早期积极治疗对炎症性肠病长期生化标志物模式的影响。

IF 5.5 2区 医学 Q1 GASTROENTEROLOGY & HEPATOLOGY
Journal of Gastroenterology Pub Date : 2025-07-01 Epub Date: 2025-05-02 DOI:10.1007/s00535-025-02244-w
Yu Kyung Jun, Yonghoon Choi, Cheol Min Shin, Young Soo Park, Nayoung Kim, Dong Ho Lee, Soyeon Ahn, Hyuk Yoon
{"title":"早期积极治疗对炎症性肠病长期生化标志物模式的影响。","authors":"Yu Kyung Jun, Yonghoon Choi, Cheol Min Shin, Young Soo Park, Nayoung Kim, Dong Ho Lee, Soyeon Ahn, Hyuk Yoon","doi":"10.1007/s00535-025-02244-w","DOIUrl":null,"url":null,"abstract":"<p><strong>Backgrounds: </strong>The disease course of inflammatory bowel disease (IBD) is highly variable; early and precise identification of patients with poor outcomes is crucial. We aimed to classify the long-term disease course of IBD using biochemical markers and evaluate the clinical factors associated with different disease courses.</p><p><strong>Methods: </strong>A latent class mixed model was employed to identify distinct trajectories of C-reactive protein (CRP) and fecal calprotectin (FCP) levels in 256 and 635 patients with Crohn's disease (CD) and ulcerative colitis (UC), respectively, from a tertiary hospital cohort. Multinomial logistic regression was used to evaluate the relationships between various trajectories and clinical variables.</p><p><strong>Results: </strong>Three trajectories were identified for CD and UC: class 1, early and sustained biochemical remission; class 2, delayed remission; and class 3, prolonged difficulty in achieving remission for > 5 years. For patients with CD, early immunomodulator initiation was associated with a high likelihood of belonging to class 1 in the CRP trajectory analysis, whereas early advanced therapy increased the probability of belonging to class 1 in the FCP trajectory analysis. CRP trajectory analysis showed no significant associations in patients with UC. Younger age at diagnosis and early immunomodulator initiation were associated with higher odds of being in class 2 or 3, whereas current smoking was associated with a high likelihood of being in class 1 in the FCP trajectory analysis.</p><p><strong>Conclusions: </strong>Early aggressive medical treatment for CD may lead to long-term biochemical remission, whereas no similar association was observed in UC.</p>","PeriodicalId":16059,"journal":{"name":"Journal of Gastroenterology","volume":" ","pages":"854-865"},"PeriodicalIF":5.5000,"publicationDate":"2025-07-01","publicationTypes":"Journal Article","fieldsOfStudy":null,"isOpenAccess":false,"openAccessPdf":"https://www.ncbi.nlm.nih.gov/pmc/articles/PMC12176982/pdf/","citationCount":"0","resultStr":"{\"title\":\"Impact of early aggressive treatment on long-term biochemical marker patterns in inflammatory bowel disease.\",\"authors\":\"Yu Kyung Jun, Yonghoon Choi, Cheol Min Shin, Young Soo Park, Nayoung Kim, Dong Ho Lee, Soyeon Ahn, Hyuk Yoon\",\"doi\":\"10.1007/s00535-025-02244-w\",\"DOIUrl\":null,\"url\":null,\"abstract\":\"<p><strong>Backgrounds: </strong>The disease course of inflammatory bowel disease (IBD) is highly variable; early and precise identification of patients with poor outcomes is crucial. We aimed to classify the long-term disease course of IBD using biochemical markers and evaluate the clinical factors associated with different disease courses.</p><p><strong>Methods: </strong>A latent class mixed model was employed to identify distinct trajectories of C-reactive protein (CRP) and fecal calprotectin (FCP) levels in 256 and 635 patients with Crohn's disease (CD) and ulcerative colitis (UC), respectively, from a tertiary hospital cohort. Multinomial logistic regression was used to evaluate the relationships between various trajectories and clinical variables.</p><p><strong>Results: </strong>Three trajectories were identified for CD and UC: class 1, early and sustained biochemical remission; class 2, delayed remission; and class 3, prolonged difficulty in achieving remission for > 5 years. For patients with CD, early immunomodulator initiation was associated with a high likelihood of belonging to class 1 in the CRP trajectory analysis, whereas early advanced therapy increased the probability of belonging to class 1 in the FCP trajectory analysis. CRP trajectory analysis showed no significant associations in patients with UC. Younger age at diagnosis and early immunomodulator initiation were associated with higher odds of being in class 2 or 3, whereas current smoking was associated with a high likelihood of being in class 1 in the FCP trajectory analysis.</p><p><strong>Conclusions: </strong>Early aggressive medical treatment for CD may lead to long-term biochemical remission, whereas no similar association was observed in UC.</p>\",\"PeriodicalId\":16059,\"journal\":{\"name\":\"Journal of Gastroenterology\",\"volume\":\" \",\"pages\":\"854-865\"},\"PeriodicalIF\":5.5000,\"publicationDate\":\"2025-07-01\",\"publicationTypes\":\"Journal Article\",\"fieldsOfStudy\":null,\"isOpenAccess\":false,\"openAccessPdf\":\"https://www.ncbi.nlm.nih.gov/pmc/articles/PMC12176982/pdf/\",\"citationCount\":\"0\",\"resultStr\":null,\"platform\":\"Semanticscholar\",\"paperid\":null,\"PeriodicalName\":\"Journal of Gastroenterology\",\"FirstCategoryId\":\"3\",\"ListUrlMain\":\"https://doi.org/10.1007/s00535-025-02244-w\",\"RegionNum\":2,\"RegionCategory\":\"医学\",\"ArticlePicture\":[],\"TitleCN\":null,\"AbstractTextCN\":null,\"PMCID\":null,\"EPubDate\":\"2025/5/2 0:00:00\",\"PubModel\":\"Epub\",\"JCR\":\"Q1\",\"JCRName\":\"GASTROENTEROLOGY & HEPATOLOGY\",\"Score\":null,\"Total\":0}","platform":"Semanticscholar","paperid":null,"PeriodicalName":"Journal of Gastroenterology","FirstCategoryId":"3","ListUrlMain":"https://doi.org/10.1007/s00535-025-02244-w","RegionNum":2,"RegionCategory":"医学","ArticlePicture":[],"TitleCN":null,"AbstractTextCN":null,"PMCID":null,"EPubDate":"2025/5/2 0:00:00","PubModel":"Epub","JCR":"Q1","JCRName":"GASTROENTEROLOGY & HEPATOLOGY","Score":null,"Total":0}
引用次数: 0

摘要

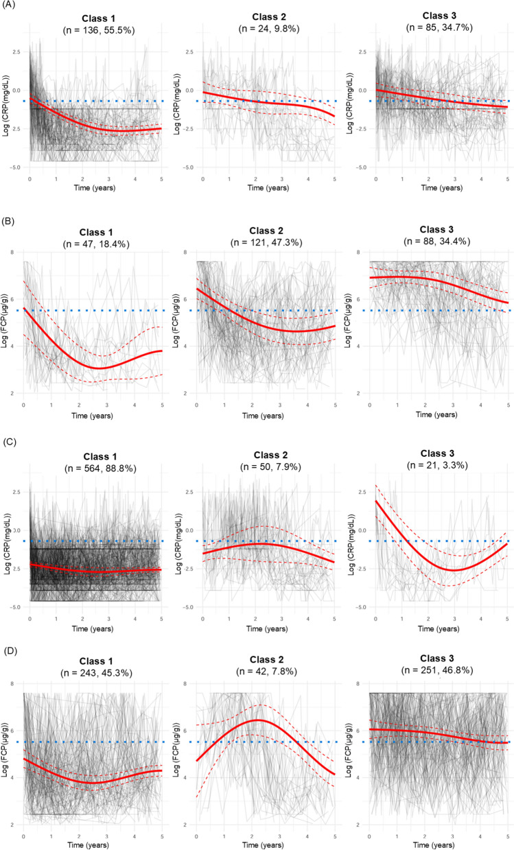
背景:炎症性肠病(IBD)的病程变化很大;早期和准确识别预后不良的患者至关重要。我们的目的是利用生化指标对IBD的长期病程进行分类,并评估与不同病程相关的临床因素。方法:采用一个潜在类别混合模型,分别在来自三级医院的256例克罗恩病(CD)和635例溃疡性结肠炎(UC)患者中确定c反应蛋白(CRP)和粪便钙保护蛋白(FCP)水平的不同轨迹。使用多项逻辑回归来评估各种轨迹与临床变量之间的关系。结果:确定了CD和UC的三个轨迹:1级,早期和持续的生化缓解;2级,延迟缓解;第三类,长期难以缓解,持续50年。对于CD患者,早期免疫调节剂启动与CRP轨迹分析中属于1级的可能性高相关,而早期高级治疗增加了FCP轨迹分析中属于1级的可能性。CRP轨迹分析显示UC患者无显著相关性。在FCP轨迹分析中,较年轻的诊断年龄和早期开始使用免疫调节剂与较高的2级或3级可能性相关,而当前吸烟与较高的1级可能性相关。结论:早期积极治疗CD可能导致长期生化缓解,而UC没有观察到类似的关联。
本文章由计算机程序翻译,如有差异,请以英文原文为准。

Impact of early aggressive treatment on long-term biochemical marker patterns in inflammatory bowel disease.

Impact of early aggressive treatment on long-term biochemical marker patterns in inflammatory bowel disease.

Backgrounds: The disease course of inflammatory bowel disease (IBD) is highly variable; early and precise identification of patients with poor outcomes is crucial. We aimed to classify the long-term disease course of IBD using biochemical markers and evaluate the clinical factors associated with different disease courses.

Methods: A latent class mixed model was employed to identify distinct trajectories of C-reactive protein (CRP) and fecal calprotectin (FCP) levels in 256 and 635 patients with Crohn's disease (CD) and ulcerative colitis (UC), respectively, from a tertiary hospital cohort. Multinomial logistic regression was used to evaluate the relationships between various trajectories and clinical variables.

Results: Three trajectories were identified for CD and UC: class 1, early and sustained biochemical remission; class 2, delayed remission; and class 3, prolonged difficulty in achieving remission for > 5 years. For patients with CD, early immunomodulator initiation was associated with a high likelihood of belonging to class 1 in the CRP trajectory analysis, whereas early advanced therapy increased the probability of belonging to class 1 in the FCP trajectory analysis. CRP trajectory analysis showed no significant associations in patients with UC. Younger age at diagnosis and early immunomodulator initiation were associated with higher odds of being in class 2 or 3, whereas current smoking was associated with a high likelihood of being in class 1 in the FCP trajectory analysis.

Conclusions: Early aggressive medical treatment for CD may lead to long-term biochemical remission, whereas no similar association was observed in UC.

求助全文
通过发布文献求助,成功后即可免费获取论文全文。 去求助
来源期刊
Journal of Gastroenterology
Journal of Gastroenterology 医学-胃肠肝病学
CiteScore
12.20
自引率
1.60%
发文量
99
审稿时长
4-8 weeks
期刊介绍: The Journal of Gastroenterology, which is the official publication of the Japanese Society of Gastroenterology, publishes Original Articles (Alimentary Tract/Liver, Pancreas, and Biliary Tract), Review Articles, Letters to the Editors and other articles on all aspects of the field of gastroenterology. Significant contributions relating to basic research, theory, and practice are welcomed. These publications are designed to disseminate knowledge in this field to a worldwide audience, and accordingly, its editorial board has an international membership.
×
引用
GB/T 7714-2015
复制
MLA
复制
APA
复制
导出至
BibTeX EndNote RefMan NoteFirst NoteExpress
×
提示
您的信息不完整,为了账户安全,请先补充。
现在去补充
×
提示
您因"违规操作"
具体请查看互助需知
我知道了
×
提示
确定
请完成安全验证×
copy
已复制链接
快去分享给好友吧!
我知道了
右上角分享
点击右上角分享
0
联系我们:info@booksci.cn Book学术提供免费学术资源搜索服务,方便国内外学者检索中英文文献。致力于提供最便捷和优质的服务体验。 Copyright © 2023 布克学术 All rights reserved.
京ICP备2023020795号-1
ghs 京公网安备 11010802042870号
Book学术文献互助
Book学术文献互助群
群 号:604180095
Book学术官方微信