基于隐马尔可夫模型的下肢假肢使用者步态质量评价方法。

IF 5.2 2区 医学 Q1 ENGINEERING, BIOMEDICAL
Gabriel Ng, Jan Andrysek
{"title":"基于隐马尔可夫模型的下肢假肢使用者步态质量评价方法。","authors":"Gabriel Ng, Jan Andrysek","doi":"10.1186/s12984-025-01638-4","DOIUrl":null,"url":null,"abstract":"<p><strong>Background: </strong>Gait quality indices, such as the Gillette Gait Index or Gait Profile Score (GPS), can provide clinicians with objective, straightforward measures to quantify gait pathology and monitor changes over time. However, these methods often require motion capture or stationary gait analysis systems, limiting their accessibility. Inertial sensors offer a portable, cost-effective alternative for gait analysis. This study aimed to evaluate a novel hidden Markov model-based similarity measure (HMM-SM) for assessing gait quality directly from gyroscope and accelerometer data captured by inertial sensors.</p><p><strong>Methods: </strong>Walking trials were conducted with 26 lower-limb prosthetic users and 30 able-bodied individuals, using inertial sensors placed at various lower body locations. We computed the HMM-SM score along with other established inertial sensor-based methods, including the Movement Deviation Profile, Dynamic Time Warping, IMU-based Gait Normalcy Index, and Multifeature Gait Score. Spearman correlations with the GPS, a validated measure of gait quality, were assessed, as well as correlations among the inertial sensor methods. Welch's t-tests were used to evaluate the ability to distinguish between prosthetic subgroups.</p><p><strong>Results: </strong>The HMM-SM and other inertial sensor-based methods demonstrated moderate-to-strong correlations with the GPS (0.49 <|r|< 0.77 for significant correlations). Comparisons between different measures highlighted key similarities and differences, both in correlations and in their ability to differentiate between subgroups. Overall, the pelvis and lower leg sensors achieved significant correlations and outperformed the upper leg sensors, which did not achieve significant correlations with the GPS for any of the signal-based measures.</p><p><strong>Conclusion: </strong>Results suggest inertial sensors located at the pelvis and lower leg provide valid markers for monitoring overall gait quality, offering the potential to develop nonobtrusive, wearable systems to facilitate long-term monitoring. Such systems could enhance rehabilitation by enabling continuous gait assessment that can be easily integrated in clinical and everyday settings.</p>","PeriodicalId":16384,"journal":{"name":"Journal of NeuroEngineering and Rehabilitation","volume":"22 1","pages":"109"},"PeriodicalIF":5.2000,"publicationDate":"2025-05-12","publicationTypes":"Journal Article","fieldsOfStudy":null,"isOpenAccess":false,"openAccessPdf":"https://www.ncbi.nlm.nih.gov/pmc/articles/PMC12070658/pdf/","citationCount":"0","resultStr":"{\"title\":\"Hidden Markov model-based similarity measure (HMM-SM) for gait quality assessment of lower-limb prosthetic users using inertial sensor signals.\",\"authors\":\"Gabriel Ng, Jan Andrysek\",\"doi\":\"10.1186/s12984-025-01638-4\",\"DOIUrl\":null,\"url\":null,\"abstract\":\"<p><strong>Background: </strong>Gait quality indices, such as the Gillette Gait Index or Gait Profile Score (GPS), can provide clinicians with objective, straightforward measures to quantify gait pathology and monitor changes over time. However, these methods often require motion capture or stationary gait analysis systems, limiting their accessibility. Inertial sensors offer a portable, cost-effective alternative for gait analysis. This study aimed to evaluate a novel hidden Markov model-based similarity measure (HMM-SM) for assessing gait quality directly from gyroscope and accelerometer data captured by inertial sensors.</p><p><strong>Methods: </strong>Walking trials were conducted with 26 lower-limb prosthetic users and 30 able-bodied individuals, using inertial sensors placed at various lower body locations. We computed the HMM-SM score along with other established inertial sensor-based methods, including the Movement Deviation Profile, Dynamic Time Warping, IMU-based Gait Normalcy Index, and Multifeature Gait Score. Spearman correlations with the GPS, a validated measure of gait quality, were assessed, as well as correlations among the inertial sensor methods. Welch's t-tests were used to evaluate the ability to distinguish between prosthetic subgroups.</p><p><strong>Results: </strong>The HMM-SM and other inertial sensor-based methods demonstrated moderate-to-strong correlations with the GPS (0.49 <|r|< 0.77 for significant correlations). Comparisons between different measures highlighted key similarities and differences, both in correlations and in their ability to differentiate between subgroups. Overall, the pelvis and lower leg sensors achieved significant correlations and outperformed the upper leg sensors, which did not achieve significant correlations with the GPS for any of the signal-based measures.</p><p><strong>Conclusion: </strong>Results suggest inertial sensors located at the pelvis and lower leg provide valid markers for monitoring overall gait quality, offering the potential to develop nonobtrusive, wearable systems to facilitate long-term monitoring. Such systems could enhance rehabilitation by enabling continuous gait assessment that can be easily integrated in clinical and everyday settings.</p>\",\"PeriodicalId\":16384,\"journal\":{\"name\":\"Journal of NeuroEngineering and Rehabilitation\",\"volume\":\"22 1\",\"pages\":\"109\"},\"PeriodicalIF\":5.2000,\"publicationDate\":\"2025-05-12\",\"publicationTypes\":\"Journal Article\",\"fieldsOfStudy\":null,\"isOpenAccess\":false,\"openAccessPdf\":\"https://www.ncbi.nlm.nih.gov/pmc/articles/PMC12070658/pdf/\",\"citationCount\":\"0\",\"resultStr\":null,\"platform\":\"Semanticscholar\",\"paperid\":null,\"PeriodicalName\":\"Journal of NeuroEngineering and Rehabilitation\",\"FirstCategoryId\":\"5\",\"ListUrlMain\":\"https://doi.org/10.1186/s12984-025-01638-4\",\"RegionNum\":2,\"RegionCategory\":\"医学\",\"ArticlePicture\":[],\"TitleCN\":null,\"AbstractTextCN\":null,\"PMCID\":null,\"EPubDate\":\"\",\"PubModel\":\"\",\"JCR\":\"Q1\",\"JCRName\":\"ENGINEERING, BIOMEDICAL\",\"Score\":null,\"Total\":0}","platform":"Semanticscholar","paperid":null,"PeriodicalName":"Journal of NeuroEngineering and Rehabilitation","FirstCategoryId":"5","ListUrlMain":"https://doi.org/10.1186/s12984-025-01638-4","RegionNum":2,"RegionCategory":"医学","ArticlePicture":[],"TitleCN":null,"AbstractTextCN":null,"PMCID":null,"EPubDate":"","PubModel":"","JCR":"Q1","JCRName":"ENGINEERING, BIOMEDICAL","Score":null,"Total":0}
引用次数: 0

摘要

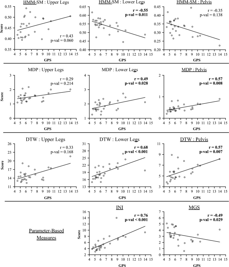
背景:步态质量指标,如吉列步态指数或步态特征评分(GPS),可以为临床医生提供客观、直接的措施来量化步态病理并监测随时间的变化。然而,这些方法通常需要动作捕捉或静止步态分析系统,限制了它们的可及性。惯性传感器为步态分析提供了一种便携、经济的替代方案。本研究旨在评估一种新的基于隐马尔可夫模型的相似性度量(HMM-SM),用于直接从惯性传感器捕获的陀螺仪和加速度计数据中评估步态质量。方法:对26名下肢义肢使用者和30名健全人进行行走试验,在下肢不同位置放置惯性传感器。我们将HMM-SM评分与其他基于惯性传感器的方法一起计算,包括运动偏差曲线、动态时间扭曲、基于imu的步态正常指数和多特征步态评分。评估了与GPS(一种有效的步态质量测量方法)的Spearman相关性,以及惯性传感器方法之间的相关性。使用Welch’st检验来评估区分假体亚组的能力。结果:HMM-SM和其他基于惯性传感器的方法与GPS显示出中等到强的相关性(0.49)。结论:结果表明,位于骨盆和小腿的惯性传感器为监测整体步态质量提供了有效的标记,为开发非突兀的可穿戴系统提供了潜力,以促进长期监测。这样的系统可以通过持续的步态评估来加强康复,可以很容易地整合到临床和日常环境中。
本文章由计算机程序翻译,如有差异,请以英文原文为准。

Hidden Markov model-based similarity measure (HMM-SM) for gait quality assessment of lower-limb prosthetic users using inertial sensor signals.

Hidden Markov model-based similarity measure (HMM-SM) for gait quality assessment of lower-limb prosthetic users using inertial sensor signals.

Hidden Markov model-based similarity measure (HMM-SM) for gait quality assessment of lower-limb prosthetic users using inertial sensor signals.

Hidden Markov model-based similarity measure (HMM-SM) for gait quality assessment of lower-limb prosthetic users using inertial sensor signals.

Background: Gait quality indices, such as the Gillette Gait Index or Gait Profile Score (GPS), can provide clinicians with objective, straightforward measures to quantify gait pathology and monitor changes over time. However, these methods often require motion capture or stationary gait analysis systems, limiting their accessibility. Inertial sensors offer a portable, cost-effective alternative for gait analysis. This study aimed to evaluate a novel hidden Markov model-based similarity measure (HMM-SM) for assessing gait quality directly from gyroscope and accelerometer data captured by inertial sensors.

Methods: Walking trials were conducted with 26 lower-limb prosthetic users and 30 able-bodied individuals, using inertial sensors placed at various lower body locations. We computed the HMM-SM score along with other established inertial sensor-based methods, including the Movement Deviation Profile, Dynamic Time Warping, IMU-based Gait Normalcy Index, and Multifeature Gait Score. Spearman correlations with the GPS, a validated measure of gait quality, were assessed, as well as correlations among the inertial sensor methods. Welch's t-tests were used to evaluate the ability to distinguish between prosthetic subgroups.

Results: The HMM-SM and other inertial sensor-based methods demonstrated moderate-to-strong correlations with the GPS (0.49 <|r|< 0.77 for significant correlations). Comparisons between different measures highlighted key similarities and differences, both in correlations and in their ability to differentiate between subgroups. Overall, the pelvis and lower leg sensors achieved significant correlations and outperformed the upper leg sensors, which did not achieve significant correlations with the GPS for any of the signal-based measures.

Conclusion: Results suggest inertial sensors located at the pelvis and lower leg provide valid markers for monitoring overall gait quality, offering the potential to develop nonobtrusive, wearable systems to facilitate long-term monitoring. Such systems could enhance rehabilitation by enabling continuous gait assessment that can be easily integrated in clinical and everyday settings.

求助全文
通过发布文献求助,成功后即可免费获取论文全文。 去求助
来源期刊
Journal of NeuroEngineering and Rehabilitation
Journal of NeuroEngineering and Rehabilitation 工程技术-工程:生物医学
CiteScore
9.60
自引率
3.90%
发文量
122
审稿时长
24 months
期刊介绍: Journal of NeuroEngineering and Rehabilitation considers manuscripts on all aspects of research that result from cross-fertilization of the fields of neuroscience, biomedical engineering, and physical medicine & rehabilitation.
×
引用
GB/T 7714-2015
复制
MLA
复制
APA
复制
导出至
BibTeX EndNote RefMan NoteFirst NoteExpress
×
提示
您的信息不完整,为了账户安全,请先补充。
现在去补充
×
提示
您因"违规操作"
具体请查看互助需知
我知道了
×
提示
确定
请完成安全验证×
copy
已复制链接
快去分享给好友吧!
我知道了
右上角分享
点击右上角分享
0
联系我们:info@booksci.cn Book学术提供免费学术资源搜索服务,方便国内外学者检索中英文文献。致力于提供最便捷和优质的服务体验。 Copyright © 2023 布克学术 All rights reserved.
京ICP备2023020795号-1
ghs 京公网安备 11010802042870号
Book学术文献互助
Book学术文献互助群
群 号:604180095
Book学术官方微信