长期俯卧位对急性呼吸窘迫综合征患者反应和预后的影响:一项回顾性队列研究

IF 4.7 2区 医学 Q1 CRITICAL CARE MEDICINE
Yuhang Yan, Junying Bao, Shumin Cai, Xiangning Zhong, Bingxuan Geng, Jingyi Liang, Zhiya Deng, Zhongqing Chen, Zaisheng Qin, HongBin Hu, Zhenhua Zeng
{"title":"长期俯卧位对急性呼吸窘迫综合征患者反应和预后的影响:一项回顾性队列研究","authors":"Yuhang Yan, Junying Bao, Shumin Cai, Xiangning Zhong, Bingxuan Geng, Jingyi Liang, Zhiya Deng, Zhongqing Chen, Zaisheng Qin, HongBin Hu, Zhenhua Zeng","doi":"10.1186/s40560-025-00795-x","DOIUrl":null,"url":null,"abstract":"<p><strong>Background: </strong>Prone positioning improves outcomes in patients with acute respiratory distress syndrome (ARDS), but the optimal duration in critical care settings remains uncertain. This study aims to evaluate the investigates the impact of prone ventilation duration on clinical outcomes.</p><p><strong>Methods: </strong>This retrospective study was conducted on ARDS patients admitted to the intensive care unit (ICU), Nanfang hospital of Southern Medical University, who received prone positioning. Patients were categorized into two groups: the prolonged prone positioning (PPP) (≥ 16 h) group and the standard prone positioning (SPP) (< 16 h) group. Propensity score matching (PSM) was employed to balance baseline characteristics. Cox proportional hazards, regression models were utilized to evaluate the association between the prone duration and clinical outcomes. Kaplan-Meier survival curves were generated to compare 28-day mortality, with log-rank tests analyzing differences. Restricted cubic spline (RCS) were applied to investigate the time-response between prone duration, PaCO₂, PaO₂, positive end-expiratory pressure, response rate, and 28-day mortality. In addition, the incidence of prone position-related complications was assessed in both groups.</p><p><strong>Results: </strong>A total of 234 patients with ARDS were included, with an overall 28-day mortality of 49.1% (115/234). After PSM, 81 matched pairs were compared. The PPP group had lower 28-day mortality (46.9% vs. 53.1%; hazard ratios (HR): 0.53; 95% CI 0.32-0.85; P = 0.033) and improved prone positioning response rate [70.5% vs. 60.5%; odds ratio (OR): 1.46; 95% CI 1.23-1.89; P = 0.025]. RCS analysis suggested a reduction in mortality with prone durations ≥ 16 h, and longer durations correlated with better prone response. However, no significant association was found between PPP and reduced ICU or hospital length of stay. RCS analysis indicated a gradual decrease in 28-day mortality with increasing duration of prone positioning, and longer duration were associated with a higher likelihood of a prone response. There were no significant differences in prone ventilation-related complications between the two groups.</p><p><strong>Conclusions: </strong>PPP (≥ 16 h) is associated with reduced 28-day mortality and improved response rates in ICU patients with ARDS, without increasing complication risks. Prospective studies are needed to further validate these results.</p>","PeriodicalId":16123,"journal":{"name":"Journal of Intensive Care","volume":"13 1","pages":"24"},"PeriodicalIF":4.7000,"publicationDate":"2025-05-07","publicationTypes":"Journal Article","fieldsOfStudy":null,"isOpenAccess":false,"openAccessPdf":"https://www.ncbi.nlm.nih.gov/pmc/articles/PMC12057286/pdf/","citationCount":"0","resultStr":"{\"title\":\"The effects of prolonged prone positioning on response and prognosis in patients with acute respiratory distress syndrome: a retrospective cohort study.\",\"authors\":\"Yuhang Yan, Junying Bao, Shumin Cai, Xiangning Zhong, Bingxuan Geng, Jingyi Liang, Zhiya Deng, Zhongqing Chen, Zaisheng Qin, HongBin Hu, Zhenhua Zeng\",\"doi\":\"10.1186/s40560-025-00795-x\",\"DOIUrl\":null,\"url\":null,\"abstract\":\"<p><strong>Background: </strong>Prone positioning improves outcomes in patients with acute respiratory distress syndrome (ARDS), but the optimal duration in critical care settings remains uncertain. This study aims to evaluate the investigates the impact of prone ventilation duration on clinical outcomes.</p><p><strong>Methods: </strong>This retrospective study was conducted on ARDS patients admitted to the intensive care unit (ICU), Nanfang hospital of Southern Medical University, who received prone positioning. Patients were categorized into two groups: the prolonged prone positioning (PPP) (≥ 16 h) group and the standard prone positioning (SPP) (< 16 h) group. Propensity score matching (PSM) was employed to balance baseline characteristics. Cox proportional hazards, regression models were utilized to evaluate the association between the prone duration and clinical outcomes. Kaplan-Meier survival curves were generated to compare 28-day mortality, with log-rank tests analyzing differences. Restricted cubic spline (RCS) were applied to investigate the time-response between prone duration, PaCO₂, PaO₂, positive end-expiratory pressure, response rate, and 28-day mortality. In addition, the incidence of prone position-related complications was assessed in both groups.</p><p><strong>Results: </strong>A total of 234 patients with ARDS were included, with an overall 28-day mortality of 49.1% (115/234). After PSM, 81 matched pairs were compared. The PPP group had lower 28-day mortality (46.9% vs. 53.1%; hazard ratios (HR): 0.53; 95% CI 0.32-0.85; P = 0.033) and improved prone positioning response rate [70.5% vs. 60.5%; odds ratio (OR): 1.46; 95% CI 1.23-1.89; P = 0.025]. RCS analysis suggested a reduction in mortality with prone durations ≥ 16 h, and longer durations correlated with better prone response. However, no significant association was found between PPP and reduced ICU or hospital length of stay. RCS analysis indicated a gradual decrease in 28-day mortality with increasing duration of prone positioning, and longer duration were associated with a higher likelihood of a prone response. There were no significant differences in prone ventilation-related complications between the two groups.</p><p><strong>Conclusions: </strong>PPP (≥ 16 h) is associated with reduced 28-day mortality and improved response rates in ICU patients with ARDS, without increasing complication risks. Prospective studies are needed to further validate these results.</p>\",\"PeriodicalId\":16123,\"journal\":{\"name\":\"Journal of Intensive Care\",\"volume\":\"13 1\",\"pages\":\"24\"},\"PeriodicalIF\":4.7000,\"publicationDate\":\"2025-05-07\",\"publicationTypes\":\"Journal Article\",\"fieldsOfStudy\":null,\"isOpenAccess\":false,\"openAccessPdf\":\"https://www.ncbi.nlm.nih.gov/pmc/articles/PMC12057286/pdf/\",\"citationCount\":\"0\",\"resultStr\":null,\"platform\":\"Semanticscholar\",\"paperid\":null,\"PeriodicalName\":\"Journal of Intensive Care\",\"FirstCategoryId\":\"3\",\"ListUrlMain\":\"https://doi.org/10.1186/s40560-025-00795-x\",\"RegionNum\":2,\"RegionCategory\":\"医学\",\"ArticlePicture\":[],\"TitleCN\":null,\"AbstractTextCN\":null,\"PMCID\":null,\"EPubDate\":\"\",\"PubModel\":\"\",\"JCR\":\"Q1\",\"JCRName\":\"CRITICAL CARE MEDICINE\",\"Score\":null,\"Total\":0}","platform":"Semanticscholar","paperid":null,"PeriodicalName":"Journal of Intensive Care","FirstCategoryId":"3","ListUrlMain":"https://doi.org/10.1186/s40560-025-00795-x","RegionNum":2,"RegionCategory":"医学","ArticlePicture":[],"TitleCN":null,"AbstractTextCN":null,"PMCID":null,"EPubDate":"","PubModel":"","JCR":"Q1","JCRName":"CRITICAL CARE MEDICINE","Score":null,"Total":0}
引用次数: 0

摘要

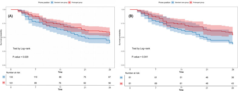
背景:俯卧位可改善急性呼吸窘迫综合征(ARDS)患者的预后,但在重症监护病房的最佳持续时间仍不确定。本研究旨在评估俯卧位通气时间对临床结果的影响。方法:对南方医科大学南方医院重症监护病房(ICU)采用俯卧位的ARDS患者进行回顾性研究。将患者分为两组:延长俯卧位(PPP)(≥16 h)组和标准俯卧位(SPP)组。结果:共纳入234例ARDS患者,28天总死亡率为49.1%(115/234)。经PSM后,比较81对配对。PPP组28天死亡率较低(46.9% vs. 53.1%;风险比(HR): 0.53;95% ci 0.32-0.85;P = 0.033)和俯卧位反应率的提高[70.5% vs. 60.5%;优势比(OR): 1.46;95% ci 1.23-1.89;p = 0.025]。RCS分析显示,俯卧时间≥16小时可降低死亡率,且俯卧时间越长,俯卧反应越好。然而,PPP与减少ICU或住院时间之间没有显著关联。RCS分析表明,28天死亡率随着俯卧位持续时间的增加而逐渐降低,且俯卧位持续时间越长,俯卧反应的可能性越高。两组患者通气相关并发症发生率无显著差异。结论:PPP(≥16 h)与ICU ARDS患者28天死亡率降低和有效率提高相关,且未增加并发症风险。需要前瞻性研究来进一步验证这些结果。
本文章由计算机程序翻译,如有差异,请以英文原文为准。

The effects of prolonged prone positioning on response and prognosis in patients with acute respiratory distress syndrome: a retrospective cohort study.

The effects of prolonged prone positioning on response and prognosis in patients with acute respiratory distress syndrome: a retrospective cohort study.

The effects of prolonged prone positioning on response and prognosis in patients with acute respiratory distress syndrome: a retrospective cohort study.

The effects of prolonged prone positioning on response and prognosis in patients with acute respiratory distress syndrome: a retrospective cohort study.

Background: Prone positioning improves outcomes in patients with acute respiratory distress syndrome (ARDS), but the optimal duration in critical care settings remains uncertain. This study aims to evaluate the investigates the impact of prone ventilation duration on clinical outcomes.

Methods: This retrospective study was conducted on ARDS patients admitted to the intensive care unit (ICU), Nanfang hospital of Southern Medical University, who received prone positioning. Patients were categorized into two groups: the prolonged prone positioning (PPP) (≥ 16 h) group and the standard prone positioning (SPP) (< 16 h) group. Propensity score matching (PSM) was employed to balance baseline characteristics. Cox proportional hazards, regression models were utilized to evaluate the association between the prone duration and clinical outcomes. Kaplan-Meier survival curves were generated to compare 28-day mortality, with log-rank tests analyzing differences. Restricted cubic spline (RCS) were applied to investigate the time-response between prone duration, PaCO₂, PaO₂, positive end-expiratory pressure, response rate, and 28-day mortality. In addition, the incidence of prone position-related complications was assessed in both groups.

Results: A total of 234 patients with ARDS were included, with an overall 28-day mortality of 49.1% (115/234). After PSM, 81 matched pairs were compared. The PPP group had lower 28-day mortality (46.9% vs. 53.1%; hazard ratios (HR): 0.53; 95% CI 0.32-0.85; P = 0.033) and improved prone positioning response rate [70.5% vs. 60.5%; odds ratio (OR): 1.46; 95% CI 1.23-1.89; P = 0.025]. RCS analysis suggested a reduction in mortality with prone durations ≥ 16 h, and longer durations correlated with better prone response. However, no significant association was found between PPP and reduced ICU or hospital length of stay. RCS analysis indicated a gradual decrease in 28-day mortality with increasing duration of prone positioning, and longer duration were associated with a higher likelihood of a prone response. There were no significant differences in prone ventilation-related complications between the two groups.

Conclusions: PPP (≥ 16 h) is associated with reduced 28-day mortality and improved response rates in ICU patients with ARDS, without increasing complication risks. Prospective studies are needed to further validate these results.

求助全文
通过发布文献求助,成功后即可免费获取论文全文。 去求助
来源期刊
Journal of Intensive Care
Journal of Intensive Care Medicine-Critical Care and Intensive Care Medicine
CiteScore
11.90
自引率
1.40%
发文量
51
审稿时长
15 weeks
期刊介绍: "Journal of Intensive Care" is an open access journal dedicated to the comprehensive coverage of intensive care medicine, providing a platform for the latest research and clinical insights in this critical field. The journal covers a wide range of topics, including intensive and critical care, trauma and surgical intensive care, pediatric intensive care, acute and emergency medicine, perioperative medicine, resuscitation, infection control, and organ dysfunction. Recognizing the importance of cultural diversity in healthcare practices, "Journal of Intensive Care" also encourages submissions that explore and discuss the cultural aspects of intensive care, aiming to promote a more inclusive and culturally sensitive approach to patient care. By fostering a global exchange of knowledge and expertise, the journal contributes to the continuous improvement of intensive care practices worldwide.
×
引用
GB/T 7714-2015
复制
MLA
复制
APA
复制
导出至
BibTeX EndNote RefMan NoteFirst NoteExpress
×
提示
您的信息不完整,为了账户安全,请先补充。
现在去补充
×
提示
您因"违规操作"
具体请查看互助需知
我知道了
×
提示
确定
请完成安全验证×
copy
已复制链接
快去分享给好友吧!
我知道了
右上角分享
点击右上角分享
0
联系我们:info@booksci.cn Book学术提供免费学术资源搜索服务,方便国内外学者检索中英文文献。致力于提供最便捷和优质的服务体验。 Copyright © 2023 布克学术 All rights reserved.
京ICP备2023020795号-1
ghs 京公网安备 11010802042870号
Book学术文献互助
Book学术文献互助群
群 号:604180095
Book学术官方微信