口服、注射和吸入皮质类固醇处方的治疗持久性和变化:一项基于人群的药物利用研究。

IF 2.4 4区 医学 Q3 PHARMACOLOGY & PHARMACY
Eleni Domzaridou, Matthew J Carr, David M Williams, Anthony J Avery, Tjeerd van Staa, D Aled Rees, Darren M Ashcroft
{"title":"口服、注射和吸入皮质类固醇处方的治疗持久性和变化:一项基于人群的药物利用研究。","authors":"Eleni Domzaridou, Matthew J Carr, David M Williams, Anthony J Avery, Tjeerd van Staa, D Aled Rees, Darren M Ashcroft","doi":"10.1002/pds.70153","DOIUrl":null,"url":null,"abstract":"<p><strong>Purpose: </strong>To examine variation in oral, injectable, and inhaled corticosteroid (CS) prescribing in primary care, exploring treatment persistence and coverage.</p><p><strong>Methods: </strong>We examined patient-level electronic health records from English general practices in the Clinical Practice Research Datalink Aurum database. We delineated a cohort of new users of oral, injectable, or inhaled CS with prescriptions issued between January 1, 2000, and June 30, 2021. Lorenz curves assessed potential prescribing skewness, and Kaplan-Meier (KM) plots estimated treatment persistence. The Proportion of Patients Covered (PPC) method estimated the proportion of patients still covered by treatment 1 year after initiation.</p><p><strong>Results: </strong>We observed 1 942 571 CS users across 1471 general practices, with 20% of oral and inhaled CS users accounting for almost 80% of total CS use. Older patients with comorbidities including respiratory diseases (13.5%), skin conditions (5.8%), or inflammatory bowel diseases (1.6%) were more likely to be prescribed higher doses. The KM plots showed that 20% of oral and 50% of inhaled CS users were persistent after one and 2 months, respectively. The PPC method indicated that 30% of oral and 60% of inhaled CS users were covered by treatment 6 months post-initiation. Some variation was observed when different grace periods were applied. Combined use of oral and inhaled CS was observed for 6.9% of patients.</p><p><strong>Conclusion: </strong>A fifth of patients receiving CS accounted for over 80% of oral and inhaled CS prescribing in primary care. Identifying these patients is crucial for targeting future interventions to promote patient safety and cost-effective CS use.</p>","PeriodicalId":19782,"journal":{"name":"Pharmacoepidemiology and Drug Safety","volume":"34 5","pages":"e70153"},"PeriodicalIF":2.4000,"publicationDate":"2025-05-01","publicationTypes":"Journal Article","fieldsOfStudy":null,"isOpenAccess":false,"openAccessPdf":"https://www.ncbi.nlm.nih.gov/pmc/articles/PMC12042156/pdf/","citationCount":"0","resultStr":"{\"title\":\"Treatment Persistence and Variations in Prescribing Oral, Injectable, and Inhaled Corticosteroids: A Population-Based Drug Utilisation Study.\",\"authors\":\"Eleni Domzaridou, Matthew J Carr, David M Williams, Anthony J Avery, Tjeerd van Staa, D Aled Rees, Darren M Ashcroft\",\"doi\":\"10.1002/pds.70153\",\"DOIUrl\":null,\"url\":null,\"abstract\":\"<p><strong>Purpose: </strong>To examine variation in oral, injectable, and inhaled corticosteroid (CS) prescribing in primary care, exploring treatment persistence and coverage.</p><p><strong>Methods: </strong>We examined patient-level electronic health records from English general practices in the Clinical Practice Research Datalink Aurum database. We delineated a cohort of new users of oral, injectable, or inhaled CS with prescriptions issued between January 1, 2000, and June 30, 2021. Lorenz curves assessed potential prescribing skewness, and Kaplan-Meier (KM) plots estimated treatment persistence. The Proportion of Patients Covered (PPC) method estimated the proportion of patients still covered by treatment 1 year after initiation.</p><p><strong>Results: </strong>We observed 1 942 571 CS users across 1471 general practices, with 20% of oral and inhaled CS users accounting for almost 80% of total CS use. Older patients with comorbidities including respiratory diseases (13.5%), skin conditions (5.8%), or inflammatory bowel diseases (1.6%) were more likely to be prescribed higher doses. The KM plots showed that 20% of oral and 50% of inhaled CS users were persistent after one and 2 months, respectively. The PPC method indicated that 30% of oral and 60% of inhaled CS users were covered by treatment 6 months post-initiation. Some variation was observed when different grace periods were applied. Combined use of oral and inhaled CS was observed for 6.9% of patients.</p><p><strong>Conclusion: </strong>A fifth of patients receiving CS accounted for over 80% of oral and inhaled CS prescribing in primary care. Identifying these patients is crucial for targeting future interventions to promote patient safety and cost-effective CS use.</p>\",\"PeriodicalId\":19782,\"journal\":{\"name\":\"Pharmacoepidemiology and Drug Safety\",\"volume\":\"34 5\",\"pages\":\"e70153\"},\"PeriodicalIF\":2.4000,\"publicationDate\":\"2025-05-01\",\"publicationTypes\":\"Journal Article\",\"fieldsOfStudy\":null,\"isOpenAccess\":false,\"openAccessPdf\":\"https://www.ncbi.nlm.nih.gov/pmc/articles/PMC12042156/pdf/\",\"citationCount\":\"0\",\"resultStr\":null,\"platform\":\"Semanticscholar\",\"paperid\":null,\"PeriodicalName\":\"Pharmacoepidemiology and Drug Safety\",\"FirstCategoryId\":\"3\",\"ListUrlMain\":\"https://doi.org/10.1002/pds.70153\",\"RegionNum\":4,\"RegionCategory\":\"医学\",\"ArticlePicture\":[],\"TitleCN\":null,\"AbstractTextCN\":null,\"PMCID\":null,\"EPubDate\":\"\",\"PubModel\":\"\",\"JCR\":\"Q3\",\"JCRName\":\"PHARMACOLOGY & PHARMACY\",\"Score\":null,\"Total\":0}","platform":"Semanticscholar","paperid":null,"PeriodicalName":"Pharmacoepidemiology and Drug Safety","FirstCategoryId":"3","ListUrlMain":"https://doi.org/10.1002/pds.70153","RegionNum":4,"RegionCategory":"医学","ArticlePicture":[],"TitleCN":null,"AbstractTextCN":null,"PMCID":null,"EPubDate":"","PubModel":"","JCR":"Q3","JCRName":"PHARMACOLOGY & PHARMACY","Score":null,"Total":0}
引用次数: 0

摘要

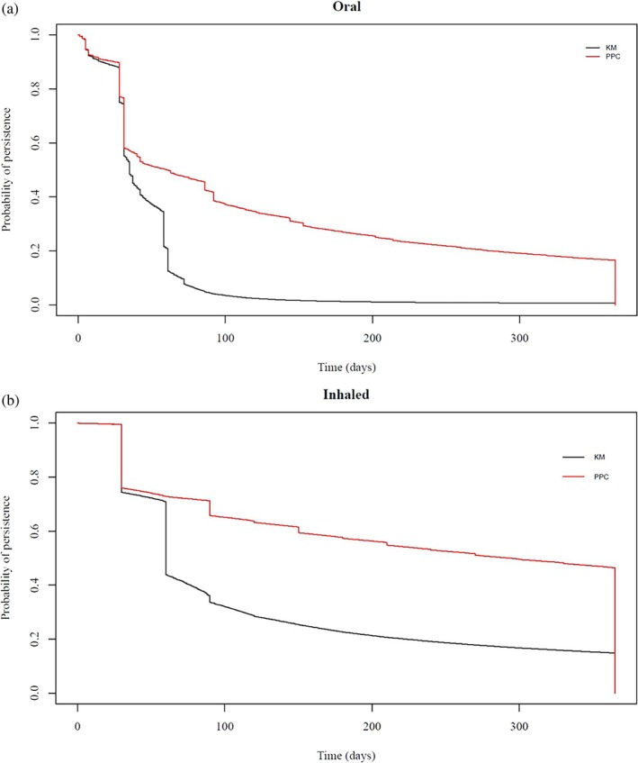
目的:研究初级保健中口服、注射和吸入皮质类固醇(CS)处方的变化,探讨治疗的持久性和覆盖率。方法:我们检查了临床实践研究数据链Aurum数据库中来自英语全科医生的患者级电子健康记录。我们对2000年1月1日至2021年6月30日开具处方的口服、注射或吸入CS的新使用者进行了队列研究。Lorenz曲线评估潜在的处方偏度,Kaplan-Meier (KM)图估计治疗持久性。覆盖患者比例(PPC)方法估计在开始治疗1年后仍被治疗的患者比例。结果:我们观察了1471个全科诊所的1942571名CS使用者,其中20%的口服和吸入CS使用者占CS总使用量的近80%。患有呼吸道疾病(13.5%)、皮肤病(5.8%)或炎症性肠病(1.6%)等合并症的老年患者更有可能被开出更高的剂量。KM图显示,20%的口服和50%的吸入CS使用者分别在1个月和2个月后持续使用。PPC方法表明,30%的口服和60%的吸入CS使用者在开始治疗后6个月被覆盖。当应用不同的宽限期时,观察到一些变化。6.9%的患者联合使用口服和吸入CS。结论:五分之一接受CS的患者占初级保健中口服和吸入CS处方的80%以上。识别这些患者对于确定未来干预措施以促进患者安全和具有成本效益的CS使用至关重要。
本文章由计算机程序翻译,如有差异,请以英文原文为准。

Treatment Persistence and Variations in Prescribing Oral, Injectable, and Inhaled Corticosteroids: A Population-Based Drug Utilisation Study.

Treatment Persistence and Variations in Prescribing Oral, Injectable, and Inhaled Corticosteroids: A Population-Based Drug Utilisation Study.

Treatment Persistence and Variations in Prescribing Oral, Injectable, and Inhaled Corticosteroids: A Population-Based Drug Utilisation Study.

Treatment Persistence and Variations in Prescribing Oral, Injectable, and Inhaled Corticosteroids: A Population-Based Drug Utilisation Study.

Purpose: To examine variation in oral, injectable, and inhaled corticosteroid (CS) prescribing in primary care, exploring treatment persistence and coverage.

Methods: We examined patient-level electronic health records from English general practices in the Clinical Practice Research Datalink Aurum database. We delineated a cohort of new users of oral, injectable, or inhaled CS with prescriptions issued between January 1, 2000, and June 30, 2021. Lorenz curves assessed potential prescribing skewness, and Kaplan-Meier (KM) plots estimated treatment persistence. The Proportion of Patients Covered (PPC) method estimated the proportion of patients still covered by treatment 1 year after initiation.

Results: We observed 1 942 571 CS users across 1471 general practices, with 20% of oral and inhaled CS users accounting for almost 80% of total CS use. Older patients with comorbidities including respiratory diseases (13.5%), skin conditions (5.8%), or inflammatory bowel diseases (1.6%) were more likely to be prescribed higher doses. The KM plots showed that 20% of oral and 50% of inhaled CS users were persistent after one and 2 months, respectively. The PPC method indicated that 30% of oral and 60% of inhaled CS users were covered by treatment 6 months post-initiation. Some variation was observed when different grace periods were applied. Combined use of oral and inhaled CS was observed for 6.9% of patients.

Conclusion: A fifth of patients receiving CS accounted for over 80% of oral and inhaled CS prescribing in primary care. Identifying these patients is crucial for targeting future interventions to promote patient safety and cost-effective CS use.

求助全文
通过发布文献求助,成功后即可免费获取论文全文。 去求助
来源期刊
CiteScore
4.80
自引率
7.70%
发文量
173
审稿时长
3 months
期刊介绍: The aim of Pharmacoepidemiology and Drug Safety is to provide an international forum for the communication and evaluation of data, methods and opinion in the discipline of pharmacoepidemiology. The Journal publishes peer-reviewed reports of original research, invited reviews and a variety of guest editorials and commentaries embracing scientific, medical, statistical, legal and economic aspects of pharmacoepidemiology and post-marketing surveillance of drug safety. Appropriate material in these categories may also be considered for publication as a Brief Report. Particular areas of interest include: design, analysis, results, and interpretation of studies looking at the benefit or safety of specific pharmaceuticals, biologics, or medical devices, including studies in pharmacovigilance, postmarketing surveillance, pharmacoeconomics, patient safety, molecular pharmacoepidemiology, or any other study within the broad field of pharmacoepidemiology; comparative effectiveness research relating to pharmaceuticals, biologics, and medical devices. Comparative effectiveness research is the generation and synthesis of evidence that compares the benefits and harms of alternative methods to prevent, diagnose, treat, and monitor a clinical condition, as these methods are truly used in the real world; methodologic contributions of relevance to pharmacoepidemiology, whether original contributions, reviews of existing methods, or tutorials for how to apply the methods of pharmacoepidemiology; assessments of harm versus benefit in drug therapy; patterns of drug utilization; relationships between pharmacoepidemiology and the formulation and interpretation of regulatory guidelines; evaluations of risk management plans and programmes relating to pharmaceuticals, biologics and medical devices.
×
引用
GB/T 7714-2015
复制
MLA
复制
APA
复制
导出至
BibTeX EndNote RefMan NoteFirst NoteExpress
×
提示
您的信息不完整,为了账户安全,请先补充。
现在去补充
×
提示
您因"违规操作"
具体请查看互助需知
我知道了
×
提示
确定
请完成安全验证×
copy
已复制链接
快去分享给好友吧!
我知道了
右上角分享
点击右上角分享
0
联系我们:info@booksci.cn Book学术提供免费学术资源搜索服务,方便国内外学者检索中英文文献。致力于提供最便捷和优质的服务体验。 Copyright © 2023 布克学术 All rights reserved.
京ICP备2023020795号-1
ghs 京公网安备 11010802042870号
Book学术文献互助
Book学术文献互助群
群 号:604180095
Book学术官方微信