基于胱抑素C和肌酐的肾小球滤过率与脑血管疾病的相关性:一项大型前瞻性队列研究

IF 7.8 Q2 BUSINESS
Zhiming Li, Fei Wang, Jincheng Liu, Benbo Xiong, Han Wang, Zijie Wang, Xiao Hu, Qi Li
{"title":"基于胱抑素C和肌酐的肾小球滤过率与脑血管疾病的相关性:一项大型前瞻性队列研究","authors":"Zhiming Li, Fei Wang, Jincheng Liu, Benbo Xiong, Han Wang, Zijie Wang, Xiao Hu, Qi Li","doi":"10.1016/j.tjpad.2025.100190","DOIUrl":null,"url":null,"abstract":"<p><strong>Background and objective: </strong>It remains unclear whether the difference between the estimated glomerular filtration rate based on cystatin C and creatinine (eGFRdiff) is associated with cerebral small vessel disease (CSVD). We investigated the correlation of eGFRdiff with SCVD and further evaluated the mediating role of blood pressure.</p><p><strong>Methods: </strong>This prospective cohort study included 35,590 neurologically healthy participants at baseline (2006 to 2010) from the UK Biobank. eGFRdiff is divided into two indicators: absolute difference (eGFRabdiff) and ratio (eGFRrediff) based on the calculation between cystatin C and creatinine. CSVD was assessed by calculating white matter hyperintensity volume (WMHV) from T2-FLAIR brain MRI scans (conducted between 2014 and 2021), with values normalized to intracranial volume and log-transformed. Multiple linear regression models and mediation analysis was used to evaluate the associations of eGFRdiff with WMHV.</p><p><strong>Results: </strong>Participants with negative eGFRabdiff had higher WMHV (β = 0.07, 95 % confidence interval [CL] = 0.04 ∼ 0.10), while participants with positive eGFRabdiff had smaller WMHV (β = -0.05, 95 %CL = -0.09 ∼ -0.02), compared to midrange eGFRabdiff group. Meanwhile, participants with eGFRrediff ≤ 0.7 had higher WMHV compared with participants with eGFRrediff > 0.7 (β = 0.08, 95 %CL = 0.01∼ 0.15) .In addition, hypertension mediated the associations between eGFRdiff and WMHV (12.6 % ∼13.2 %).</p><p><strong>Conclusion: </strong>eGFRdiff was independently associated with WMHV. Our findings suggested that monitoring eGFRdiff has potential benefits in identifying the burden of CSVD in the general population in future.</p>","PeriodicalId":22711,"journal":{"name":"The Journal of Prevention of Alzheimer's Disease","volume":" ","pages":"100190"},"PeriodicalIF":7.8000,"publicationDate":"2025-08-01","publicationTypes":"Journal Article","fieldsOfStudy":null,"isOpenAccess":false,"openAccessPdf":"https://www.ncbi.nlm.nih.gov/pmc/articles/PMC12321633/pdf/","citationCount":"0","resultStr":"{\"title\":\"Association of the difference between cystatin C- and creatinine-based estimated glomerular filtration rate with cerebral small vessel disease: A large prospective cohort study.\",\"authors\":\"Zhiming Li, Fei Wang, Jincheng Liu, Benbo Xiong, Han Wang, Zijie Wang, Xiao Hu, Qi Li\",\"doi\":\"10.1016/j.tjpad.2025.100190\",\"DOIUrl\":null,\"url\":null,\"abstract\":\"<p><strong>Background and objective: </strong>It remains unclear whether the difference between the estimated glomerular filtration rate based on cystatin C and creatinine (eGFRdiff) is associated with cerebral small vessel disease (CSVD). We investigated the correlation of eGFRdiff with SCVD and further evaluated the mediating role of blood pressure.</p><p><strong>Methods: </strong>This prospective cohort study included 35,590 neurologically healthy participants at baseline (2006 to 2010) from the UK Biobank. eGFRdiff is divided into two indicators: absolute difference (eGFRabdiff) and ratio (eGFRrediff) based on the calculation between cystatin C and creatinine. CSVD was assessed by calculating white matter hyperintensity volume (WMHV) from T2-FLAIR brain MRI scans (conducted between 2014 and 2021), with values normalized to intracranial volume and log-transformed. Multiple linear regression models and mediation analysis was used to evaluate the associations of eGFRdiff with WMHV.</p><p><strong>Results: </strong>Participants with negative eGFRabdiff had higher WMHV (β = 0.07, 95 % confidence interval [CL] = 0.04 ∼ 0.10), while participants with positive eGFRabdiff had smaller WMHV (β = -0.05, 95 %CL = -0.09 ∼ -0.02), compared to midrange eGFRabdiff group. Meanwhile, participants with eGFRrediff ≤ 0.7 had higher WMHV compared with participants with eGFRrediff > 0.7 (β = 0.08, 95 %CL = 0.01∼ 0.15) .In addition, hypertension mediated the associations between eGFRdiff and WMHV (12.6 % ∼13.2 %).</p><p><strong>Conclusion: </strong>eGFRdiff was independently associated with WMHV. Our findings suggested that monitoring eGFRdiff has potential benefits in identifying the burden of CSVD in the general population in future.</p>\",\"PeriodicalId\":22711,\"journal\":{\"name\":\"The Journal of Prevention of Alzheimer's Disease\",\"volume\":\" \",\"pages\":\"100190\"},\"PeriodicalIF\":7.8000,\"publicationDate\":\"2025-08-01\",\"publicationTypes\":\"Journal Article\",\"fieldsOfStudy\":null,\"isOpenAccess\":false,\"openAccessPdf\":\"https://www.ncbi.nlm.nih.gov/pmc/articles/PMC12321633/pdf/\",\"citationCount\":\"0\",\"resultStr\":null,\"platform\":\"Semanticscholar\",\"paperid\":null,\"PeriodicalName\":\"The Journal of Prevention of Alzheimer's Disease\",\"FirstCategoryId\":\"1085\",\"ListUrlMain\":\"https://doi.org/10.1016/j.tjpad.2025.100190\",\"RegionNum\":0,\"RegionCategory\":null,\"ArticlePicture\":[],\"TitleCN\":null,\"AbstractTextCN\":null,\"PMCID\":null,\"EPubDate\":\"2025/4/24 0:00:00\",\"PubModel\":\"Epub\",\"JCR\":\"Q2\",\"JCRName\":\"BUSINESS\",\"Score\":null,\"Total\":0}","platform":"Semanticscholar","paperid":null,"PeriodicalName":"The Journal of Prevention of Alzheimer's Disease","FirstCategoryId":"1085","ListUrlMain":"https://doi.org/10.1016/j.tjpad.2025.100190","RegionNum":0,"RegionCategory":null,"ArticlePicture":[],"TitleCN":null,"AbstractTextCN":null,"PMCID":null,"EPubDate":"2025/4/24 0:00:00","PubModel":"Epub","JCR":"Q2","JCRName":"BUSINESS","Score":null,"Total":0}
引用次数: 0

摘要

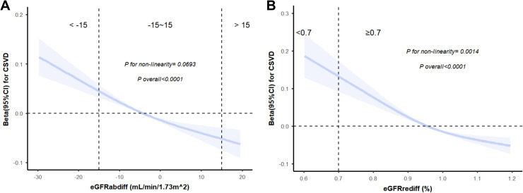
背景与目的:目前尚不清楚基于胱抑素C和肌酐(eGFRdiff)估算的肾小球滤过率之间的差异是否与脑小血管疾病(CSVD)相关。我们研究了eGFRdiff与SCVD的相关性,并进一步评估了血压的介导作用。方法:这项前瞻性队列研究包括35,590名来自英国生物银行的基线(2006年至2010年)神经健康参与者。eGFRdiff根据胱抑素C与肌酐的比值计算,分为绝对差值(eGFRabdiff)和比值(eGFRrediff)两个指标。通过计算2014年至2021年期间进行的T2-FLAIR脑MRI扫描的白质高强度体积(WMHV)来评估CSVD,其值归一化为颅内体积并进行对数变换。采用多元线性回归模型和中介分析来评估eGFRdiff与WMHV的关系。结果:eGFRabdiff阴性受试者的WMHV较高(β = 0.07, 95%置信区间[CL] = 0.04 ~ 0.10),而eGFRabdiff阳性受试者的WMHV较小(β = -0.05, 95% CL = -0.09 ~ -0.02),与中等eGFRabdiff组相比。同时,eGFRdiff≤0.7的受试者的WMHV高于eGFRrediff >.7的受试者(β = 0.08, 95% CL = 0.01 ~ 0.15)。此外,高血压介导了eGFRdiff和WMHV之间的关联(12.6% ~ 13.2%)。结论:eGFRdiff与WMHV独立相关。我们的研究结果表明,监测eGFRdiff在未来确定普通人群心血管疾病负担方面具有潜在的益处。
本文章由计算机程序翻译,如有差异,请以英文原文为准。

Association of the difference between cystatin C- and creatinine-based estimated glomerular filtration rate with cerebral small vessel disease: A large prospective cohort study.

Association of the difference between cystatin C- and creatinine-based estimated glomerular filtration rate with cerebral small vessel disease: A large prospective cohort study.

Association of the difference between cystatin C- and creatinine-based estimated glomerular filtration rate with cerebral small vessel disease: A large prospective cohort study.

Association of the difference between cystatin C- and creatinine-based estimated glomerular filtration rate with cerebral small vessel disease: A large prospective cohort study.

Background and objective: It remains unclear whether the difference between the estimated glomerular filtration rate based on cystatin C and creatinine (eGFRdiff) is associated with cerebral small vessel disease (CSVD). We investigated the correlation of eGFRdiff with SCVD and further evaluated the mediating role of blood pressure.

Methods: This prospective cohort study included 35,590 neurologically healthy participants at baseline (2006 to 2010) from the UK Biobank. eGFRdiff is divided into two indicators: absolute difference (eGFRabdiff) and ratio (eGFRrediff) based on the calculation between cystatin C and creatinine. CSVD was assessed by calculating white matter hyperintensity volume (WMHV) from T2-FLAIR brain MRI scans (conducted between 2014 and 2021), with values normalized to intracranial volume and log-transformed. Multiple linear regression models and mediation analysis was used to evaluate the associations of eGFRdiff with WMHV.

Results: Participants with negative eGFRabdiff had higher WMHV (β = 0.07, 95 % confidence interval [CL] = 0.04 ∼ 0.10), while participants with positive eGFRabdiff had smaller WMHV (β = -0.05, 95 %CL = -0.09 ∼ -0.02), compared to midrange eGFRabdiff group. Meanwhile, participants with eGFRrediff ≤ 0.7 had higher WMHV compared with participants with eGFRrediff > 0.7 (β = 0.08, 95 %CL = 0.01∼ 0.15) .In addition, hypertension mediated the associations between eGFRdiff and WMHV (12.6 % ∼13.2 %).

Conclusion: eGFRdiff was independently associated with WMHV. Our findings suggested that monitoring eGFRdiff has potential benefits in identifying the burden of CSVD in the general population in future.

求助全文
通过发布文献求助,成功后即可免费获取论文全文。 去求助
来源期刊
The Journal of Prevention of Alzheimer's Disease
The Journal of Prevention of Alzheimer's Disease Medicine-Psychiatry and Mental Health
CiteScore
9.20
自引率
0.00%
发文量
0
期刊介绍: The JPAD Journal of Prevention of Alzheimer’Disease will publish reviews, original research articles and short reports to improve our knowledge in the field of Alzheimer prevention including: neurosciences, biomarkers, imaging, epidemiology, public health, physical cognitive exercise, nutrition, risk and protective factors, drug development, trials design, and heath economic outcomes.JPAD will publish also the meeting abstracts from Clinical Trial on Alzheimer Disease (CTAD) and will be distributed both in paper and online version worldwide.We hope that JPAD with your contribution will play a role in the development of Alzheimer prevention.
×
引用
GB/T 7714-2015
复制
MLA
复制
APA
复制
导出至
BibTeX EndNote RefMan NoteFirst NoteExpress
×
提示
您的信息不完整,为了账户安全,请先补充。
现在去补充
×
提示
您因"违规操作"
具体请查看互助需知
我知道了
×
提示
确定
请完成安全验证×
copy
已复制链接
快去分享给好友吧!
我知道了
右上角分享
点击右上角分享
0
联系我们:info@booksci.cn Book学术提供免费学术资源搜索服务,方便国内外学者检索中英文文献。致力于提供最便捷和优质的服务体验。 Copyright © 2023 布克学术 All rights reserved.
京ICP备2023020795号-1
ghs 京公网安备 11010802042870号
Book学术文献互助
Book学术文献互助群
群 号:604180095
Book学术官方微信