墨西哥瓦哈卡州土著群体Chatino、Chontal和Chinantec群落野生蘑菇的民间分类。

IF 3.7 2区 医学 Q1 BIODIVERSITY CONSERVATION
Alexanders López-García, Marko Gómez-Hernández, Etelvina Gándara
{"title":"墨西哥瓦哈卡州土著群体Chatino、Chontal和Chinantec群落野生蘑菇的民间分类。","authors":"Alexanders López-García, Marko Gómez-Hernández, Etelvina Gándara","doi":"10.1186/s13002-025-00779-z","DOIUrl":null,"url":null,"abstract":"<p><strong>Background: </strong>Traditional names of wild mushrooms have long served as crucial links between these organisms and humans. In Mexico, cultural groups traditionally use indigenous and Spanish names and have developed effective methods for classifying and naming mushrooms. This has allowed the suitable use of fungal resources and the transmission of ancestral knowledge regarding each species. The present study explores the folk taxonomy of wild mushrooms in communities belonging to the Chatino, Chontal, and Chinantec indigenous groups of Oaxaca, Mexico. The goal was to assess the origins and meanings of the mushroom names, their connections to local culture, and the similarities in folk taxonomy among indigenous groups to understand the dynamics of classification and assignment of names.</p><p><strong>Methods: </strong>Between April and October 2022, 10% of the inhabitants in each community, including children, youth, adults, and elderly individuals, were interviewed to gather information related to their knowledge of wild mushrooms. Local translators assisted in analyzing the origins and meanings of mushroom names. Field trips to collect sporomes were conducted with community members. Regression analysis and analysis of covariance were performed to assess the use of traditional names among community members.</p><p><strong>Results: </strong>A total of 43 indigenous names were recorded for 32 mushroom species. The Chatino people use 22 indigenous names for 23 species and refer to mushrooms as \"Kía\"; the Chontal group uses 15 names for 16 species, and the term for mushrooms is \"Jlapilí\"; the Chinantec group has six names for six mushroom species and uses the generic term \"Naẗ.\" Indigenous names consist of a generic term for mushroom and a specific suffix. Since the mushroom names are assigned based on ecological, morphological, and cultural factors, similarities in their meanings can be observed among the communities. People's age is positively related to the number of indigenous mushroom names they use. Women use more Spanish names than men.</p><p><strong>Conclusions: </strong>The variety of names used in each studied community underlines the relevance of wild mushrooms for these indigenous groups. They have developed a comprehensive folk taxonomy that enables them to effectively utilize fungal resources and ensure the transmission of traditional knowledge.</p>","PeriodicalId":49162,"journal":{"name":"Journal of Ethnobiology and Ethnomedicine","volume":"21 1","pages":"30"},"PeriodicalIF":3.7000,"publicationDate":"2025-05-01","publicationTypes":"Journal Article","fieldsOfStudy":null,"isOpenAccess":false,"openAccessPdf":"https://www.ncbi.nlm.nih.gov/pmc/articles/PMC12044724/pdf/","citationCount":"0","resultStr":"{\"title\":\"Folk taxonomy of wild mushrooms in communities of the indigenous groups Chatino, Chontal, and Chinantec in Oaxaca, Mexico.\",\"authors\":\"Alexanders López-García, Marko Gómez-Hernández, Etelvina Gándara\",\"doi\":\"10.1186/s13002-025-00779-z\",\"DOIUrl\":null,\"url\":null,\"abstract\":\"<p><strong>Background: </strong>Traditional names of wild mushrooms have long served as crucial links between these organisms and humans. In Mexico, cultural groups traditionally use indigenous and Spanish names and have developed effective methods for classifying and naming mushrooms. This has allowed the suitable use of fungal resources and the transmission of ancestral knowledge regarding each species. The present study explores the folk taxonomy of wild mushrooms in communities belonging to the Chatino, Chontal, and Chinantec indigenous groups of Oaxaca, Mexico. The goal was to assess the origins and meanings of the mushroom names, their connections to local culture, and the similarities in folk taxonomy among indigenous groups to understand the dynamics of classification and assignment of names.</p><p><strong>Methods: </strong>Between April and October 2022, 10% of the inhabitants in each community, including children, youth, adults, and elderly individuals, were interviewed to gather information related to their knowledge of wild mushrooms. Local translators assisted in analyzing the origins and meanings of mushroom names. Field trips to collect sporomes were conducted with community members. Regression analysis and analysis of covariance were performed to assess the use of traditional names among community members.</p><p><strong>Results: </strong>A total of 43 indigenous names were recorded for 32 mushroom species. The Chatino people use 22 indigenous names for 23 species and refer to mushrooms as \\\"Kía\\\"; the Chontal group uses 15 names for 16 species, and the term for mushrooms is \\\"Jlapilí\\\"; the Chinantec group has six names for six mushroom species and uses the generic term \\\"Naẗ.\\\" Indigenous names consist of a generic term for mushroom and a specific suffix. Since the mushroom names are assigned based on ecological, morphological, and cultural factors, similarities in their meanings can be observed among the communities. People's age is positively related to the number of indigenous mushroom names they use. Women use more Spanish names than men.</p><p><strong>Conclusions: </strong>The variety of names used in each studied community underlines the relevance of wild mushrooms for these indigenous groups. They have developed a comprehensive folk taxonomy that enables them to effectively utilize fungal resources and ensure the transmission of traditional knowledge.</p>\",\"PeriodicalId\":49162,\"journal\":{\"name\":\"Journal of Ethnobiology and Ethnomedicine\",\"volume\":\"21 1\",\"pages\":\"30\"},\"PeriodicalIF\":3.7000,\"publicationDate\":\"2025-05-01\",\"publicationTypes\":\"Journal Article\",\"fieldsOfStudy\":null,\"isOpenAccess\":false,\"openAccessPdf\":\"https://www.ncbi.nlm.nih.gov/pmc/articles/PMC12044724/pdf/\",\"citationCount\":\"0\",\"resultStr\":null,\"platform\":\"Semanticscholar\",\"paperid\":null,\"PeriodicalName\":\"Journal of Ethnobiology and Ethnomedicine\",\"FirstCategoryId\":\"3\",\"ListUrlMain\":\"https://doi.org/10.1186/s13002-025-00779-z\",\"RegionNum\":2,\"RegionCategory\":\"医学\",\"ArticlePicture\":[],\"TitleCN\":null,\"AbstractTextCN\":null,\"PMCID\":null,\"EPubDate\":\"\",\"PubModel\":\"\",\"JCR\":\"Q1\",\"JCRName\":\"BIODIVERSITY CONSERVATION\",\"Score\":null,\"Total\":0}","platform":"Semanticscholar","paperid":null,"PeriodicalName":"Journal of Ethnobiology and Ethnomedicine","FirstCategoryId":"3","ListUrlMain":"https://doi.org/10.1186/s13002-025-00779-z","RegionNum":2,"RegionCategory":"医学","ArticlePicture":[],"TitleCN":null,"AbstractTextCN":null,"PMCID":null,"EPubDate":"","PubModel":"","JCR":"Q1","JCRName":"BIODIVERSITY CONSERVATION","Score":null,"Total":0}
引用次数: 0

摘要

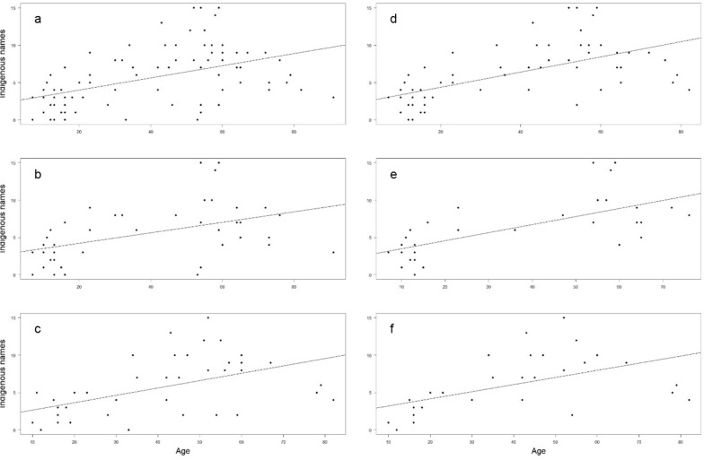
背景:野生蘑菇的传统名称长期以来一直是这些生物与人类之间的关键联系。在墨西哥,文化团体传统上使用土著和西班牙名字,并开发了有效的方法来分类和命名蘑菇。这使得真菌资源得到了适当的利用,并传播了关于每个物种的祖先知识。本研究探讨了墨西哥瓦哈卡州Chatino, Chontal和Chinantec土著群体中野生蘑菇的民间分类。目的是评估蘑菇名称的起源和意义,它们与当地文化的联系,以及土著群体之间民间分类的相似性,以了解分类和名称分配的动态。方法:在2022年4月至10月期间,对每个社区10%的居民(包括儿童、青年、成年人和老年人)进行访谈,以收集他们对野生蘑菇的了解相关信息。当地翻译协助分析了蘑菇名称的来源和含义。与社区成员一起进行了收集孢子的实地考察。采用回归分析和协方差分析评估社区成员对传统名称的使用情况。结果:共记录到32种食用菌的43个本土名称。查蒂诺人对23个品种使用22个土著名称,并将蘑菇称为“Kía”;Chontal组对16个物种使用了15个名称,蘑菇的名称是“Jlapilí”;Chinantec集团对六种蘑菇有六个名称,并使用通用术语“na”。土着名称由蘑菇的通称和特定后缀组成。由于蘑菇的名称是基于生态、形态和文化因素而分配的,因此在群落之间可以观察到它们的意义相似。人们的年龄与他们使用的本土蘑菇名称的数量呈正相关。女性比男性使用更多的西班牙名字。结论:在每个研究群落中使用的各种名称强调了野生蘑菇与这些土著群体的相关性。他们建立了一个全面的民间分类系统,使他们能够有效地利用真菌资源,并确保传统知识的传播。
本文章由计算机程序翻译,如有差异,请以英文原文为准。

Folk taxonomy of wild mushrooms in communities of the indigenous groups Chatino, Chontal, and Chinantec in Oaxaca, Mexico.

Folk taxonomy of wild mushrooms in communities of the indigenous groups Chatino, Chontal, and Chinantec in Oaxaca, Mexico.

Folk taxonomy of wild mushrooms in communities of the indigenous groups Chatino, Chontal, and Chinantec in Oaxaca, Mexico.

Folk taxonomy of wild mushrooms in communities of the indigenous groups Chatino, Chontal, and Chinantec in Oaxaca, Mexico.

Background: Traditional names of wild mushrooms have long served as crucial links between these organisms and humans. In Mexico, cultural groups traditionally use indigenous and Spanish names and have developed effective methods for classifying and naming mushrooms. This has allowed the suitable use of fungal resources and the transmission of ancestral knowledge regarding each species. The present study explores the folk taxonomy of wild mushrooms in communities belonging to the Chatino, Chontal, and Chinantec indigenous groups of Oaxaca, Mexico. The goal was to assess the origins and meanings of the mushroom names, their connections to local culture, and the similarities in folk taxonomy among indigenous groups to understand the dynamics of classification and assignment of names.

Methods: Between April and October 2022, 10% of the inhabitants in each community, including children, youth, adults, and elderly individuals, were interviewed to gather information related to their knowledge of wild mushrooms. Local translators assisted in analyzing the origins and meanings of mushroom names. Field trips to collect sporomes were conducted with community members. Regression analysis and analysis of covariance were performed to assess the use of traditional names among community members.

Results: A total of 43 indigenous names were recorded for 32 mushroom species. The Chatino people use 22 indigenous names for 23 species and refer to mushrooms as "Kía"; the Chontal group uses 15 names for 16 species, and the term for mushrooms is "Jlapilí"; the Chinantec group has six names for six mushroom species and uses the generic term "Naẗ." Indigenous names consist of a generic term for mushroom and a specific suffix. Since the mushroom names are assigned based on ecological, morphological, and cultural factors, similarities in their meanings can be observed among the communities. People's age is positively related to the number of indigenous mushroom names they use. Women use more Spanish names than men.

Conclusions: The variety of names used in each studied community underlines the relevance of wild mushrooms for these indigenous groups. They have developed a comprehensive folk taxonomy that enables them to effectively utilize fungal resources and ensure the transmission of traditional knowledge.

求助全文
通过发布文献求助,成功后即可免费获取论文全文。 去求助
来源期刊
CiteScore
7.30
自引率
16.70%
发文量
66
审稿时长
>12 weeks
期刊介绍: Journal of Ethnobiology and Ethnomedicine publishes original research focusing on cultural perceptions of nature and of human and animal health. Journal of Ethnobiology and Ethnomedicine invites research articles, reviews and commentaries concerning the investigations of the inextricable links between human societies and nature, food, and health. Specifically, the journal covers the following topics: ethnobotany, ethnomycology, ethnozoology, ethnoecology (including ethnopedology), ethnogastronomy, ethnomedicine, ethnoveterinary, as well as all related areas in environmental, nutritional, and medical anthropology. Research focusing on the implications that the inclusion of humanistic, cultural, and social dimensions have in understanding the biological word is also welcome, as well as its potential projections in public health-centred, nutritional, and environmental policies.
×
引用
GB/T 7714-2015
复制
MLA
复制
APA
复制
导出至
BibTeX EndNote RefMan NoteFirst NoteExpress
×
提示
您的信息不完整,为了账户安全,请先补充。
现在去补充
×
提示
您因"违规操作"
具体请查看互助需知
我知道了
×
提示
确定
请完成安全验证×
copy
已复制链接
快去分享给好友吧!
我知道了
右上角分享
点击右上角分享
0
联系我们:info@booksci.cn Book学术提供免费学术资源搜索服务,方便国内外学者检索中英文文献。致力于提供最便捷和优质的服务体验。 Copyright © 2023 布克学术 All rights reserved.
京ICP备2023020795号-1
ghs 京公网安备 11010802042870号
Book学术文献互助
Book学术文献互助群
群 号:604180095
Book学术官方微信