美国外科医师学会“手术风险计算器”(ACS-NSQIP SRC)对整形和重建手术的预测价值:来自德国某学术三级转诊中心的验证研究

IF 2.1 Q1 SURGERY
Florian Bucher, Martynas Tamulevicius, Nadjib Dastagir, Catherine Fuentes Alvarado, Doha Obed, Khaled Dastagir, Peter M Vogt
{"title":"美国外科医师学会“手术风险计算器”(ACS-NSQIP SRC)对整形和重建手术的预测价值:来自德国某学术三级转诊中心的验证研究","authors":"Florian Bucher, Martynas Tamulevicius, Nadjib Dastagir, Catherine Fuentes Alvarado, Doha Obed, Khaled Dastagir, Peter M Vogt","doi":"10.1186/s13037-025-00438-y","DOIUrl":null,"url":null,"abstract":"<p><strong>Aims: </strong>The American College of Surgeons Surgical Risk Calculator (ACS-NSQIP SRC) was designed to predict morbidity and mortality in order to help providing informed consent. This study evaluated its performance in the field of plastic and reconstructive surgery for patients undergoing body contouring and breast reconstruction procedures.</p><p><strong>Methods: </strong>A retrospective analysis of patients undergoing body contouring and breast reconstruction procedures from January 1, 2022 to November 1, 2024 was performed.</p><p><strong>Results: </strong>The ACS-NSQIP SRC showed good prediction only for severe complications in patients undergoing breast reconstruction with DIEP flap (AUC = 0.727); overall prediction and calibration for the remaining 15 subgroups was poor. The incidence of overall and general complications, as well as length of hospital stay was underestimated.</p><p><strong>Conclusions: </strong>The overall performance of the ACS-NSQIP SRC was poor, a finding that underlines the importance of individual decision-making, also considering the surgeon's expertise and patient-specific characteristics.</p>","PeriodicalId":46782,"journal":{"name":"Patient Safety in Surgery","volume":"19 1","pages":"13"},"PeriodicalIF":2.1000,"publicationDate":"2025-04-30","publicationTypes":"Journal Article","fieldsOfStudy":null,"isOpenAccess":false,"openAccessPdf":"https://www.ncbi.nlm.nih.gov/pmc/articles/PMC12044890/pdf/","citationCount":"0","resultStr":"{\"title\":\"Predictive value of the American college of surgeons \\\"surgical risk calculator\\\" (ACS-NSQIP SRC) for plastic and reconstructive surgery: a validation study from an academic tertiary referral center in Germany.\",\"authors\":\"Florian Bucher, Martynas Tamulevicius, Nadjib Dastagir, Catherine Fuentes Alvarado, Doha Obed, Khaled Dastagir, Peter M Vogt\",\"doi\":\"10.1186/s13037-025-00438-y\",\"DOIUrl\":null,\"url\":null,\"abstract\":\"<p><strong>Aims: </strong>The American College of Surgeons Surgical Risk Calculator (ACS-NSQIP SRC) was designed to predict morbidity and mortality in order to help providing informed consent. This study evaluated its performance in the field of plastic and reconstructive surgery for patients undergoing body contouring and breast reconstruction procedures.</p><p><strong>Methods: </strong>A retrospective analysis of patients undergoing body contouring and breast reconstruction procedures from January 1, 2022 to November 1, 2024 was performed.</p><p><strong>Results: </strong>The ACS-NSQIP SRC showed good prediction only for severe complications in patients undergoing breast reconstruction with DIEP flap (AUC = 0.727); overall prediction and calibration for the remaining 15 subgroups was poor. The incidence of overall and general complications, as well as length of hospital stay was underestimated.</p><p><strong>Conclusions: </strong>The overall performance of the ACS-NSQIP SRC was poor, a finding that underlines the importance of individual decision-making, also considering the surgeon's expertise and patient-specific characteristics.</p>\",\"PeriodicalId\":46782,\"journal\":{\"name\":\"Patient Safety in Surgery\",\"volume\":\"19 1\",\"pages\":\"13\"},\"PeriodicalIF\":2.1000,\"publicationDate\":\"2025-04-30\",\"publicationTypes\":\"Journal Article\",\"fieldsOfStudy\":null,\"isOpenAccess\":false,\"openAccessPdf\":\"https://www.ncbi.nlm.nih.gov/pmc/articles/PMC12044890/pdf/\",\"citationCount\":\"0\",\"resultStr\":null,\"platform\":\"Semanticscholar\",\"paperid\":null,\"PeriodicalName\":\"Patient Safety in Surgery\",\"FirstCategoryId\":\"1085\",\"ListUrlMain\":\"https://doi.org/10.1186/s13037-025-00438-y\",\"RegionNum\":0,\"RegionCategory\":null,\"ArticlePicture\":[],\"TitleCN\":null,\"AbstractTextCN\":null,\"PMCID\":null,\"EPubDate\":\"\",\"PubModel\":\"\",\"JCR\":\"Q1\",\"JCRName\":\"SURGERY\",\"Score\":null,\"Total\":0}","platform":"Semanticscholar","paperid":null,"PeriodicalName":"Patient Safety in Surgery","FirstCategoryId":"1085","ListUrlMain":"https://doi.org/10.1186/s13037-025-00438-y","RegionNum":0,"RegionCategory":null,"ArticlePicture":[],"TitleCN":null,"AbstractTextCN":null,"PMCID":null,"EPubDate":"","PubModel":"","JCR":"Q1","JCRName":"SURGERY","Score":null,"Total":0}
引用次数: 0

摘要

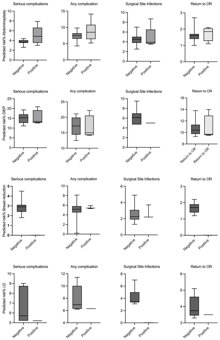
目的:美国外科医师学会手术风险计算器(ACS-NSQIP SRC)旨在预测发病率和死亡率,以帮助提供知情同意。本研究评估了其在整形和重建手术领域的表现,用于接受身体轮廓和乳房重建手术的患者。方法:回顾性分析2022年1月1日至2024年11月1日行形体塑形及乳房重建术的患者。结果:ACS-NSQIP SRC仅对DIEP皮瓣重建患者的严重并发症有较好的预测(AUC = 0.727);其余15个亚组的总体预测和校准较差。总体和一般并发症的发生率以及住院时间都被低估了。结论:ACS-NSQIP SRC的总体表现较差,这一发现强调了个人决策的重要性,也考虑了外科医生的专业知识和患者的具体特征。
本文章由计算机程序翻译,如有差异,请以英文原文为准。

Predictive value of the American college of surgeons "surgical risk calculator" (ACS-NSQIP SRC) for plastic and reconstructive surgery: a validation study from an academic tertiary referral center in Germany.

Predictive value of the American college of surgeons "surgical risk calculator" (ACS-NSQIP SRC) for plastic and reconstructive surgery: a validation study from an academic tertiary referral center in Germany.

Predictive value of the American college of surgeons "surgical risk calculator" (ACS-NSQIP SRC) for plastic and reconstructive surgery: a validation study from an academic tertiary referral center in Germany.

Predictive value of the American college of surgeons "surgical risk calculator" (ACS-NSQIP SRC) for plastic and reconstructive surgery: a validation study from an academic tertiary referral center in Germany.

Aims: The American College of Surgeons Surgical Risk Calculator (ACS-NSQIP SRC) was designed to predict morbidity and mortality in order to help providing informed consent. This study evaluated its performance in the field of plastic and reconstructive surgery for patients undergoing body contouring and breast reconstruction procedures.

Methods: A retrospective analysis of patients undergoing body contouring and breast reconstruction procedures from January 1, 2022 to November 1, 2024 was performed.

Results: The ACS-NSQIP SRC showed good prediction only for severe complications in patients undergoing breast reconstruction with DIEP flap (AUC = 0.727); overall prediction and calibration for the remaining 15 subgroups was poor. The incidence of overall and general complications, as well as length of hospital stay was underestimated.

Conclusions: The overall performance of the ACS-NSQIP SRC was poor, a finding that underlines the importance of individual decision-making, also considering the surgeon's expertise and patient-specific characteristics.

求助全文
通过发布文献求助,成功后即可免费获取论文全文。 去求助
来源期刊
CiteScore
6.80
自引率
8.10%
发文量
37
审稿时长
9 weeks
×
引用
GB/T 7714-2015
复制
MLA
复制
APA
复制
导出至
BibTeX EndNote RefMan NoteFirst NoteExpress
×
提示
您的信息不完整,为了账户安全,请先补充。
现在去补充
×
提示
您因"违规操作"
具体请查看互助需知
我知道了
×
提示
确定
请完成安全验证×
copy
已复制链接
快去分享给好友吧!
我知道了
右上角分享
点击右上角分享
0
联系我们:info@booksci.cn Book学术提供免费学术资源搜索服务,方便国内外学者检索中英文文献。致力于提供最便捷和优质的服务体验。 Copyright © 2023 布克学术 All rights reserved.
京ICP备2023020795号-1
ghs 京公网安备 11010802042870号
Book学术文献互助
Book学术文献互助群
群 号:604180095
Book学术官方微信