小儿脊柱外科侵袭性指数的建立与验证。

IF 1.8 Q3 CLINICAL NEUROLOGY
Spine deformity Pub Date : 2025-09-01 Epub Date: 2025-05-13 DOI:10.1007/s43390-025-01106-y
Vivien Chan, Adeesya Gausper, Andrew Chan-Tai-Kong, Andy M Liu, Suhas Etigunta, Justin K Scheer, Lindsay M Andras, David L Skaggs
{"title":"小儿脊柱外科侵袭性指数的建立与验证。","authors":"Vivien Chan, Adeesya Gausper, Andrew Chan-Tai-Kong, Andy M Liu, Suhas Etigunta, Justin K Scheer, Lindsay M Andras, David L Skaggs","doi":"10.1007/s43390-025-01106-y","DOIUrl":null,"url":null,"abstract":"<p><strong>Purpose: </strong>Surgical invasiveness indices have been used in adult spine surgery to characterize the invasiveness of complex procedures and for risk stratification. This has not been studied in the pediatric population. The purpose of this study was to develop and validate a surgical invasiveness index for pediatric spinal deformity surgery.</p><p><strong>Methods: </strong>The National Surgical Quality Improvement Program (NSQIP) Pediatric database was queried between the years 2016-2022. Patients were included if they were <18 years of age, received posterior or anterior-posterior spinal fusion surgery, and had a diagnosis of spinal deformity. The study cohort was divided into a derivation cohort and a validation cohort. A multivariable linear regression analysis was performed to identify surgical components associated with operative time. Surgical components of interest included number of posterior fusion levels, number of anterior fusion levels, pelvic instrumentation, posterior column osteotomies, three-column osteotomies, and prior spinal deformity surgery. Statistically significant variables were used to establish a pediatric spinal deformity surgical invasiveness index. The score was assessed and validated using linear and logistic regression analysis and receiver operating characteristic curve analysis on operative time and allogeneic transfusion.</p><p><strong>Results: </strong>There were 37,658 patients included (Derivation cohort: 26,372; Validation cohort: 11,286). In the linear regression analysis, more posterior fusion levels (7-12 levels: 0.54, p<0.001;>12 levels: 1.40, p<0.001), anterior fusion 1-3 levels (2.42, p<0.001), anterior fusion ≥4 levels (2.93, p<0.001), pelvic instrumentation (0.79, p<0.001), and previous spinal deformity surgery (0.44, p<0.001) were associated with longer operative time. Each level of posterior column osteotomy (0.13, p<0.001) and three-column osteotomy (0.61, p<0.001) were associated with increased operative time. Points were assigned to each surgical component: 7-12 posterior fusion levels (4 pts), >12 posterior fusion levels (11 pts), anterior fusion 1-3 levels (19 pts), anterior fusion ≥4 levels (23 pts), pelvic instrumentation (6 pts), previous spinal deformity surgery (3 pts), posterior column osteotomy (1 pt per level), and three-column osteotomy (5 pts per level). In the derivation cohort, each point was associated with an increase in operative time by 0.13 hours (R<sup>2</sup>=0.16, p<0.001). In the validation cohort, each point was associated with an increase in operative time by 0.12 hours (R<sup>2</sup>=0.15, p<0.001). In the derivation cohort, the area under the curve (AUC) for operative time ≥8 hours and allogeneic transfusion were 0.74 and 0.71, respectively. In the validation cohort, the AUC for operative time ≥8 hours and allogeneic transfusion were 0.74 and 0.70, respectively.</p><p><strong>Conclusion: </strong>A pediatric spinal deformity surgical invasiveness index was created and predictive of prolonged operative time and allogeneic transfusion. This is the first quantitative tool to measure the extent of surgical interventions in pediatric spine surgery.</p>","PeriodicalId":21796,"journal":{"name":"Spine deformity","volume":" ","pages":"1367-1376"},"PeriodicalIF":1.8000,"publicationDate":"2025-09-01","publicationTypes":"Journal Article","fieldsOfStudy":null,"isOpenAccess":false,"openAccessPdf":"https://www.ncbi.nlm.nih.gov/pmc/articles/PMC12401766/pdf/","citationCount":"0","resultStr":"{\"title\":\"Development and validation of a pediatric spine surgical invasiveness index.\",\"authors\":\"Vivien Chan, Adeesya Gausper, Andrew Chan-Tai-Kong, Andy M Liu, Suhas Etigunta, Justin K Scheer, Lindsay M Andras, David L Skaggs\",\"doi\":\"10.1007/s43390-025-01106-y\",\"DOIUrl\":null,\"url\":null,\"abstract\":\"<p><strong>Purpose: </strong>Surgical invasiveness indices have been used in adult spine surgery to characterize the invasiveness of complex procedures and for risk stratification. This has not been studied in the pediatric population. The purpose of this study was to develop and validate a surgical invasiveness index for pediatric spinal deformity surgery.</p><p><strong>Methods: </strong>The National Surgical Quality Improvement Program (NSQIP) Pediatric database was queried between the years 2016-2022. Patients were included if they were <18 years of age, received posterior or anterior-posterior spinal fusion surgery, and had a diagnosis of spinal deformity. The study cohort was divided into a derivation cohort and a validation cohort. A multivariable linear regression analysis was performed to identify surgical components associated with operative time. Surgical components of interest included number of posterior fusion levels, number of anterior fusion levels, pelvic instrumentation, posterior column osteotomies, three-column osteotomies, and prior spinal deformity surgery. Statistically significant variables were used to establish a pediatric spinal deformity surgical invasiveness index. The score was assessed and validated using linear and logistic regression analysis and receiver operating characteristic curve analysis on operative time and allogeneic transfusion.</p><p><strong>Results: </strong>There were 37,658 patients included (Derivation cohort: 26,372; Validation cohort: 11,286). In the linear regression analysis, more posterior fusion levels (7-12 levels: 0.54, p<0.001;>12 levels: 1.40, p<0.001), anterior fusion 1-3 levels (2.42, p<0.001), anterior fusion ≥4 levels (2.93, p<0.001), pelvic instrumentation (0.79, p<0.001), and previous spinal deformity surgery (0.44, p<0.001) were associated with longer operative time. Each level of posterior column osteotomy (0.13, p<0.001) and three-column osteotomy (0.61, p<0.001) were associated with increased operative time. Points were assigned to each surgical component: 7-12 posterior fusion levels (4 pts), >12 posterior fusion levels (11 pts), anterior fusion 1-3 levels (19 pts), anterior fusion ≥4 levels (23 pts), pelvic instrumentation (6 pts), previous spinal deformity surgery (3 pts), posterior column osteotomy (1 pt per level), and three-column osteotomy (5 pts per level). In the derivation cohort, each point was associated with an increase in operative time by 0.13 hours (R<sup>2</sup>=0.16, p<0.001). In the validation cohort, each point was associated with an increase in operative time by 0.12 hours (R<sup>2</sup>=0.15, p<0.001). In the derivation cohort, the area under the curve (AUC) for operative time ≥8 hours and allogeneic transfusion were 0.74 and 0.71, respectively. In the validation cohort, the AUC for operative time ≥8 hours and allogeneic transfusion were 0.74 and 0.70, respectively.</p><p><strong>Conclusion: </strong>A pediatric spinal deformity surgical invasiveness index was created and predictive of prolonged operative time and allogeneic transfusion. This is the first quantitative tool to measure the extent of surgical interventions in pediatric spine surgery.</p>\",\"PeriodicalId\":21796,\"journal\":{\"name\":\"Spine deformity\",\"volume\":\" \",\"pages\":\"1367-1376\"},\"PeriodicalIF\":1.8000,\"publicationDate\":\"2025-09-01\",\"publicationTypes\":\"Journal Article\",\"fieldsOfStudy\":null,\"isOpenAccess\":false,\"openAccessPdf\":\"https://www.ncbi.nlm.nih.gov/pmc/articles/PMC12401766/pdf/\",\"citationCount\":\"0\",\"resultStr\":null,\"platform\":\"Semanticscholar\",\"paperid\":null,\"PeriodicalName\":\"Spine deformity\",\"FirstCategoryId\":\"1085\",\"ListUrlMain\":\"https://doi.org/10.1007/s43390-025-01106-y\",\"RegionNum\":0,\"RegionCategory\":null,\"ArticlePicture\":[],\"TitleCN\":null,\"AbstractTextCN\":null,\"PMCID\":null,\"EPubDate\":\"2025/5/13 0:00:00\",\"PubModel\":\"Epub\",\"JCR\":\"Q3\",\"JCRName\":\"CLINICAL NEUROLOGY\",\"Score\":null,\"Total\":0}","platform":"Semanticscholar","paperid":null,"PeriodicalName":"Spine deformity","FirstCategoryId":"1085","ListUrlMain":"https://doi.org/10.1007/s43390-025-01106-y","RegionNum":0,"RegionCategory":null,"ArticlePicture":[],"TitleCN":null,"AbstractTextCN":null,"PMCID":null,"EPubDate":"2025/5/13 0:00:00","PubModel":"Epub","JCR":"Q3","JCRName":"CLINICAL NEUROLOGY","Score":null,"Total":0}
引用次数: 0

摘要

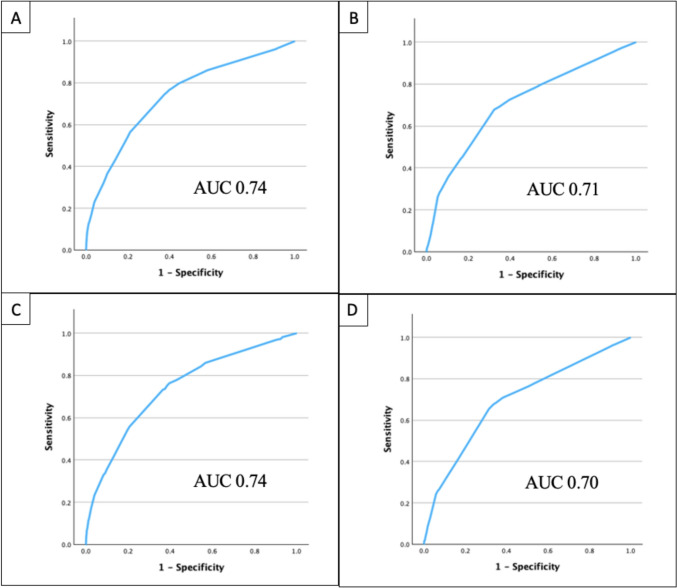
目的:手术侵入性指标已被用于成人脊柱外科复杂手术的侵入性特征和风险分层。这还没有在儿科人群中进行过研究。本研究的目的是建立和验证小儿脊柱畸形手术的手术侵入性指数。方法:查询2016-2022年国家外科质量改进计划(NSQIP)儿科数据库。结果:共纳入37658例患者(衍生队列:26372例;验证队列:11,286)。在线性回归分析中,更多的后路融合水平(7-12个水平:0.54个,p12个水平:1.40个,p12个水平:后路融合(11个),前路融合1-3个水平(19个),前路融合≥4个水平(23个),骨盆内固定(6个),既往脊柱畸形手术(3个),后路截骨术(每节1个)和三柱截骨术(每节5个)。在衍生队列中,每个点与手术时间增加0.13小时相关(R2=0.16, p2=0.15, p)。结论:建立了小儿脊柱畸形手术侵袭性指数,并预测手术时间延长和异体输血。这是测量小儿脊柱外科手术干预程度的第一个定量工具。
本文章由计算机程序翻译,如有差异,请以英文原文为准。

Development and validation of a pediatric spine surgical invasiveness index.

Development and validation of a pediatric spine surgical invasiveness index.

Development and validation of a pediatric spine surgical invasiveness index.

Purpose: Surgical invasiveness indices have been used in adult spine surgery to characterize the invasiveness of complex procedures and for risk stratification. This has not been studied in the pediatric population. The purpose of this study was to develop and validate a surgical invasiveness index for pediatric spinal deformity surgery.

Methods: The National Surgical Quality Improvement Program (NSQIP) Pediatric database was queried between the years 2016-2022. Patients were included if they were <18 years of age, received posterior or anterior-posterior spinal fusion surgery, and had a diagnosis of spinal deformity. The study cohort was divided into a derivation cohort and a validation cohort. A multivariable linear regression analysis was performed to identify surgical components associated with operative time. Surgical components of interest included number of posterior fusion levels, number of anterior fusion levels, pelvic instrumentation, posterior column osteotomies, three-column osteotomies, and prior spinal deformity surgery. Statistically significant variables were used to establish a pediatric spinal deformity surgical invasiveness index. The score was assessed and validated using linear and logistic regression analysis and receiver operating characteristic curve analysis on operative time and allogeneic transfusion.

Results: There were 37,658 patients included (Derivation cohort: 26,372; Validation cohort: 11,286). In the linear regression analysis, more posterior fusion levels (7-12 levels: 0.54, p<0.001;>12 levels: 1.40, p<0.001), anterior fusion 1-3 levels (2.42, p<0.001), anterior fusion ≥4 levels (2.93, p<0.001), pelvic instrumentation (0.79, p<0.001), and previous spinal deformity surgery (0.44, p<0.001) were associated with longer operative time. Each level of posterior column osteotomy (0.13, p<0.001) and three-column osteotomy (0.61, p<0.001) were associated with increased operative time. Points were assigned to each surgical component: 7-12 posterior fusion levels (4 pts), >12 posterior fusion levels (11 pts), anterior fusion 1-3 levels (19 pts), anterior fusion ≥4 levels (23 pts), pelvic instrumentation (6 pts), previous spinal deformity surgery (3 pts), posterior column osteotomy (1 pt per level), and three-column osteotomy (5 pts per level). In the derivation cohort, each point was associated with an increase in operative time by 0.13 hours (R2=0.16, p<0.001). In the validation cohort, each point was associated with an increase in operative time by 0.12 hours (R2=0.15, p<0.001). In the derivation cohort, the area under the curve (AUC) for operative time ≥8 hours and allogeneic transfusion were 0.74 and 0.71, respectively. In the validation cohort, the AUC for operative time ≥8 hours and allogeneic transfusion were 0.74 and 0.70, respectively.

Conclusion: A pediatric spinal deformity surgical invasiveness index was created and predictive of prolonged operative time and allogeneic transfusion. This is the first quantitative tool to measure the extent of surgical interventions in pediatric spine surgery.

求助全文
通过发布文献求助,成功后即可免费获取论文全文。 去求助
来源期刊
CiteScore
3.20
自引率
18.80%
发文量
167
期刊介绍: Spine Deformity the official journal of the?Scoliosis Research Society is a peer-refereed publication to disseminate knowledge on basic science and clinical research into the?etiology?biomechanics?treatment?methods and outcomes of all types of?spinal deformities. The international members of the Editorial Board provide a worldwide perspective for the journal's area of interest.The?journal?will enhance the mission of the Society which is to foster the optimal care of all patients with?spine?deformities worldwide. Articles published in?Spine Deformity?are Medline indexed in PubMed.? The journal publishes original articles in the form of clinical and basic research. Spine Deformity will only publish studies that have institutional review board (IRB) or similar ethics committee approval for human and animal studies and have strictly observed these guidelines. The minimum follow-up period for follow-up clinical studies is 24 months.
×
引用
GB/T 7714-2015
复制
MLA
复制
APA
复制
导出至
BibTeX EndNote RefMan NoteFirst NoteExpress
×
提示
您的信息不完整,为了账户安全,请先补充。
现在去补充
×
提示
您因"违规操作"
具体请查看互助需知
我知道了
×
提示
确定
请完成安全验证×
copy
已复制链接
快去分享给好友吧!
我知道了
右上角分享
点击右上角分享
0
联系我们:info@booksci.cn Book学术提供免费学术资源搜索服务,方便国内外学者检索中英文文献。致力于提供最便捷和优质的服务体验。 Copyright © 2023 布克学术 All rights reserved.
京ICP备2023020795号-1
ghs 京公网安备 11010802042870号
Book学术文献互助
Book学术文献互助群
群 号:604180095
Book学术官方微信