志贺氏菌和产肠毒素大肠杆菌联合疫苗ShecVax的免疫原性和临床前疗效分析

IF 2.8 3区 医学 Q3 IMMUNOLOGY
Infection and Immunity Pub Date : 2025-06-10 Epub Date: 2025-04-10 DOI:10.1128/iai.00004-25
Siqi Li, Ipshita Upadhyay, Hyesuk Seo, Sai S R Vakamalla, Aashwina Madhwal, David A Sack, Weiping Zhang
{"title":"志贺氏菌和产肠毒素大肠杆菌联合疫苗ShecVax的免疫原性和临床前疗效分析","authors":"Siqi Li, Ipshita Upadhyay, Hyesuk Seo, Sai S R Vakamalla, Aashwina Madhwal, David A Sack, Weiping Zhang","doi":"10.1128/iai.00004-25","DOIUrl":null,"url":null,"abstract":"<p><p>No licensed vaccines are available for the largely antibiotic-resistant <i>Shigella</i> or enterotoxigenic <i>Escherichia coli</i> (ETEC), the two most common bacteria causing children's diarrhea and travelers' diarrhea. Virulence heterogeneity is a key obstacle to developing vaccines against <i>Shigella</i> or ETEC. By applying a multiepitope fusion antigen (MEFA) vaccinology platform, we recently constructed epitope- and structure-based polyvalent proteins to induce cross-protective antibodies against heterogeneous <i>Shigella</i> or ETEC strains. In this study, we combined a polyvalent <i>Shigella</i> protein with two polyvalent ETEC proteins, examined antigen compatibility and broad immunogenicity, and evaluated the potential of developing a combined vaccine against the two groups of bacteria. Data showed that mice intramuscularly immunized with the combined vaccine candidate (ShecVax) developed antibodies to all the following target virulence factors: <i>Shigella</i> IpaB, IpaD, VirG, GuaB, StxA, Stx2A, and StxB, and ETEC STa, LT, CFA/I, CS1, CS2, CS3, CS4, CS5, and CS6. ShecVax-induced antibodies significantly inhibited the invasion of all <i>Shigella</i> species and important serotypes, prevented the adherence of all important ETEC pathotypes, and neutralized the enterotoxicity of ETEC toxins STa and LT. Moreover, ShecVax prevented mice from lethal pulmonary infection with <i>Shigella sonnei</i> or <i>S. flexneri</i> 2a, significantly reduced ETEC bacterial colonization in rabbit small intestines, and passively protected newborn pigs against ETEC toxin-mediated clinical diarrhea. These results indicated that ShecVax is broadly immunogenic and cross-protective against <i>Shigella</i> and ETEC, suggesting ShecVax can be a <i>Shigella</i>/ETEC combined vaccine against children's and travelers' diarrhea, and the MEFA platform can be generally applied for vaccine development against heterogeneous pathogens or different diseases.IMPORTANCEThere are no effective countermeasures against <i>Shigella</i> and enterotoxigenic <i>E. coli</i> (ETEC), two antibiotic-resistant groups of bacteria and the leading causes of diarrhea in children in developing countries (children's diarrhea) and international travelers (travelers' diarrhea). Vaccines are a more practical approach to protect against infectious diseases, including diarrhea caused by <i>Shigella</i> or ETEC. A combined vaccine cross-protective against <i>Shigella</i> and ETEC can save hundreds of thousands of lives and prevent hundreds of millions of diarrhea cases yearly; it can also reduce antibiotic prescription and decrease antibiotic resistance, thus significantly improving global health. In addition, we may apply the MEFA platform to develop combined vaccines against heterogeneous pathogens or different diseases to accommodate an increasingly crowded expanded program on immunization (EPI).</p>","PeriodicalId":13541,"journal":{"name":"Infection and Immunity","volume":" ","pages":"e0000425"},"PeriodicalIF":2.8000,"publicationDate":"2025-06-10","publicationTypes":"Journal Article","fieldsOfStudy":null,"isOpenAccess":false,"openAccessPdf":"https://www.ncbi.nlm.nih.gov/pmc/articles/PMC12150686/pdf/","citationCount":"0","resultStr":"{\"title\":\"Immunogenicity and preclinical efficacy characterization of ShecVax, a combined vaccine against <i>Shigella</i> and enterotoxigenic <i>Escherichia coli</i>.\",\"authors\":\"Siqi Li, Ipshita Upadhyay, Hyesuk Seo, Sai S R Vakamalla, Aashwina Madhwal, David A Sack, Weiping Zhang\",\"doi\":\"10.1128/iai.00004-25\",\"DOIUrl\":null,\"url\":null,\"abstract\":\"<p><p>No licensed vaccines are available for the largely antibiotic-resistant <i>Shigella</i> or enterotoxigenic <i>Escherichia coli</i> (ETEC), the two most common bacteria causing children's diarrhea and travelers' diarrhea. Virulence heterogeneity is a key obstacle to developing vaccines against <i>Shigella</i> or ETEC. By applying a multiepitope fusion antigen (MEFA) vaccinology platform, we recently constructed epitope- and structure-based polyvalent proteins to induce cross-protective antibodies against heterogeneous <i>Shigella</i> or ETEC strains. In this study, we combined a polyvalent <i>Shigella</i> protein with two polyvalent ETEC proteins, examined antigen compatibility and broad immunogenicity, and evaluated the potential of developing a combined vaccine against the two groups of bacteria. Data showed that mice intramuscularly immunized with the combined vaccine candidate (ShecVax) developed antibodies to all the following target virulence factors: <i>Shigella</i> IpaB, IpaD, VirG, GuaB, StxA, Stx2A, and StxB, and ETEC STa, LT, CFA/I, CS1, CS2, CS3, CS4, CS5, and CS6. ShecVax-induced antibodies significantly inhibited the invasion of all <i>Shigella</i> species and important serotypes, prevented the adherence of all important ETEC pathotypes, and neutralized the enterotoxicity of ETEC toxins STa and LT. Moreover, ShecVax prevented mice from lethal pulmonary infection with <i>Shigella sonnei</i> or <i>S. flexneri</i> 2a, significantly reduced ETEC bacterial colonization in rabbit small intestines, and passively protected newborn pigs against ETEC toxin-mediated clinical diarrhea. These results indicated that ShecVax is broadly immunogenic and cross-protective against <i>Shigella</i> and ETEC, suggesting ShecVax can be a <i>Shigella</i>/ETEC combined vaccine against children's and travelers' diarrhea, and the MEFA platform can be generally applied for vaccine development against heterogeneous pathogens or different diseases.IMPORTANCEThere are no effective countermeasures against <i>Shigella</i> and enterotoxigenic <i>E. coli</i> (ETEC), two antibiotic-resistant groups of bacteria and the leading causes of diarrhea in children in developing countries (children's diarrhea) and international travelers (travelers' diarrhea). Vaccines are a more practical approach to protect against infectious diseases, including diarrhea caused by <i>Shigella</i> or ETEC. A combined vaccine cross-protective against <i>Shigella</i> and ETEC can save hundreds of thousands of lives and prevent hundreds of millions of diarrhea cases yearly; it can also reduce antibiotic prescription and decrease antibiotic resistance, thus significantly improving global health. In addition, we may apply the MEFA platform to develop combined vaccines against heterogeneous pathogens or different diseases to accommodate an increasingly crowded expanded program on immunization (EPI).</p>\",\"PeriodicalId\":13541,\"journal\":{\"name\":\"Infection and Immunity\",\"volume\":\" \",\"pages\":\"e0000425\"},\"PeriodicalIF\":2.8000,\"publicationDate\":\"2025-06-10\",\"publicationTypes\":\"Journal Article\",\"fieldsOfStudy\":null,\"isOpenAccess\":false,\"openAccessPdf\":\"https://www.ncbi.nlm.nih.gov/pmc/articles/PMC12150686/pdf/\",\"citationCount\":\"0\",\"resultStr\":null,\"platform\":\"Semanticscholar\",\"paperid\":null,\"PeriodicalName\":\"Infection and Immunity\",\"FirstCategoryId\":\"3\",\"ListUrlMain\":\"https://doi.org/10.1128/iai.00004-25\",\"RegionNum\":3,\"RegionCategory\":\"医学\",\"ArticlePicture\":[],\"TitleCN\":null,\"AbstractTextCN\":null,\"PMCID\":null,\"EPubDate\":\"2025/4/10 0:00:00\",\"PubModel\":\"Epub\",\"JCR\":\"Q3\",\"JCRName\":\"IMMUNOLOGY\",\"Score\":null,\"Total\":0}","platform":"Semanticscholar","paperid":null,"PeriodicalName":"Infection and Immunity","FirstCategoryId":"3","ListUrlMain":"https://doi.org/10.1128/iai.00004-25","RegionNum":3,"RegionCategory":"医学","ArticlePicture":[],"TitleCN":null,"AbstractTextCN":null,"PMCID":null,"EPubDate":"2025/4/10 0:00:00","PubModel":"Epub","JCR":"Q3","JCRName":"IMMUNOLOGY","Score":null,"Total":0}
引用次数: 0

摘要

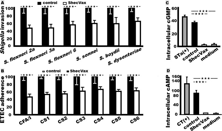
目前还没有获得许可的疫苗可用于主要耐抗生素的志贺氏菌或产肠毒素大肠杆菌(ETEC),这两种最常见的细菌导致儿童腹泻和旅行者腹泻。毒力异质性是开发志贺氏菌或ETEC疫苗的主要障碍。通过应用多表位融合抗原(MEFA)疫苗学平台,我们最近构建了基于表位和结构的多价蛋白,以诱导针对异种志贺氏菌或ETEC菌株的交叉保护抗体。在这项研究中,我们将一种多价志贺氏菌蛋白与两种多价ETEC蛋白结合,检测了抗原相容性和广泛的免疫原性,并评估了开发一种针对两组细菌的联合疫苗的潜力。数据显示,用联合候选疫苗(ShecVax)肌内免疫的小鼠产生针对以下所有目标毒力因子的抗体:志贺氏菌IpaB、IpaD、VirG、GuaB、StxA、Stx2A和StxB,以及ETEC STa、LT、CFA/I、CS1、CS2、CS3、CS4、CS5和CS6。ShecVax诱导的抗体显著抑制了所有志贺氏菌种和重要血清型的侵袭,阻止了所有重要ETEC病原菌的粘附,中和了ETEC毒素STa和lt的肠毒性。此外,ShecVax可以防止小鼠致命的sonnei志贺氏菌或S. flexneri 2a肺部感染,显著减少ETEC细菌在兔小肠中的定植,并被动保护新生猪免受ETEC毒素介导的临床腹泻。这些结果表明,ShecVax具有广泛的免疫原性,对志贺氏菌和ETEC具有交叉保护作用,提示ShecVax可作为儿童和旅行者腹泻的志贺氏菌/ETEC联合疫苗,MEFA平台可广泛应用于针对异种病原体或不同疾病的疫苗开发。志贺氏菌和产肠毒素大肠杆菌(ETEC)是两种抗生素耐药菌群,也是发展中国家儿童腹泻(儿童腹泻)和国际旅行者腹泻(旅行者腹泻)的主要原因,目前尚无有效对策。疫苗是一种更实用的预防传染病的方法,包括由志贺氏菌或ETEC引起的腹泻。针对志贺氏菌和ETEC的交叉保护联合疫苗每年可挽救数十万人的生命,并预防数亿例腹泻病例;它还可以减少抗生素处方和减少抗生素耐药性,从而显著改善全球健康。此外,我们可以应用MEFA平台开发针对异质病原体或不同疾病的联合疫苗,以适应日益拥挤的扩大免疫规划(EPI)。
本文章由计算机程序翻译,如有差异,请以英文原文为准。

Immunogenicity and preclinical efficacy characterization of ShecVax, a combined vaccine against <i>Shigella</i> and enterotoxigenic <i>Escherichia coli</i>.

Immunogenicity and preclinical efficacy characterization of ShecVax, a combined vaccine against <i>Shigella</i> and enterotoxigenic <i>Escherichia coli</i>.

Immunogenicity and preclinical efficacy characterization of ShecVax, a combined vaccine against <i>Shigella</i> and enterotoxigenic <i>Escherichia coli</i>.

Immunogenicity and preclinical efficacy characterization of ShecVax, a combined vaccine against Shigella and enterotoxigenic Escherichia coli.

No licensed vaccines are available for the largely antibiotic-resistant Shigella or enterotoxigenic Escherichia coli (ETEC), the two most common bacteria causing children's diarrhea and travelers' diarrhea. Virulence heterogeneity is a key obstacle to developing vaccines against Shigella or ETEC. By applying a multiepitope fusion antigen (MEFA) vaccinology platform, we recently constructed epitope- and structure-based polyvalent proteins to induce cross-protective antibodies against heterogeneous Shigella or ETEC strains. In this study, we combined a polyvalent Shigella protein with two polyvalent ETEC proteins, examined antigen compatibility and broad immunogenicity, and evaluated the potential of developing a combined vaccine against the two groups of bacteria. Data showed that mice intramuscularly immunized with the combined vaccine candidate (ShecVax) developed antibodies to all the following target virulence factors: Shigella IpaB, IpaD, VirG, GuaB, StxA, Stx2A, and StxB, and ETEC STa, LT, CFA/I, CS1, CS2, CS3, CS4, CS5, and CS6. ShecVax-induced antibodies significantly inhibited the invasion of all Shigella species and important serotypes, prevented the adherence of all important ETEC pathotypes, and neutralized the enterotoxicity of ETEC toxins STa and LT. Moreover, ShecVax prevented mice from lethal pulmonary infection with Shigella sonnei or S. flexneri 2a, significantly reduced ETEC bacterial colonization in rabbit small intestines, and passively protected newborn pigs against ETEC toxin-mediated clinical diarrhea. These results indicated that ShecVax is broadly immunogenic and cross-protective against Shigella and ETEC, suggesting ShecVax can be a Shigella/ETEC combined vaccine against children's and travelers' diarrhea, and the MEFA platform can be generally applied for vaccine development against heterogeneous pathogens or different diseases.IMPORTANCEThere are no effective countermeasures against Shigella and enterotoxigenic E. coli (ETEC), two antibiotic-resistant groups of bacteria and the leading causes of diarrhea in children in developing countries (children's diarrhea) and international travelers (travelers' diarrhea). Vaccines are a more practical approach to protect against infectious diseases, including diarrhea caused by Shigella or ETEC. A combined vaccine cross-protective against Shigella and ETEC can save hundreds of thousands of lives and prevent hundreds of millions of diarrhea cases yearly; it can also reduce antibiotic prescription and decrease antibiotic resistance, thus significantly improving global health. In addition, we may apply the MEFA platform to develop combined vaccines against heterogeneous pathogens or different diseases to accommodate an increasingly crowded expanded program on immunization (EPI).

求助全文
通过发布文献求助,成功后即可免费获取论文全文。 去求助
来源期刊
Infection and Immunity
Infection and Immunity 医学-传染病学
CiteScore
6.00
自引率
6.50%
发文量
268
审稿时长
3 months
期刊介绍: Infection and Immunity (IAI) provides new insights into the interactions between bacterial, fungal and parasitic pathogens and their hosts. Specific areas of interest include mechanisms of molecular pathogenesis, virulence factors, cellular microbiology, experimental models of infection, host resistance or susceptibility, and the generation of innate and adaptive immune responses. IAI also welcomes studies of the microbiome relating to host-pathogen interactions.
×
引用
GB/T 7714-2015
复制
MLA
复制
APA
复制
导出至
BibTeX EndNote RefMan NoteFirst NoteExpress
×
提示
您的信息不完整,为了账户安全,请先补充。
现在去补充
×
提示
您因"违规操作"
具体请查看互助需知
我知道了
×
提示
确定
请完成安全验证×
copy
已复制链接
快去分享给好友吧!
我知道了
右上角分享
点击右上角分享
0
联系我们:info@booksci.cn Book学术提供免费学术资源搜索服务,方便国内外学者检索中英文文献。致力于提供最便捷和优质的服务体验。 Copyright © 2023 布克学术 All rights reserved.
京ICP备2023020795号-1
ghs 京公网安备 11010802042870号
Book学术文献互助
Book学术文献互助群
群 号:604180095
Book学术官方微信