妊娠35 ~ 37周常规超声检查对小胎龄和胎儿生长限制的预测。

IF 6.3 1区 医学 Q1 ACOUSTICS
Ultrasound in Obstetrics & Gynecology Pub Date : 2025-06-01 Epub Date: 2025-04-26 DOI:10.1002/uog.29223
M Lopian, S Prasad, E Segal, A Dotan, C O Ulusoy, A Khalil
{"title":"妊娠35 ~ 37周常规超声检查对小胎龄和胎儿生长限制的预测。","authors":"M Lopian, S Prasad, E Segal, A Dotan, C O Ulusoy, A Khalil","doi":"10.1002/uog.29223","DOIUrl":null,"url":null,"abstract":"<p><strong>Objective: </strong>To evaluate the performance of sonographic fetal biometry and Doppler parameters assessed at routine third-trimester ultrasound examination for predicting small-for-gestational age (SGA) and fetal growth restriction (FGR).</p><p><strong>Methods: </strong>This was a retrospective cohort study of low-risk singleton pregnancies undergoing routine ultrasound examination between 35 + 0 and 37 + 6 weeks' gestation and delivered at St George's University Hospital, London, UK, between December 2019 and February 2024. The study outcomes were SGA (birth weight < 5<sup>th</sup> centile) and FGR (birth weight < 3<sup>rd</sup> centile or birth weight < 10<sup>th</sup> centile with composite adverse perinatal outcome). Composite adverse perinatal outcome comprised intrauterine death, neonatal death or admission to the neonatal intensive care unit. Demographic characteristics, estimated fetal weight (EFW) and abdominal circumference centiles, as well as Doppler indices, including pulsatility indices (PI) of the umbilical artery (UA), middle cerebral artery (MCA) and uterine artery (UtA) were evaluated. The cerebroplacental ratio (CPR) was calculated, and all indices were converted to multiples of the median (MoM). Multivariable logistic regression analysis was performed to identify and adjust for confounders. The area under the receiver-operating-characteristics curve (AUC) was used to evaluate the model's performance for predicting small neonates.</p><p><strong>Results: </strong>A total of 14 161 pregnancies were included in the study. The prevalence of SGA and FGR neonates was 3.1% and 1.5%, respectively. Independent predictors of SGA and FGR, respectively, were: EFW centile (adjusted odds ratio (aOR) 0.91 (95% CI, 0.90-0.92); P < 0.001 and aOR 0.90 (95% CI, 0.89-0.91); P < 0.001); AC centile (aOR 0.91 (95% CI, 0.90-0.92); P < 0.001 and aOR 0.91 (95% CI, 0.90-0.92); P <0.001); UA-PI MoM (aOR 4.60 (95% CI, 2.19-9.64); P < 0.001 and aOR 2.53 (95% CI, 1.05-6.10); P = 0.038); MCA-PI MoM (aOR 0.37 (95% CI, 0.20-0.70); P = 0.002 and aOR 0.26 (95% CI, 0.12-0.59); P = 0.001); CPR MoM (aOR 0.23 (95% CI, 0.13-0.42); P < 0.001 and aOR 0.25 (95% CI, 0.12-0.53); P < 0.001); and UtA-PI MoM (aOR 2.54 (95% CI, 1.68-3.83); P < 0.001 and aOR 2.16 (95% CI, 1.31-3.58); P = 0.003). The EFW centile alone was associated with an AUC of 0.917 (95% CI, 0.907-0.929) for the prediction of SGA and 0.925 (95% CI, 0.908-0.939) for the prediction of FGR. This was similar to AUCs of around 0.92 for the prediction of SGA and AUCs of around 0.93 for the prediction of FGR when the EFW centile was combined with any Doppler parameters.</p><p><strong>Conclusions: </strong>Sonographic fetal biometry evaluation in the late third trimester can predict delivery of a neonate affected by SGA or FGR, including those at risk for adverse perinatal outcomes. In an unselected population, fetal arterial Doppler parameters were independent predictors of SGA and FGR, but the addition of Doppler parameters to fetal biometry did not improve prediction of the incidence of small neonates. © 2025 The Author(s). Ultrasound in Obstetrics & Gynecology published by John Wiley & Sons Ltd on behalf of International Society of Ultrasound in Obstetrics and Gynecology.</p>","PeriodicalId":23454,"journal":{"name":"Ultrasound in Obstetrics & Gynecology","volume":" ","pages":"761-770"},"PeriodicalIF":6.3000,"publicationDate":"2025-06-01","publicationTypes":"Journal Article","fieldsOfStudy":null,"isOpenAccess":false,"openAccessPdf":"https://www.ncbi.nlm.nih.gov/pmc/articles/PMC12127726/pdf/","citationCount":"0","resultStr":"{\"title\":\"Prediction of small-for-gestational age and fetal growth restriction at routine ultrasound examination at 35-37 weeks' gestation.\",\"authors\":\"M Lopian, S Prasad, E Segal, A Dotan, C O Ulusoy, A Khalil\",\"doi\":\"10.1002/uog.29223\",\"DOIUrl\":null,\"url\":null,\"abstract\":\"<p><strong>Objective: </strong>To evaluate the performance of sonographic fetal biometry and Doppler parameters assessed at routine third-trimester ultrasound examination for predicting small-for-gestational age (SGA) and fetal growth restriction (FGR).</p><p><strong>Methods: </strong>This was a retrospective cohort study of low-risk singleton pregnancies undergoing routine ultrasound examination between 35 + 0 and 37 + 6 weeks' gestation and delivered at St George's University Hospital, London, UK, between December 2019 and February 2024. The study outcomes were SGA (birth weight < 5<sup>th</sup> centile) and FGR (birth weight < 3<sup>rd</sup> centile or birth weight < 10<sup>th</sup> centile with composite adverse perinatal outcome). Composite adverse perinatal outcome comprised intrauterine death, neonatal death or admission to the neonatal intensive care unit. Demographic characteristics, estimated fetal weight (EFW) and abdominal circumference centiles, as well as Doppler indices, including pulsatility indices (PI) of the umbilical artery (UA), middle cerebral artery (MCA) and uterine artery (UtA) were evaluated. The cerebroplacental ratio (CPR) was calculated, and all indices were converted to multiples of the median (MoM). Multivariable logistic regression analysis was performed to identify and adjust for confounders. The area under the receiver-operating-characteristics curve (AUC) was used to evaluate the model's performance for predicting small neonates.</p><p><strong>Results: </strong>A total of 14 161 pregnancies were included in the study. The prevalence of SGA and FGR neonates was 3.1% and 1.5%, respectively. Independent predictors of SGA and FGR, respectively, were: EFW centile (adjusted odds ratio (aOR) 0.91 (95% CI, 0.90-0.92); P < 0.001 and aOR 0.90 (95% CI, 0.89-0.91); P < 0.001); AC centile (aOR 0.91 (95% CI, 0.90-0.92); P < 0.001 and aOR 0.91 (95% CI, 0.90-0.92); P <0.001); UA-PI MoM (aOR 4.60 (95% CI, 2.19-9.64); P < 0.001 and aOR 2.53 (95% CI, 1.05-6.10); P = 0.038); MCA-PI MoM (aOR 0.37 (95% CI, 0.20-0.70); P = 0.002 and aOR 0.26 (95% CI, 0.12-0.59); P = 0.001); CPR MoM (aOR 0.23 (95% CI, 0.13-0.42); P < 0.001 and aOR 0.25 (95% CI, 0.12-0.53); P < 0.001); and UtA-PI MoM (aOR 2.54 (95% CI, 1.68-3.83); P < 0.001 and aOR 2.16 (95% CI, 1.31-3.58); P = 0.003). The EFW centile alone was associated with an AUC of 0.917 (95% CI, 0.907-0.929) for the prediction of SGA and 0.925 (95% CI, 0.908-0.939) for the prediction of FGR. This was similar to AUCs of around 0.92 for the prediction of SGA and AUCs of around 0.93 for the prediction of FGR when the EFW centile was combined with any Doppler parameters.</p><p><strong>Conclusions: </strong>Sonographic fetal biometry evaluation in the late third trimester can predict delivery of a neonate affected by SGA or FGR, including those at risk for adverse perinatal outcomes. In an unselected population, fetal arterial Doppler parameters were independent predictors of SGA and FGR, but the addition of Doppler parameters to fetal biometry did not improve prediction of the incidence of small neonates. © 2025 The Author(s). Ultrasound in Obstetrics & Gynecology published by John Wiley & Sons Ltd on behalf of International Society of Ultrasound in Obstetrics and Gynecology.</p>\",\"PeriodicalId\":23454,\"journal\":{\"name\":\"Ultrasound in Obstetrics & Gynecology\",\"volume\":\" \",\"pages\":\"761-770\"},\"PeriodicalIF\":6.3000,\"publicationDate\":\"2025-06-01\",\"publicationTypes\":\"Journal Article\",\"fieldsOfStudy\":null,\"isOpenAccess\":false,\"openAccessPdf\":\"https://www.ncbi.nlm.nih.gov/pmc/articles/PMC12127726/pdf/\",\"citationCount\":\"0\",\"resultStr\":null,\"platform\":\"Semanticscholar\",\"paperid\":null,\"PeriodicalName\":\"Ultrasound in Obstetrics & Gynecology\",\"FirstCategoryId\":\"3\",\"ListUrlMain\":\"https://doi.org/10.1002/uog.29223\",\"RegionNum\":1,\"RegionCategory\":\"医学\",\"ArticlePicture\":[],\"TitleCN\":null,\"AbstractTextCN\":null,\"PMCID\":null,\"EPubDate\":\"2025/4/26 0:00:00\",\"PubModel\":\"Epub\",\"JCR\":\"Q1\",\"JCRName\":\"ACOUSTICS\",\"Score\":null,\"Total\":0}","platform":"Semanticscholar","paperid":null,"PeriodicalName":"Ultrasound in Obstetrics & Gynecology","FirstCategoryId":"3","ListUrlMain":"https://doi.org/10.1002/uog.29223","RegionNum":1,"RegionCategory":"医学","ArticlePicture":[],"TitleCN":null,"AbstractTextCN":null,"PMCID":null,"EPubDate":"2025/4/26 0:00:00","PubModel":"Epub","JCR":"Q1","JCRName":"ACOUSTICS","Score":null,"Total":0}
引用次数: 0

摘要

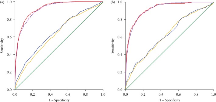
目的:探讨超声胎儿生物测量及多普勒参数在妊娠晚期常规超声检查中预测小胎龄(SGA)和胎儿生长受限(FGR)的价值。方法:对2019年12月至2024年2月在英国伦敦圣乔治大学医院进行常规超声检查的35 + 0 ~ 37 + 6周低风险单胎妊娠进行回顾性队列研究。研究结果为SGA(出生体重百分位数)和FGR(出生体重百分位数或出生体重百分位数合并围产期不良结局)。围产期综合不良结局包括宫内死亡、新生儿死亡或入住新生儿重症监护病房。评估人口统计学特征、估计胎儿体重(EFW)和腹围百分数,以及多普勒指数,包括脐动脉(UA)、大脑中动脉(MCA)和子宫动脉(UtA)的脉搏指数(PI)。计算脑胎盘比(CPR),并将所有指标换算为中位数(MoM)的倍数。采用多变量逻辑回归分析来识别和调整混杂因素。采用受试者工作特征曲线下面积(AUC)评价模型预测小新生儿的效果。结果:本研究共纳入14161例妊娠。SGA和FGR新生儿的患病率分别为3.1%和1.5%。SGA和FGR的独立预测因子分别为:EFW百分位数(校正优势比(aOR) 0.91 (95% CI, 0.90-0.92);结论:妊娠晚期超声胎儿生物测量评估可以预测受SGA或FGR影响的新生儿的分娩,包括那些有不良围产期结局风险的新生儿。在未选择的人群中,胎儿动脉多普勒参数是SGA和FGR的独立预测指标,但在胎儿生物测定中加入多普勒参数并不能提高对小新生儿发生率的预测。©2025作者。妇产科学超声由John Wiley & Sons Ltd代表国际妇产科学超声学会出版。
本文章由计算机程序翻译,如有差异,请以英文原文为准。

Prediction of small-for-gestational age and fetal growth restriction at routine ultrasound examination at 35-37 weeks' gestation.

Prediction of small-for-gestational age and fetal growth restriction at routine ultrasound examination at 35-37 weeks' gestation.

Prediction of small-for-gestational age and fetal growth restriction at routine ultrasound examination at 35-37 weeks' gestation.

Prediction of small-for-gestational age and fetal growth restriction at routine ultrasound examination at 35-37 weeks' gestation.

Objective: To evaluate the performance of sonographic fetal biometry and Doppler parameters assessed at routine third-trimester ultrasound examination for predicting small-for-gestational age (SGA) and fetal growth restriction (FGR).

Methods: This was a retrospective cohort study of low-risk singleton pregnancies undergoing routine ultrasound examination between 35 + 0 and 37 + 6 weeks' gestation and delivered at St George's University Hospital, London, UK, between December 2019 and February 2024. The study outcomes were SGA (birth weight < 5th centile) and FGR (birth weight < 3rd centile or birth weight < 10th centile with composite adverse perinatal outcome). Composite adverse perinatal outcome comprised intrauterine death, neonatal death or admission to the neonatal intensive care unit. Demographic characteristics, estimated fetal weight (EFW) and abdominal circumference centiles, as well as Doppler indices, including pulsatility indices (PI) of the umbilical artery (UA), middle cerebral artery (MCA) and uterine artery (UtA) were evaluated. The cerebroplacental ratio (CPR) was calculated, and all indices were converted to multiples of the median (MoM). Multivariable logistic regression analysis was performed to identify and adjust for confounders. The area under the receiver-operating-characteristics curve (AUC) was used to evaluate the model's performance for predicting small neonates.

Results: A total of 14 161 pregnancies were included in the study. The prevalence of SGA and FGR neonates was 3.1% and 1.5%, respectively. Independent predictors of SGA and FGR, respectively, were: EFW centile (adjusted odds ratio (aOR) 0.91 (95% CI, 0.90-0.92); P < 0.001 and aOR 0.90 (95% CI, 0.89-0.91); P < 0.001); AC centile (aOR 0.91 (95% CI, 0.90-0.92); P < 0.001 and aOR 0.91 (95% CI, 0.90-0.92); P <0.001); UA-PI MoM (aOR 4.60 (95% CI, 2.19-9.64); P < 0.001 and aOR 2.53 (95% CI, 1.05-6.10); P = 0.038); MCA-PI MoM (aOR 0.37 (95% CI, 0.20-0.70); P = 0.002 and aOR 0.26 (95% CI, 0.12-0.59); P = 0.001); CPR MoM (aOR 0.23 (95% CI, 0.13-0.42); P < 0.001 and aOR 0.25 (95% CI, 0.12-0.53); P < 0.001); and UtA-PI MoM (aOR 2.54 (95% CI, 1.68-3.83); P < 0.001 and aOR 2.16 (95% CI, 1.31-3.58); P = 0.003). The EFW centile alone was associated with an AUC of 0.917 (95% CI, 0.907-0.929) for the prediction of SGA and 0.925 (95% CI, 0.908-0.939) for the prediction of FGR. This was similar to AUCs of around 0.92 for the prediction of SGA and AUCs of around 0.93 for the prediction of FGR when the EFW centile was combined with any Doppler parameters.

Conclusions: Sonographic fetal biometry evaluation in the late third trimester can predict delivery of a neonate affected by SGA or FGR, including those at risk for adverse perinatal outcomes. In an unselected population, fetal arterial Doppler parameters were independent predictors of SGA and FGR, but the addition of Doppler parameters to fetal biometry did not improve prediction of the incidence of small neonates. © 2025 The Author(s). Ultrasound in Obstetrics & Gynecology published by John Wiley & Sons Ltd on behalf of International Society of Ultrasound in Obstetrics and Gynecology.

求助全文
通过发布文献求助,成功后即可免费获取论文全文。 去求助
来源期刊
CiteScore
12.30
自引率
14.10%
发文量
891
审稿时长
1 months
期刊介绍: Ultrasound in Obstetrics & Gynecology (UOG) is the official journal of the International Society of Ultrasound in Obstetrics and Gynecology (ISUOG) and is considered the foremost international peer-reviewed journal in the field. It publishes cutting-edge research that is highly relevant to clinical practice, which includes guidelines, expert commentaries, consensus statements, original articles, and systematic reviews. UOG is widely recognized and included in prominent abstract and indexing databases such as Index Medicus and Current Contents.
×
引用
GB/T 7714-2015
复制
MLA
复制
APA
复制
导出至
BibTeX EndNote RefMan NoteFirst NoteExpress
×
提示
您的信息不完整,为了账户安全,请先补充。
现在去补充
×
提示
您因"违规操作"
具体请查看互助需知
我知道了
×
提示
确定
请完成安全验证×
copy
已复制链接
快去分享给好友吧!
我知道了
右上角分享
点击右上角分享
0
联系我们:info@booksci.cn Book学术提供免费学术资源搜索服务,方便国内外学者检索中英文文献。致力于提供最便捷和优质的服务体验。 Copyright © 2023 布克学术 All rights reserved.
京ICP备2023020795号-1
ghs 京公网安备 11010802042870号
Book学术文献互助
Book学术文献互助群
群 号:604180095
Book学术官方微信