青少年偶发糖尿病的心血管疾病危险因素趋势:寻找青少年糖尿病。

IF 5.6 3区 医学 Q2 ENDOCRINOLOGY & METABOLISM
Pediatric Diabetes Pub Date : 2024-07-11 eCollection Date: 2024-01-01 DOI:10.1155/2024/5213520
Ronny A Bell, Joseph Rigdon, Anna Bellatorre, Dana Dabelea, Ralph D'Agostino, Jasmin Divers, Lawrence M Dolan, Elizabeth Jensen, Angela D Liese, Eva Lustigova, Santica M Marcovina, Lina Merjaneh, David J Pettitt, Catherine Pihoker, Amy S Shah, Andrew M South, Lynne E Wagenknecht
{"title":"青少年偶发糖尿病的心血管疾病危险因素趋势:寻找青少年糖尿病。","authors":"Ronny A Bell, Joseph Rigdon, Anna Bellatorre, Dana Dabelea, Ralph D'Agostino, Jasmin Divers, Lawrence M Dolan, Elizabeth Jensen, Angela D Liese, Eva Lustigova, Santica M Marcovina, Lina Merjaneh, David J Pettitt, Catherine Pihoker, Amy S Shah, Andrew M South, Lynne E Wagenknecht","doi":"10.1155/2024/5213520","DOIUrl":null,"url":null,"abstract":"<p><strong>Objectives: </strong>Cardiovascular disease (CVD) is the leading cause of death and disability among persons with diabetes. Early intervention on cardiovascular risk factors (CRFs) is important in reducing CVD burden. The SEARCH for Diabetes in Youth study assessed CRFs in incident cohorts of youth aged <20 years established from 2002 to 2016. <i>Research Design and Methods</i>. Regression models assessed trends over each incident year for lipids (total cholesterol (TC), HDL-c, LDL-c, triglycerides (TG), VLDL-c, and non-HDL-c), kidney function (albumin/creatinine ratio (ACR) ≥30 and ≥300, cystatin C, serum creatinine and estimated glomerular filtration rate (eGFR)), systolic and diastolic blood pressure (BP) <i>z</i>-scores, BMI <i>z</i>-score, waist circumference (WC), and an inflammatory marker (C-reactive protein (CRP)). Models were stratified by diabetes type (type 1 diabetes (T1D), <i>N</i> = 4,600; type 2 diabetes (T2D), <i>N</i> = 932) and adjusted for age at diagnosis, sex, race/ethnicity, and diabetes duration. An interaction analysis assessed differential time trends by type.</p><p><strong>Results: </strong>For youth with T1D, all CRFs significantly improved over time, with the exception of ACR > 300, cystatin C, serum creatinine, eGFR, and CRP. For youth with T2D, TC, LDL-c, and non-HDL-c significantly improved, while eGFR, BMI <i>z</i>-score, and CRP significantly worsened. Significant differences in trends over time by type were seen for TC, HDL-c, BMI <i>z</i>-score, BP <i>z</i>-scores, WC, and CRP.</p><p><strong>Conclusions: </strong>Overall, improvements in CRFs were more often observed in youth with T1D. Youth with T2D had worsening trends over time in BMI <i>z</i>-score, CRP, and kidney function. Further research is needed to better understand these trends and their implications for long-term CVD risk.</p>","PeriodicalId":19797,"journal":{"name":"Pediatric Diabetes","volume":"2024 ","pages":"5213520"},"PeriodicalIF":5.6000,"publicationDate":"2024-07-11","publicationTypes":"Journal Article","fieldsOfStudy":null,"isOpenAccess":false,"openAccessPdf":"https://www.ncbi.nlm.nih.gov/pmc/articles/PMC12017249/pdf/","citationCount":"0","resultStr":"{\"title\":\"Trends in CVD Risk Factors for Youth with Incident Diabetes: SEARCH for Diabetes in Youth.\",\"authors\":\"Ronny A Bell, Joseph Rigdon, Anna Bellatorre, Dana Dabelea, Ralph D'Agostino, Jasmin Divers, Lawrence M Dolan, Elizabeth Jensen, Angela D Liese, Eva Lustigova, Santica M Marcovina, Lina Merjaneh, David J Pettitt, Catherine Pihoker, Amy S Shah, Andrew M South, Lynne E Wagenknecht\",\"doi\":\"10.1155/2024/5213520\",\"DOIUrl\":null,\"url\":null,\"abstract\":\"<p><strong>Objectives: </strong>Cardiovascular disease (CVD) is the leading cause of death and disability among persons with diabetes. Early intervention on cardiovascular risk factors (CRFs) is important in reducing CVD burden. The SEARCH for Diabetes in Youth study assessed CRFs in incident cohorts of youth aged <20 years established from 2002 to 2016. <i>Research Design and Methods</i>. Regression models assessed trends over each incident year for lipids (total cholesterol (TC), HDL-c, LDL-c, triglycerides (TG), VLDL-c, and non-HDL-c), kidney function (albumin/creatinine ratio (ACR) ≥30 and ≥300, cystatin C, serum creatinine and estimated glomerular filtration rate (eGFR)), systolic and diastolic blood pressure (BP) <i>z</i>-scores, BMI <i>z</i>-score, waist circumference (WC), and an inflammatory marker (C-reactive protein (CRP)). Models were stratified by diabetes type (type 1 diabetes (T1D), <i>N</i> = 4,600; type 2 diabetes (T2D), <i>N</i> = 932) and adjusted for age at diagnosis, sex, race/ethnicity, and diabetes duration. An interaction analysis assessed differential time trends by type.</p><p><strong>Results: </strong>For youth with T1D, all CRFs significantly improved over time, with the exception of ACR > 300, cystatin C, serum creatinine, eGFR, and CRP. For youth with T2D, TC, LDL-c, and non-HDL-c significantly improved, while eGFR, BMI <i>z</i>-score, and CRP significantly worsened. Significant differences in trends over time by type were seen for TC, HDL-c, BMI <i>z</i>-score, BP <i>z</i>-scores, WC, and CRP.</p><p><strong>Conclusions: </strong>Overall, improvements in CRFs were more often observed in youth with T1D. Youth with T2D had worsening trends over time in BMI <i>z</i>-score, CRP, and kidney function. Further research is needed to better understand these trends and their implications for long-term CVD risk.</p>\",\"PeriodicalId\":19797,\"journal\":{\"name\":\"Pediatric Diabetes\",\"volume\":\"2024 \",\"pages\":\"5213520\"},\"PeriodicalIF\":5.6000,\"publicationDate\":\"2024-07-11\",\"publicationTypes\":\"Journal Article\",\"fieldsOfStudy\":null,\"isOpenAccess\":false,\"openAccessPdf\":\"https://www.ncbi.nlm.nih.gov/pmc/articles/PMC12017249/pdf/\",\"citationCount\":\"0\",\"resultStr\":null,\"platform\":\"Semanticscholar\",\"paperid\":null,\"PeriodicalName\":\"Pediatric Diabetes\",\"FirstCategoryId\":\"3\",\"ListUrlMain\":\"https://doi.org/10.1155/2024/5213520\",\"RegionNum\":3,\"RegionCategory\":\"医学\",\"ArticlePicture\":[],\"TitleCN\":null,\"AbstractTextCN\":null,\"PMCID\":null,\"EPubDate\":\"2024/1/1 0:00:00\",\"PubModel\":\"eCollection\",\"JCR\":\"Q2\",\"JCRName\":\"ENDOCRINOLOGY & METABOLISM\",\"Score\":null,\"Total\":0}","platform":"Semanticscholar","paperid":null,"PeriodicalName":"Pediatric Diabetes","FirstCategoryId":"3","ListUrlMain":"https://doi.org/10.1155/2024/5213520","RegionNum":3,"RegionCategory":"医学","ArticlePicture":[],"TitleCN":null,"AbstractTextCN":null,"PMCID":null,"EPubDate":"2024/1/1 0:00:00","PubModel":"eCollection","JCR":"Q2","JCRName":"ENDOCRINOLOGY & METABOLISM","Score":null,"Total":0}
引用次数: 0

摘要

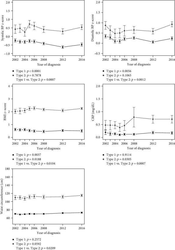
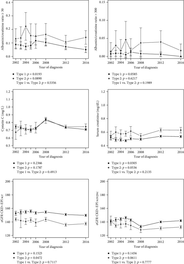
目的:心血管疾病(CVD)是糖尿病患者死亡和残疾的主要原因。早期干预心血管危险因素(CRFs)对减轻CVD负担非常重要。SEARCH for Diabetes in Youth研究评估了青壮年事件队列中的crf。回归模型评估了每个事件年的血脂(总胆固醇(TC)、HDL-c、LDL-c、甘油三酯(TG)、VLDL-c和非HDL-c)、肾功能(白蛋白/肌酐比值(ACR)≥30和≥300、胱抑制素C、血清肌酐和估计的肾小球滤过率(eGFR))、收缩压和舒张压(BP) z-评分、BMI z-评分、腰围(WC)和炎症标志物(C反应蛋白(CRP))的趋势。模型按糖尿病类型分层(1型糖尿病(T1D), N = 4600;2型糖尿病(T2D), N = 932),并根据诊断年龄、性别、种族/民族和糖尿病病程进行调整。一项相互作用分析评估了不同类型的时间趋势。结果:对于青年T1D患者,除了ACR bbb300、胱抑素C、血清肌酐、eGFR和CRP外,所有的crf都随着时间的推移而显著改善。对于患有T2D、TC、LDL-c和非hdl -c的青少年,显著改善,而eGFR、BMI z-score和CRP显著恶化。TC、HDL-c、BMI z-评分、BP z-评分、WC和CRP随时间的变化趋势有显著差异。结论:总体而言,青年T1D患者更常观察到CRFs的改善。随着时间的推移,患有T2D的青少年在BMI z-score、CRP和肾功能方面有恶化的趋势。需要进一步的研究来更好地了解这些趋势及其对长期心血管疾病风险的影响。
本文章由计算机程序翻译,如有差异,请以英文原文为准。

Trends in CVD Risk Factors for Youth with Incident Diabetes: SEARCH for Diabetes in Youth.

Trends in CVD Risk Factors for Youth with Incident Diabetes: SEARCH for Diabetes in Youth.

Trends in CVD Risk Factors for Youth with Incident Diabetes: SEARCH for Diabetes in Youth.

Trends in CVD Risk Factors for Youth with Incident Diabetes: SEARCH for Diabetes in Youth.

Objectives: Cardiovascular disease (CVD) is the leading cause of death and disability among persons with diabetes. Early intervention on cardiovascular risk factors (CRFs) is important in reducing CVD burden. The SEARCH for Diabetes in Youth study assessed CRFs in incident cohorts of youth aged <20 years established from 2002 to 2016. Research Design and Methods. Regression models assessed trends over each incident year for lipids (total cholesterol (TC), HDL-c, LDL-c, triglycerides (TG), VLDL-c, and non-HDL-c), kidney function (albumin/creatinine ratio (ACR) ≥30 and ≥300, cystatin C, serum creatinine and estimated glomerular filtration rate (eGFR)), systolic and diastolic blood pressure (BP) z-scores, BMI z-score, waist circumference (WC), and an inflammatory marker (C-reactive protein (CRP)). Models were stratified by diabetes type (type 1 diabetes (T1D), N = 4,600; type 2 diabetes (T2D), N = 932) and adjusted for age at diagnosis, sex, race/ethnicity, and diabetes duration. An interaction analysis assessed differential time trends by type.

Results: For youth with T1D, all CRFs significantly improved over time, with the exception of ACR > 300, cystatin C, serum creatinine, eGFR, and CRP. For youth with T2D, TC, LDL-c, and non-HDL-c significantly improved, while eGFR, BMI z-score, and CRP significantly worsened. Significant differences in trends over time by type were seen for TC, HDL-c, BMI z-score, BP z-scores, WC, and CRP.

Conclusions: Overall, improvements in CRFs were more often observed in youth with T1D. Youth with T2D had worsening trends over time in BMI z-score, CRP, and kidney function. Further research is needed to better understand these trends and their implications for long-term CVD risk.

求助全文
通过发布文献求助,成功后即可免费获取论文全文。 去求助
来源期刊
Pediatric Diabetes
Pediatric Diabetes 医学-内分泌学与代谢
CiteScore
6.60
自引率
14.70%
发文量
141
审稿时长
4-8 weeks
期刊介绍: Pediatric Diabetes is a bi-monthly journal devoted to disseminating new knowledge relating to the epidemiology, etiology, pathogenesis, management, complications and prevention of diabetes in childhood and adolescence. The aim of the journal is to become the leading vehicle for international dissemination of research and practice relating to diabetes in youth. Papers are considered for publication based on the rigor of scientific approach, novelty, and importance for understanding mechanisms involved in the epidemiology and etiology of this disease, especially its molecular, biochemical and physiological aspects. Work relating to the clinical presentation, course, management and outcome of diabetes, including its physical and emotional sequelae, is considered. In vitro studies using animal or human tissues, whole animal and clinical studies in humans are also considered. The journal reviews full-length papers, preliminary communications with important new information, clinical reports, and reviews of major topics. Invited editorials, commentaries, and perspectives are a regular feature. The editors, based in the USA, Europe, and Australasia, maintain regular communications to assure rapid turnaround time of submitted manuscripts.
×
引用
GB/T 7714-2015
复制
MLA
复制
APA
复制
导出至
BibTeX EndNote RefMan NoteFirst NoteExpress
×
提示
您的信息不完整,为了账户安全,请先补充。
现在去补充
×
提示
您因"违规操作"
具体请查看互助需知
我知道了
×
提示
确定
请完成安全验证×
copy
已复制链接
快去分享给好友吧!
我知道了
右上角分享
点击右上角分享
0
联系我们:info@booksci.cn Book学术提供免费学术资源搜索服务,方便国内外学者检索中英文文献。致力于提供最便捷和优质的服务体验。 Copyright © 2023 布克学术 All rights reserved.
京ICP备2023020795号-1
ghs 京公网安备 11010802042870号
Book学术文献互助
Book学术文献互助群
群 号:604180095
Book学术官方微信