比较50岁以下和50岁以上成人ASD关闭对超声心动图指标的影响。

IF 2.4 Q2 CARDIAC & CARDIOVASCULAR SYSTEMS
Reza Kiani, Parisa Firoozbakhsh, Negar Dokhani, Azin Alizadehasl, Hooman Bakhshandeh, Ata Firouzi, Ali Zahedmehr, Mahnaz Daneshzadeh
{"title":"比较50岁以下和50岁以上成人ASD关闭对超声心动图指标的影响。","authors":"Reza Kiani, Parisa Firoozbakhsh, Negar Dokhani, Azin Alizadehasl, Hooman Bakhshandeh, Ata Firouzi, Ali Zahedmehr, Mahnaz Daneshzadeh","doi":"10.1186/s44156-025-00074-3","DOIUrl":null,"url":null,"abstract":"<p><strong>Background: </strong>Transcatheter device closure is the method of choice for the closure of secundum atrial septal defects (ASD) with appropriate anatomic characteristics, leading to symptomatic relief, increased survival rates, cardiac remodeling, and improved cardiac function.</p><p><strong>Objective: </strong>Assessing the impact of transcatheter ASD closure on echocardiographic indices and comparing them between individuals younger and older than 50.</p><p><strong>Method: </strong>In this retrospective cohort study, 240 patients with isolated secundum ASD and complete documentation and follow-up data who underwent transcatheter device closure between 2015 and 2019 were included. Demographic, peri-procedural, and echocardiographic findings were compared before and after the procedure and among two age groups.</p><p><strong>Results: </strong>A total of 240 patients (68% female, 44% younger than 50) with a median age of 51 underwent transcatheter ASD closure. ASD closure led to a significant decline in the size of four cardiac chambers and systolic pulmonary arterial pressure (SPAP), in addition to a significant improvement in biventricular systolic function, LV diastolic function, and valvular insufficiencies. Although patients aged 50 and older had worse LV diastolic and RV systolic function, in addition to larger RV size and bi-atrial dimensions at the baseline, the extent of improvement of these parameters among them was significantly more pronounced than those younger than 50. There were no significant differences in the extent of the decline in SPAP between the two groups.</p><p><strong>Conclusion: </strong>Transcatheter ASD device closure is a beneficial procedure with high success rates and low complication rates among older individuals, eventually leading to improvements in cardiac form and function.</p>","PeriodicalId":45749,"journal":{"name":"Echo Research and Practice","volume":"12 1","pages":"10"},"PeriodicalIF":2.4000,"publicationDate":"2025-05-05","publicationTypes":"Journal Article","fieldsOfStudy":null,"isOpenAccess":false,"openAccessPdf":"https://www.ncbi.nlm.nih.gov/pmc/articles/PMC12051308/pdf/","citationCount":"0","resultStr":"{\"title\":\"Comparing the impact of transcatheter ASD closure on echocardiographic indices in adults below and above 50 years.\",\"authors\":\"Reza Kiani, Parisa Firoozbakhsh, Negar Dokhani, Azin Alizadehasl, Hooman Bakhshandeh, Ata Firouzi, Ali Zahedmehr, Mahnaz Daneshzadeh\",\"doi\":\"10.1186/s44156-025-00074-3\",\"DOIUrl\":null,\"url\":null,\"abstract\":\"<p><strong>Background: </strong>Transcatheter device closure is the method of choice for the closure of secundum atrial septal defects (ASD) with appropriate anatomic characteristics, leading to symptomatic relief, increased survival rates, cardiac remodeling, and improved cardiac function.</p><p><strong>Objective: </strong>Assessing the impact of transcatheter ASD closure on echocardiographic indices and comparing them between individuals younger and older than 50.</p><p><strong>Method: </strong>In this retrospective cohort study, 240 patients with isolated secundum ASD and complete documentation and follow-up data who underwent transcatheter device closure between 2015 and 2019 were included. Demographic, peri-procedural, and echocardiographic findings were compared before and after the procedure and among two age groups.</p><p><strong>Results: </strong>A total of 240 patients (68% female, 44% younger than 50) with a median age of 51 underwent transcatheter ASD closure. ASD closure led to a significant decline in the size of four cardiac chambers and systolic pulmonary arterial pressure (SPAP), in addition to a significant improvement in biventricular systolic function, LV diastolic function, and valvular insufficiencies. Although patients aged 50 and older had worse LV diastolic and RV systolic function, in addition to larger RV size and bi-atrial dimensions at the baseline, the extent of improvement of these parameters among them was significantly more pronounced than those younger than 50. There were no significant differences in the extent of the decline in SPAP between the two groups.</p><p><strong>Conclusion: </strong>Transcatheter ASD device closure is a beneficial procedure with high success rates and low complication rates among older individuals, eventually leading to improvements in cardiac form and function.</p>\",\"PeriodicalId\":45749,\"journal\":{\"name\":\"Echo Research and Practice\",\"volume\":\"12 1\",\"pages\":\"10\"},\"PeriodicalIF\":2.4000,\"publicationDate\":\"2025-05-05\",\"publicationTypes\":\"Journal Article\",\"fieldsOfStudy\":null,\"isOpenAccess\":false,\"openAccessPdf\":\"https://www.ncbi.nlm.nih.gov/pmc/articles/PMC12051308/pdf/\",\"citationCount\":\"0\",\"resultStr\":null,\"platform\":\"Semanticscholar\",\"paperid\":null,\"PeriodicalName\":\"Echo Research and Practice\",\"FirstCategoryId\":\"1085\",\"ListUrlMain\":\"https://doi.org/10.1186/s44156-025-00074-3\",\"RegionNum\":0,\"RegionCategory\":null,\"ArticlePicture\":[],\"TitleCN\":null,\"AbstractTextCN\":null,\"PMCID\":null,\"EPubDate\":\"\",\"PubModel\":\"\",\"JCR\":\"Q2\",\"JCRName\":\"CARDIAC & CARDIOVASCULAR SYSTEMS\",\"Score\":null,\"Total\":0}","platform":"Semanticscholar","paperid":null,"PeriodicalName":"Echo Research and Practice","FirstCategoryId":"1085","ListUrlMain":"https://doi.org/10.1186/s44156-025-00074-3","RegionNum":0,"RegionCategory":null,"ArticlePicture":[],"TitleCN":null,"AbstractTextCN":null,"PMCID":null,"EPubDate":"","PubModel":"","JCR":"Q2","JCRName":"CARDIAC & CARDIOVASCULAR SYSTEMS","Score":null,"Total":0}
引用次数: 0

摘要

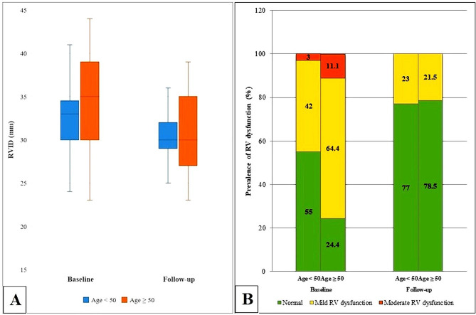
背景:经导管装置闭合是继发性房间隔缺损(ASD)闭合的首选方法,具有适当的解剖特征,可缓解症状,提高生存率,心脏重塑,改善心功能。目的:评价经导管ASD关闭对超声心动图指标的影响,并比较50岁以上人群与年轻人群的超声心动图指标。方法:在这项回顾性队列研究中,纳入了2015年至2019年期间接受经导管装置关闭治疗的240例孤立性继发性ASD患者,并提供了完整的文献和随访资料。比较手术前后和两个年龄组的人口学、术中、超声心动图结果。结果:共有240例患者(68%为女性,44%年龄小于50岁)接受了经导管ASD闭合治疗,中位年龄为51岁。ASD关闭导致四个心室的大小和收缩期肺动脉压(SPAP)显著下降,此外双室收缩功能、左室舒张功能和瓣膜功能不全也有显著改善。虽然50岁及以上的患者左室舒张功能和右室收缩功能较差,但其左室尺寸和双房尺寸在基线时较大,但这些参数的改善程度明显高于50岁以下的患者。两组间SPAP下降程度无显著差异。结论:经导管ASD装置关闭是一种有益的手术,在老年人中成功率高,并发症发生率低,最终导致心脏形态和功能的改善。
本文章由计算机程序翻译,如有差异,请以英文原文为准。

Comparing the impact of transcatheter ASD closure on echocardiographic indices in adults below and above 50 years.

Comparing the impact of transcatheter ASD closure on echocardiographic indices in adults below and above 50 years.

Comparing the impact of transcatheter ASD closure on echocardiographic indices in adults below and above 50 years.

Comparing the impact of transcatheter ASD closure on echocardiographic indices in adults below and above 50 years.

Background: Transcatheter device closure is the method of choice for the closure of secundum atrial septal defects (ASD) with appropriate anatomic characteristics, leading to symptomatic relief, increased survival rates, cardiac remodeling, and improved cardiac function.

Objective: Assessing the impact of transcatheter ASD closure on echocardiographic indices and comparing them between individuals younger and older than 50.

Method: In this retrospective cohort study, 240 patients with isolated secundum ASD and complete documentation and follow-up data who underwent transcatheter device closure between 2015 and 2019 were included. Demographic, peri-procedural, and echocardiographic findings were compared before and after the procedure and among two age groups.

Results: A total of 240 patients (68% female, 44% younger than 50) with a median age of 51 underwent transcatheter ASD closure. ASD closure led to a significant decline in the size of four cardiac chambers and systolic pulmonary arterial pressure (SPAP), in addition to a significant improvement in biventricular systolic function, LV diastolic function, and valvular insufficiencies. Although patients aged 50 and older had worse LV diastolic and RV systolic function, in addition to larger RV size and bi-atrial dimensions at the baseline, the extent of improvement of these parameters among them was significantly more pronounced than those younger than 50. There were no significant differences in the extent of the decline in SPAP between the two groups.

Conclusion: Transcatheter ASD device closure is a beneficial procedure with high success rates and low complication rates among older individuals, eventually leading to improvements in cardiac form and function.

求助全文
通过发布文献求助,成功后即可免费获取论文全文。 去求助
来源期刊
Echo Research and Practice
Echo Research and Practice CARDIAC & CARDIOVASCULAR SYSTEMS-
CiteScore
6.70
自引率
12.70%
发文量
11
审稿时长
8 weeks
期刊介绍: Echo Research and Practice aims to be the premier international journal for physicians, sonographers, nurses and other allied health professionals practising echocardiography and other cardiac imaging modalities. This open-access journal publishes quality clinical and basic research, reviews, videos, education materials and selected high-interest case reports and videos across all echocardiography modalities and disciplines, including paediatrics, anaesthetics, general practice, acute medicine and intensive care. Multi-modality studies primarily featuring the use of cardiac ultrasound in clinical practice, in association with Cardiac Computed Tomography, Cardiovascular Magnetic Resonance or Nuclear Cardiology are of interest. Topics include, but are not limited to: 2D echocardiography 3D echocardiography Comparative imaging techniques – CCT, CMR and Nuclear Cardiology Congenital heart disease, including foetal echocardiography Contrast echocardiography Critical care echocardiography Deformation imaging Doppler echocardiography Interventional echocardiography Intracardiac echocardiography Intraoperative echocardiography Prosthetic valves Stress echocardiography Technical innovations Transoesophageal echocardiography Valve disease.
×
引用
GB/T 7714-2015
复制
MLA
复制
APA
复制
导出至
BibTeX EndNote RefMan NoteFirst NoteExpress
×
提示
您的信息不完整,为了账户安全,请先补充。
现在去补充
×
提示
您因"违规操作"
具体请查看互助需知
我知道了
×
提示
确定
请完成安全验证×
copy
已复制链接
快去分享给好友吧!
我知道了
右上角分享
点击右上角分享
0
联系我们:info@booksci.cn Book学术提供免费学术资源搜索服务,方便国内外学者检索中英文文献。致力于提供最便捷和优质的服务体验。 Copyright © 2023 布克学术 All rights reserved.
京ICP备2023020795号-1
ghs 京公网安备 11010802042870号
Book学术文献互助
Book学术文献互助群
群 号:604180095
Book学术官方微信