危险因素与主要癌症之间的关联:可解释的机器学习方法。

IF 2.7 Q2 ONCOLOGY
JMIR Cancer Pub Date : 2025-05-02 DOI:10.2196/62833
Xiayuan Huang, Shushun Ren, Xinyue Mao, Sirui Chen, Elle Chen, Yuqi He, Yun Jiang
{"title":"危险因素与主要癌症之间的关联:可解释的机器学习方法。","authors":"Xiayuan Huang, Shushun Ren, Xinyue Mao, Sirui Chen, Elle Chen, Yuqi He, Yun Jiang","doi":"10.2196/62833","DOIUrl":null,"url":null,"abstract":"<p><strong>Background: </strong>Cancer is a life-threatening disease and a leading cause of death worldwide, with an estimated 611,000 deaths and over 2 million new cases in the United States in 2024. The rising incidence of major cancers, including among younger individuals, highlights the need for early screening and monitoring of risk factors to manage and decrease cancer risk.</p><p><strong>Objective: </strong>This study aimed to leverage explainable machine learning models to identify and analyze the key risk factors associated with breast, colorectal, lung, and prostate cancers. By uncovering significant associations between risk factors and these major cancer types, we sought to enhance the understanding of cancer diagnosis risk profiles. Our goal was to facilitate more precise screening, early detection, and personalized prevention strategies, ultimately contributing to better patient outcomes and promoting health equity.</p><p><strong>Methods: </strong>Deidentified electronic health record data from Medical Information Mart for Intensive Care (MIMIC)-III was used to identify patients with 4 types of cancer who had longitudinal hospital visits prior to their diagnosis presence. Their records were matched and combined with those of patients without cancer diagnoses using propensity scores based on demographic factors. Three advanced models, penalized logistic regression, random forest, and multilayer perceptron (MLP), were conducted to identify the rank of risk factors for each cancer type, with feature importance analysis for random forest and MLP models. The rank biased overlap was adopted to compare the similarity of ranked risk factors across cancer types.</p><p><strong>Results: </strong>Our framework evaluated the prediction performance of explainable machine learning models, with the MLP model demonstrating the best performance. It achieved an area under the receiver operating characteristic curve of 0.78 for breast cancer (n=58), 0.76 for colorectal cancer (n=140), 0.84 for lung cancer (n=398), and 0.78 for prostate cancer (n=104), outperforming other baseline models (P<.001). In addition to demographic risk factors, the most prominent nontraditional risk factors overlapped across models and cancer types, including hyperlipidemia (odds ratio [OR] 1.14, 95% CI 1.11-1.17; P<.01), diabetes (OR 1.34, 95% CI 1.29-1.39; P<.01), depressive disorders (OR 1.11, 95% CI 1.06-1.16; P<.01), heart diseases (OR 1.42, 95% CI 1.32-1.52; P<.01), and anemia (OR 1.22, 95% CI 1.14-1.30; P<.01). The similarity analysis indicated the unique risk factor pattern for lung cancer from other cancer types.</p><p><strong>Conclusions: </strong>The study's findings demonstrated the effectiveness of explainable ML models in assessing nontraditional risk factors for major cancers and highlighted the importance of considering unique risk profiles for different cancer types. Moreover, this research served as a hypothesis-generating foundation, providing preliminary results for future investigation into cancer diagnosis risk analysis and management. Furthermore, expanding collaboration with clinical experts for external validation would be essential to refine model outputs, integrate findings into practice, and enhance their impact on patient care and cancer prevention efforts.</p>","PeriodicalId":45538,"journal":{"name":"JMIR Cancer","volume":"11 ","pages":"e62833"},"PeriodicalIF":2.7000,"publicationDate":"2025-05-02","publicationTypes":"Journal Article","fieldsOfStudy":null,"isOpenAccess":false,"openAccessPdf":"https://www.ncbi.nlm.nih.gov/pmc/articles/PMC12064211/pdf/","citationCount":"0","resultStr":"{\"title\":\"Association Between Risk Factors and Major Cancers: Explainable Machine Learning Approach.\",\"authors\":\"Xiayuan Huang, Shushun Ren, Xinyue Mao, Sirui Chen, Elle Chen, Yuqi He, Yun Jiang\",\"doi\":\"10.2196/62833\",\"DOIUrl\":null,\"url\":null,\"abstract\":\"<p><strong>Background: </strong>Cancer is a life-threatening disease and a leading cause of death worldwide, with an estimated 611,000 deaths and over 2 million new cases in the United States in 2024. The rising incidence of major cancers, including among younger individuals, highlights the need for early screening and monitoring of risk factors to manage and decrease cancer risk.</p><p><strong>Objective: </strong>This study aimed to leverage explainable machine learning models to identify and analyze the key risk factors associated with breast, colorectal, lung, and prostate cancers. By uncovering significant associations between risk factors and these major cancer types, we sought to enhance the understanding of cancer diagnosis risk profiles. Our goal was to facilitate more precise screening, early detection, and personalized prevention strategies, ultimately contributing to better patient outcomes and promoting health equity.</p><p><strong>Methods: </strong>Deidentified electronic health record data from Medical Information Mart for Intensive Care (MIMIC)-III was used to identify patients with 4 types of cancer who had longitudinal hospital visits prior to their diagnosis presence. Their records were matched and combined with those of patients without cancer diagnoses using propensity scores based on demographic factors. Three advanced models, penalized logistic regression, random forest, and multilayer perceptron (MLP), were conducted to identify the rank of risk factors for each cancer type, with feature importance analysis for random forest and MLP models. The rank biased overlap was adopted to compare the similarity of ranked risk factors across cancer types.</p><p><strong>Results: </strong>Our framework evaluated the prediction performance of explainable machine learning models, with the MLP model demonstrating the best performance. It achieved an area under the receiver operating characteristic curve of 0.78 for breast cancer (n=58), 0.76 for colorectal cancer (n=140), 0.84 for lung cancer (n=398), and 0.78 for prostate cancer (n=104), outperforming other baseline models (P<.001). In addition to demographic risk factors, the most prominent nontraditional risk factors overlapped across models and cancer types, including hyperlipidemia (odds ratio [OR] 1.14, 95% CI 1.11-1.17; P<.01), diabetes (OR 1.34, 95% CI 1.29-1.39; P<.01), depressive disorders (OR 1.11, 95% CI 1.06-1.16; P<.01), heart diseases (OR 1.42, 95% CI 1.32-1.52; P<.01), and anemia (OR 1.22, 95% CI 1.14-1.30; P<.01). The similarity analysis indicated the unique risk factor pattern for lung cancer from other cancer types.</p><p><strong>Conclusions: </strong>The study's findings demonstrated the effectiveness of explainable ML models in assessing nontraditional risk factors for major cancers and highlighted the importance of considering unique risk profiles for different cancer types. Moreover, this research served as a hypothesis-generating foundation, providing preliminary results for future investigation into cancer diagnosis risk analysis and management. Furthermore, expanding collaboration with clinical experts for external validation would be essential to refine model outputs, integrate findings into practice, and enhance their impact on patient care and cancer prevention efforts.</p>\",\"PeriodicalId\":45538,\"journal\":{\"name\":\"JMIR Cancer\",\"volume\":\"11 \",\"pages\":\"e62833\"},\"PeriodicalIF\":2.7000,\"publicationDate\":\"2025-05-02\",\"publicationTypes\":\"Journal Article\",\"fieldsOfStudy\":null,\"isOpenAccess\":false,\"openAccessPdf\":\"https://www.ncbi.nlm.nih.gov/pmc/articles/PMC12064211/pdf/\",\"citationCount\":\"0\",\"resultStr\":null,\"platform\":\"Semanticscholar\",\"paperid\":null,\"PeriodicalName\":\"JMIR Cancer\",\"FirstCategoryId\":\"1085\",\"ListUrlMain\":\"https://doi.org/10.2196/62833\",\"RegionNum\":0,\"RegionCategory\":null,\"ArticlePicture\":[],\"TitleCN\":null,\"AbstractTextCN\":null,\"PMCID\":null,\"EPubDate\":\"\",\"PubModel\":\"\",\"JCR\":\"Q2\",\"JCRName\":\"ONCOLOGY\",\"Score\":null,\"Total\":0}","platform":"Semanticscholar","paperid":null,"PeriodicalName":"JMIR Cancer","FirstCategoryId":"1085","ListUrlMain":"https://doi.org/10.2196/62833","RegionNum":0,"RegionCategory":null,"ArticlePicture":[],"TitleCN":null,"AbstractTextCN":null,"PMCID":null,"EPubDate":"","PubModel":"","JCR":"Q2","JCRName":"ONCOLOGY","Score":null,"Total":0}
引用次数: 0

摘要

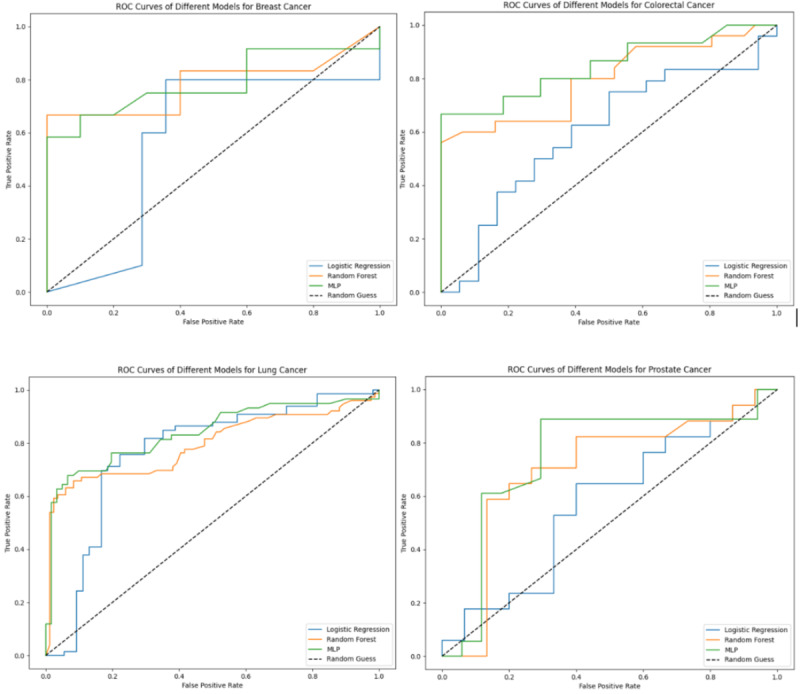
背景:癌症是一种危及生命的疾病,也是全球死亡的主要原因,2024年美国估计有61.1万例死亡和200多万例新病例。主要癌症的发病率不断上升,包括在年轻人中,这突出表明需要早期筛查和监测风险因素,以管理和降低癌症风险。目的:本研究旨在利用可解释的机器学习模型来识别和分析与乳腺癌、结直肠癌、肺癌和前列腺癌相关的关键危险因素。通过揭示风险因素与这些主要癌症类型之间的显著关联,我们试图增强对癌症诊断风险概况的理解。我们的目标是促进更精确的筛查、早期发现和个性化的预防策略,最终为改善患者预后和促进卫生公平做出贡献。方法:使用重症监护医疗信息市场(MIMIC)-III的未识别电子健康记录数据来识别4种类型的癌症患者,这些患者在诊断前进行了纵向医院就诊。他们的记录与那些没有癌症诊断的患者的记录相匹配并结合使用基于人口因素的倾向评分。采用惩罚逻辑回归、随机森林和多层感知器(MLP)三种先进的模型来确定每种癌症类型的危险因素等级,并对随机森林和MLP模型进行特征重要性分析。采用等级偏置重叠来比较不同癌症类型的等级危险因素的相似性。结果:我们的框架评估了可解释机器学习模型的预测性能,其中MLP模型表现出最佳性能。乳腺癌(n=58)、结直肠癌(n=140)、肺癌(n=398)和前列腺癌(n=104)的受试者工作特征曲线下面积分别为0.78、0.76、0.84和0.78,优于其他基线模型。结论:该研究结果证明了可解释ML模型在评估主要癌症的非传统危险因素方面的有效性,并强调了考虑不同癌症类型独特风险特征的重要性。此外,本研究为未来癌症诊断风险分析和管理的研究提供了初步的假设基础。此外,扩大与临床专家的外部验证合作对于完善模型输出,将研究结果整合到实践中,并增强其对患者护理和癌症预防工作的影响至关重要。
本文章由计算机程序翻译,如有差异,请以英文原文为准。

Association Between Risk Factors and Major Cancers: Explainable Machine Learning Approach.

Association Between Risk Factors and Major Cancers: Explainable Machine Learning Approach.

Association Between Risk Factors and Major Cancers: Explainable Machine Learning Approach.

Association Between Risk Factors and Major Cancers: Explainable Machine Learning Approach.

Background: Cancer is a life-threatening disease and a leading cause of death worldwide, with an estimated 611,000 deaths and over 2 million new cases in the United States in 2024. The rising incidence of major cancers, including among younger individuals, highlights the need for early screening and monitoring of risk factors to manage and decrease cancer risk.

Objective: This study aimed to leverage explainable machine learning models to identify and analyze the key risk factors associated with breast, colorectal, lung, and prostate cancers. By uncovering significant associations between risk factors and these major cancer types, we sought to enhance the understanding of cancer diagnosis risk profiles. Our goal was to facilitate more precise screening, early detection, and personalized prevention strategies, ultimately contributing to better patient outcomes and promoting health equity.

Methods: Deidentified electronic health record data from Medical Information Mart for Intensive Care (MIMIC)-III was used to identify patients with 4 types of cancer who had longitudinal hospital visits prior to their diagnosis presence. Their records were matched and combined with those of patients without cancer diagnoses using propensity scores based on demographic factors. Three advanced models, penalized logistic regression, random forest, and multilayer perceptron (MLP), were conducted to identify the rank of risk factors for each cancer type, with feature importance analysis for random forest and MLP models. The rank biased overlap was adopted to compare the similarity of ranked risk factors across cancer types.

Results: Our framework evaluated the prediction performance of explainable machine learning models, with the MLP model demonstrating the best performance. It achieved an area under the receiver operating characteristic curve of 0.78 for breast cancer (n=58), 0.76 for colorectal cancer (n=140), 0.84 for lung cancer (n=398), and 0.78 for prostate cancer (n=104), outperforming other baseline models (P<.001). In addition to demographic risk factors, the most prominent nontraditional risk factors overlapped across models and cancer types, including hyperlipidemia (odds ratio [OR] 1.14, 95% CI 1.11-1.17; P<.01), diabetes (OR 1.34, 95% CI 1.29-1.39; P<.01), depressive disorders (OR 1.11, 95% CI 1.06-1.16; P<.01), heart diseases (OR 1.42, 95% CI 1.32-1.52; P<.01), and anemia (OR 1.22, 95% CI 1.14-1.30; P<.01). The similarity analysis indicated the unique risk factor pattern for lung cancer from other cancer types.

Conclusions: The study's findings demonstrated the effectiveness of explainable ML models in assessing nontraditional risk factors for major cancers and highlighted the importance of considering unique risk profiles for different cancer types. Moreover, this research served as a hypothesis-generating foundation, providing preliminary results for future investigation into cancer diagnosis risk analysis and management. Furthermore, expanding collaboration with clinical experts for external validation would be essential to refine model outputs, integrate findings into practice, and enhance their impact on patient care and cancer prevention efforts.

求助全文
通过发布文献求助,成功后即可免费获取论文全文。 去求助
来源期刊
JMIR Cancer
JMIR Cancer ONCOLOGY-
CiteScore
4.10
自引率
0.00%
发文量
64
审稿时长
12 weeks
×
引用
GB/T 7714-2015
复制
MLA
复制
APA
复制
导出至
BibTeX EndNote RefMan NoteFirst NoteExpress
×
提示
您的信息不完整,为了账户安全,请先补充。
现在去补充
×
提示
您因"违规操作"
具体请查看互助需知
我知道了
×
提示
确定
请完成安全验证×
copy
已复制链接
快去分享给好友吧!
我知道了
右上角分享
点击右上角分享
0
联系我们:info@booksci.cn Book学术提供免费学术资源搜索服务,方便国内外学者检索中英文文献。致力于提供最便捷和优质的服务体验。 Copyright © 2023 布克学术 All rights reserved.
京ICP备2023020795号-1
ghs 京公网安备 11010802042870号
Book学术文献互助
Book学术文献互助群
群 号:604180095
Book学术官方微信