAccessPdf\":\"https://www.ncbi.nlm.nih.gov/pmc/articles/PMC12061262/pdf/\",\"citationCount\":\"0\",\"resultStr\":null,\"platform\":\"Semanticscholar\",\"paperid\":null,\"PeriodicalName\":\"Journal of Health and Pollution\",\"FirstCategoryId\":\"1085\",\"ListUrlMain\":\"https://doi.org/10.1289/JHP1072\",\"RegionNum\":0,\"RegionCategory\":null,\"ArticlePicture\":[],\"TitleCN\":null,\"AbstractTextCN\":null,\"PMCID\":null,\"EPubDate\":\"2024/12/1 0:00:00\",\"PubModel\":\"eCollection\",\"JCR\":\"Q1\",\"JCRName\":\"Medicine\",\"Score\":null,\"Total\":0}","platform":"Semanticscholar","paperid":null,"PeriodicalName":"Journal of Health and Pollution","FirstCategoryId":"1085","ListUrlMain":"https://doi.org/10.1289/JHP1072","RegionNum":0,"RegionCategory":null,"ArticlePicture":[],"TitleCN":null,"AbstractTextCN":null,"PMCID":null,"EPubDate":"2024/12/1 0:00:00","PubModel":"eCollection","JCR":"Q1","JCRName":"Medicine","Score":null,"Total":0}
引用次数: 0

摘要

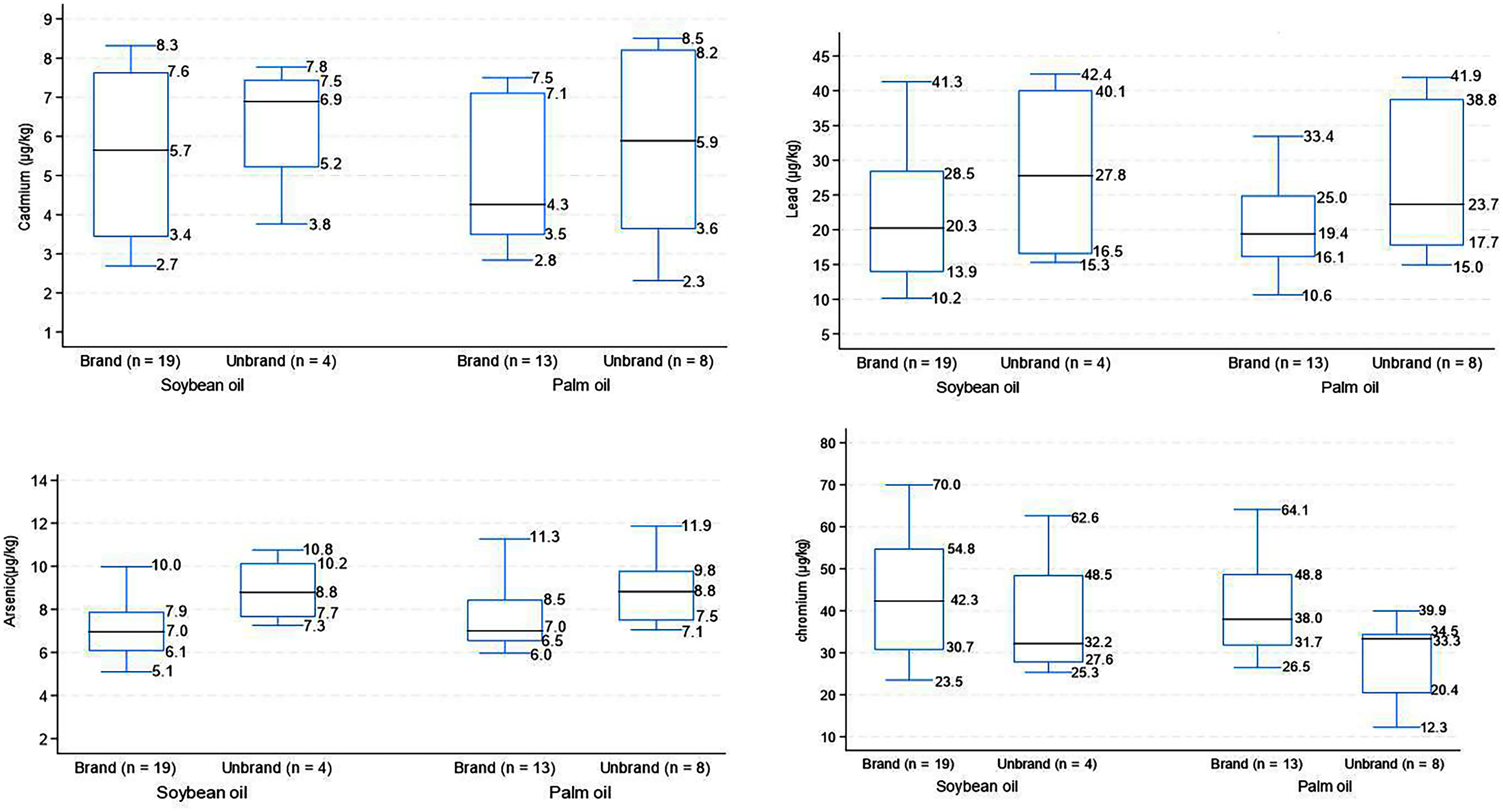
背景:大豆油和棕榈油在孟加拉国被广泛消费。目的:本研究旨在调查在孟加拉国零售商店销售的品牌和非品牌大豆油和棕榈油的全国代表性样品中的重金属水平,并估计其健康风险。方法:从8个行政区划共采集了1521份豆油和棕榈油样品。品牌油的国家复合材料是由每个品牌至少12个样品组合而成的。在无品牌油的情况下,为每个行政区划准备了复合材料。共检测了44份复合样品,其中大豆油23份(有烙印19份,无烙印4份),棕榈油21份(有烙印13份,无烙印8份)。还分析了从炼油厂收集的25个单独样本(11个原油和14个精炼样本),以追踪重金属的来源。使用各种原子吸收分光光度法分析市场样品和炼油厂样品中的砷(As)、镉(Cd)、铬(Cr)和铅(Pb),仅分析汞(Hg)。使用每日暴露量(D E)和非致癌风险评估危害商(HQ)工具估计了暴露于食用油中重金属含量可能产生的不良健康影响。结果:大豆油和棕榈油中As、Cd、Cr、Pb、Hg含量的中位数分别为6.9 ~ 8.8 μ g / kg (As)、4.3 ~ 6.9 μ g / kg (Cd)、12.3 ~ 42.3 μ g / kg (Cr)、19.4 ~ 27.8 μ g / kg (Pb)、1.73 ~ 5.11 mg / kg (Hg)。烙印油与未烙印油重金属含量差异无统计学意义。除汞外,其他金属浓度均在国家和国际标准范围内。据估计,通过食用油摄入的汞的d.e对非致癌性健康影响具有相当大的风险(HQ bbb1)。油样的HQ排序顺序为:无品牌大豆油(3.99)>品牌大豆油(3.50)>品牌棕榈油(2.61)>无品牌棕榈油(1.69)。讨论:本研究评估了大豆油和棕榈油中的重金属污染水平,并进行了与孟加拉国食用大豆油和棕榈油相关的风险评估。看来这次污染的源头是进口原油。需要强有力和有效的监测基础设施来管理炼油厂进口的安全原油。https://doi.org/10.1289/JHP1072。
本文章由计算机程序翻译,如有差异,请以英文原文为准。

Measurement of Heavy Metals in Commercially Available Soybean and Palm Oils and Relevant Health Risk Assessment in Bangladesh.

Measurement of Heavy Metals in Commercially Available Soybean and Palm Oils and Relevant Health Risk Assessment in Bangladesh.

Measurement of Heavy Metals in Commercially Available Soybean and Palm Oils and Relevant Health Risk Assessment in Bangladesh.

Measurement of Heavy Metals in Commercially Available Soybean and Palm Oils and Relevant Health Risk Assessment in Bangladesh.

Background: Soybean and palm oils are widely consumed in Bangladesh.

Objective: The study aimed to investigate the levels of heavy metals and estimate their health risks in nationally representative samples of branded and unbranded soybean and palm oils sold in retail stores in Bangladesh.

Methods: A total of 1,521 soybean and palm oil samples were collected from eight administrative divisions. National composites of branded oil were prepared by combining at least 12 samples for each brand. In the case of unbranded oil, composites were prepared for each administrative division. A total of 44 composite samples, including 23 soybean oil samples (19 branded and 4 unbranded) and 21 palm oil samples (13 branded and 8 unbranded), were tested. Twenty-five individual samples (11 crude and 14 refined) collected from the refineries were also analyzed to trace the origin of the heavy metals. Market samples were analyzed for arsenic (As), cadmium (Cd), chromium (Cr), and lead (Pb) and only mercury (Hg) in both market and refinery samples using various atomic absorption spectrophotometric techniques. The possible adverse health effects of exposure to heavy metals content in edible oil were estimated using the tools of daily exposure ( D E ) and noncarcinogenic risk assessment hazard quotient (HQ).

Results: The median values of As, Cd, Cr, Pb, and Hg content in soybean and palm oil respectively ranged between 6.9  and  8.8 μ g / kg ( As ) , 4.3  and  6.9 μ g / kg ( Cd ) , 12.3  and  42.3 μ g / kg ( Cr ) , 19.4  and  27.8 μ g / kg ( Pb ) , and 1.73  and  5.11 mg / kg ( Hg ) . The differences in heavy metal contents between branded and unbranded oils were not statistically significant. Except for Hg, all other metal concentrations were within national and international standard limits. The estimated D E of Hg through edible oil represented a considerable risk for noncarcinogenic health effects ( HQ > 1 ). The ranking orders of HQ for the oil samples were as follows: unbranded soybean oil (3.99) > branded soybean oil (3.50) > branded palm oil (2.61) > unbranded palm oil (1.69).

Discussion: The present study evaluated the level of heavy metal contamination in soybean and palm oils and conducted risk assessments associated with their consumption in Bangladesh. It appears that the source of this contamination is the imported crude oil. Strong and effective monitoring infrastructure is needed to regulate the import of safe crude oils for refineries. https://doi.org/10.1289/JHP1072.

求助全文
通过发布文献求助,成功后即可免费获取论文全文。 去求助
来源期刊
Journal of Health and Pollution
Journal of Health and Pollution Medicine-Public Health, Environmental and Occupational Health
自引率
0.00%
发文量
0
审稿时长
18 weeks
期刊介绍: The Journal of Health and Pollution (JH&P) was initiated with funding from the European Union and World Bank and continues to be a Platinum Open Access Journal. There are no publication or viewing charges. That is, there are no charges to readers or authors. Upon peer-review and acceptance, all articles are made available online. The high-ranking editorial board is comprised of active members who participate in JH&P submissions and editorial policies. The Journal of Health and Pollution welcomes manuscripts based on original research as well as findings from re-interpretation and examination of existing data. JH&P focuses on point source pollution, related health impacts, environmental control and remediation technology. JH&P also has an interest in ambient and indoor pollution. Pollutants of particular interest include heavy metals, pesticides, radionuclides, dioxins, polychlorinated biphenyls (PCBs), polycyclic aromatic hydrocarbons (PAHs), volatile organic compounds (VOCs), air particulates (PM10 and PM2.5), and other severe and persistent toxins. JH&P emphasizes work relating directly to low and middle-income countries, however relevant work relating to high-income countries will be considered on a case-by-case basis.
×
引用
GB/T 7714-2015
复制
MLA
复制
APA
复制
导出至
BibTeX EndNote RefMan NoteFirst NoteExpress
×
提示
您的信息不完整,为了账户安全,请先补充。
现在去补充
×
提示
您因"违规操作"
具体请查看互助需知
我知道了
×
提示
确定
请完成安全验证×
copy
已复制链接
快去分享给好友吧!
我知道了
右上角分享
点击右上角分享
0
联系我们:info@booksci.cn Book学术提供免费学术资源搜索服务,方便国内外学者检索中英文文献。致力于提供最便捷和优质的服务体验。 Copyright © 2023 布克学术 All rights reserved.
京ICP备2023020795号-1
ghs 京公网安备 11010802042870号
Book学术文献互助
Book学术文献互助群
群 号:604180095
Book学术官方微信